【药物名称】
化学结构式(Chemical Structure):
参考文献No.683973
标题:Synthesis and structure-activity relationships of 4-amino-5-chloro-N-(1,4-dialkylhexahydro-1,4-diazepin-6-yl)-2-methoxybenzamide derivatives, novel and potent serotonin 5-HT3 and dopamine D2 receptors dual antagonist
作者:Hirokawa, Y.; Harada, H.; Yoshikawa, T.; Yoshida, N.; Kato, S.
来源:Chem Pharm Bull 2002,50(7),941
合成路线图解说明:

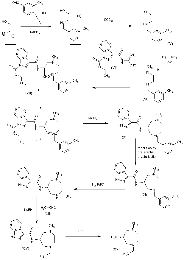
The reductocondensation of ethanolamine (I) with 3-methylbenzaldehyde (II) by means of NaBH4 gives N-(3-methylbenzyl)ethanolamine (III), which is treated with SOCl2 to yield the 2-chloroethyl derivative (IV). The reaction of (IV) with methylamine (V) affords N-methyl-N'-(3-methylbenzyl)ethane-1,2-diamine (VI), which is condensed with the pyrazole-carboxamide derivative (VII) to provide the unstable compound (VIII)?? (IX). The reduction of (IX) with NaBH4 gives the racemic amide (X), which is submitted to optical resolution by preferential crystallization to yield the (R)-isomer (XI) (1,2). The hydrogenation of (XI) with H2 over Pd/C in ethanol affords the debenzylated compound (XII), which is alkylated by reductocondensation with acetaldehyde (XIII) and NaBH4 in methanol to provide the chiral N-(1-ethyl-4'-methylperhydro-1,4-diazepin-6-(R)-yl)-1H-pyrazole-3-carboxamide (XIV). Finally, this compound is treated with refluxing aqueous HCl to give the corresponding 6(R)-amino derivative (XV).

合成路线图解说明:

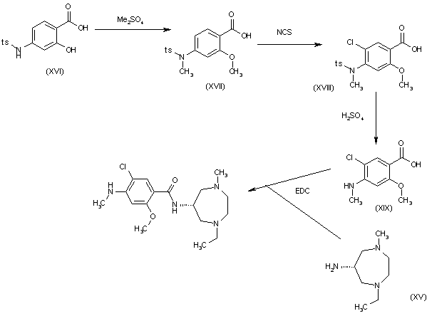
The methylation of 2-hydroxy-4-(4-methylphenylsulfonamido)benzoic acid (XVI) with dimethyl sulfate and KOH in refluxing acetone gives the N,O-dimethylated benzoic acid (XVII), which is chlorinated by means of NCS in hot DMF to yield the chlorobenzoic acid derivative (XVIII). The hydrolysis of (XVIII) with H2SO4 affords 5-chloro-3-methoxy-4-(methylamino)benzoic acid (XIX), which is finally condensed with the aminodiazepine (XV) by means of EDC in dichloromethane to obtain the target chiral benzamide derivative.

参考文献No.715806
标题:Synthesis and resolution of (?-N-[1-methyl-4-(3-methylbenzyl)hexahydro-1H-1,4-diazepin-6-yl]-1H-indazole-3-carboxamide by preferential crystallization
作者:Harada, H.; et al.
来源:Tetrahedron Asymmetry 1997,8(14),2367
合成路线图解说明:

The reductocondensation of ethanolamine (I) with 3-methylbenzaldehyde (II) by means of NaBH4 gives N-(3-methylbenzyl)ethanolamine (III), which is treated with SOCl2 to yield the 2-chloroethyl derivative (IV). The reaction of (IV) with methylamine (V) affords N-methyl-N'-(3-methylbenzyl)ethane-1,2-diamine (VI), which is condensed with the pyrazole-carboxamide derivative (VII) to provide the unstable compound (VIII)?? (IX). The reduction of (IX) with NaBH4 gives the racemic amide (X), which is submitted to optical resolution by preferential crystallization to yield the (R)-isomer (XI) (1,2). The hydrogenation of (XI) with H2 over Pd/C in ethanol affords the debenzylated compound (XII), which is alkylated by reductocondensation with acetaldehyde (XIII) and NaBH4 in methanol to provide the chiral N-(1-ethyl-4'-methylperhydro-1,4-diazepin-6-(R)-yl)-1H-pyrazole-3-carboxamide (XIV). Finally, this compound is treated with refluxing aqueous HCl to give the corresponding 6(R)-amino derivative (XV).

Drug Information Express,Drug R&D,Chemical Database,Patent Search.
Copyright © 2006-2026 Drug Future. All rights reserved.Contact Us