【药物名称】Carabersat, SB-204269
化学结构式(Chemical Structure):
参考文献No.32534
标题:Novel receptor
作者:Herdon, H.J.; Jerman, J.C.; Chan, W.N. (GlaxoSmithKline plc)
来源:JP 1998511083; US 5985334; WO 9618650
合成路线图解说明:

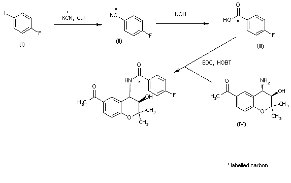
The reaction of 4-iodofluorobenzene (I) with 14C-labeled potassium cyanide and CuI in DMF at 160 C gives the labeled 4-fluorobenzonitrile (II), which is hydrolyzed with KOH in ethanol/water at 115 C to yield labeled 4-fluorobenzoic acid (III). Finally, this compound is condensed with (3R,4S)-6-acetyl-3-hydroxy-3,4-dihydro-2H-1-benzopyran-4-amine (IV) by means of EDC and HOBT in dichloromethane to afford the target labeled compound.

合成路线图解说明:

Compound is synthesized by hydrogenolytic debromination of (3R,4S)-N-(6-acetyl-3-hydroxy-2,2-dimethyl-3,4-dihydro-2H-1-benzopyran-4-yl)-2,5-dibromo-4-fluorobenzamide (I) by means of tritium gas over Pd/C in DMF.

参考文献No.394938
标题:Synthesis of novel trans-4-(substituted-benzamido)-3, 4-dihydro-2H-benzo[b]-pyran-3-ol derivatives as potential anticonvulsant agents with a distinctive binding profile
作者:Chan, W.N.; Evans, J.M.; Hadley, M.S.; Herdon, H.J.; Jerman, J.C.; Morgan, H.K.; Stean, T.O.; Thompson, M.; Upton, N.; Vong, A.K.
来源:J Med Chem 1996,39(23),4537
合成路线图解说明:

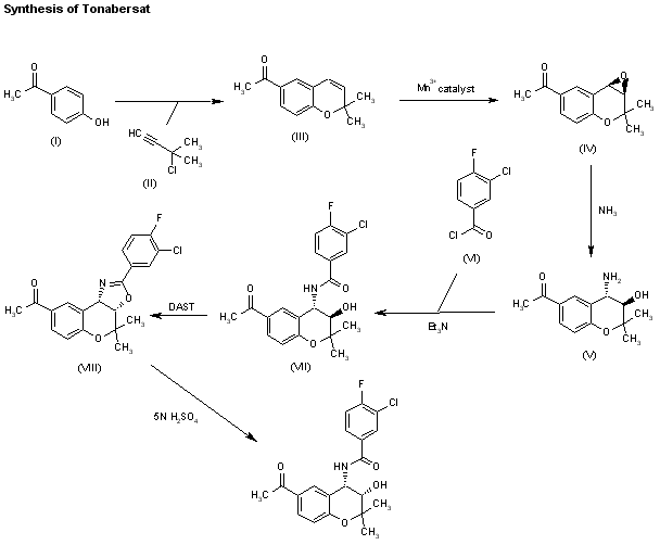
The cyclization of 4-hydroxyacetophenone (I) with 3-chloro-3-methyl-1-butyne (II) gives 6-acetyl-2,2-dimethyl-2H-1-benzopyran (III), which is enantioselectively epoxidized by means of Mn+3 salen catalysts, yielding the chiral epoxide (IV). The cleavage of the epoxide ring of (IV) with ammonia in ethanol affords the (3R,4S)-trans-aminoalcohol (V). The acylation of (V) with 3-chloro-4-fluorobenzoyl chloride (VI) and triethylamine yields the (3R,4S)-trans-amide (VII). The cyclization of (VII) by means of diethylaminosulfur trifluoride (DAST) in dichloromethane affords the (3aS-cis)-oxazoline (VIII), which is finally treated with 5N H2SO4.

合成路线图解说明:

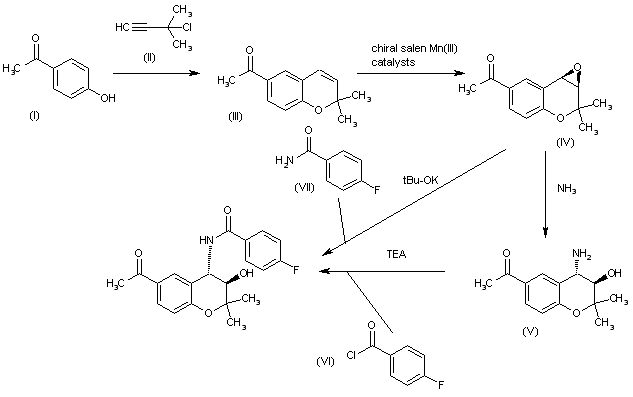
The cyclization of 4-hydroxyacetophenone (I) with 3-chloro-3-methyl-1-butyne (II) gives 5-acetyl-2,2-dimethyl-2H-1-benzopyran (III), which is enantioselectively epoxidized catalyzed by chiral salen Mn(III) catalysts to yield the (3R,4R)-epoxide (IV). The reaction of (IV) with ammonia in ethanol affords the (3R,4S)-aminoalcohol (V), which is finally acylated with 4-fluorobenzoyl chloride (VI) and TEA in dichloromethane to provide the target amide. Alternatively, the target amide can also be obtained by direct cleavage of the epoxide ring of (IV) with 4-fluorobenzamide (VII) by means of tBu-OK in tert-butanol.

Drug Information Express,Drug R&D,Chemical Database,Patent Search.
Copyright © 2006-2026 Drug Future. All rights reserved.Contact Us