【药物名称】4,5-Dibromorhodamine 123, TH-9402
化学结构式(Chemical Structure):
参考文献No.681702
标题:Phototoxicity of some bromine-substituted rhodamine dyes: Synthesis, photophysical properties and application as photosensitizers
作者:Pal, P.; Zeng, H.Y.; Durocher, G.; Girard, D.; Li, T.; Gupta, A.K.; Giasson, R.; Blanchard, L.; Gaboury, L.; Balassy, A.; Turmel, C.; Laperriere, A.; Villeneuve, L.
来源:Photochem Photobiol 1996,63(2),161
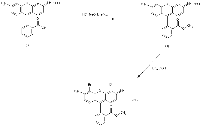
合成路线图解说明:

Fischer esterification of rhodamine (I) with methanolic HCl affords the corresponding methyl ester (II). Subsequent bromination of (II) with a solution of Br2 in ethanol yields the title compound.

Drug Information Express,Drug R&D,Chemical Database,Patent Search.
Copyright © 2006-2026 Drug Future. All rights reserved.Contact Us