【药物名称】Gefitinib, ZD-1839, Iressa
化学结构式(Chemical Structure):
参考文献No.31492
标题:Quinazoline derivs.
作者:Gibson, K.H. (AstraZeneca plc)
来源:EP 0823900; JP 1999504033; US 5770599; WO 9633980
合成路线图解说明:

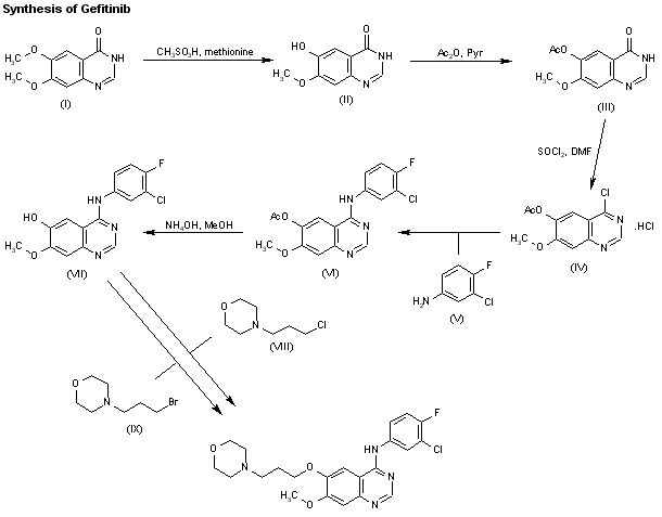
Monodemethylation of 6,7-dimethoxyquinazolin-4(3H)-one (I) in refluxing methanesulfonic acid in the presence of L-methionine provides 6-hydroxy-7-methoxyquinazolin-4(3H)-one (II), which is acetylated with acetic anhydride and pyridine at 100 C to give the acetate (III). Treatment of compound (III) with refluxing SOCl2 and a catalytic amount of DMF yields chloride (IV), which by condensation with 3-chloro-4-fluoroaniline (V) in boiling isopropanol affords the anilinoquinazoline (VI). Hydrolysis of the acetate group of (VI) by treatment with NH4OH in refluxing MeOH gives the 6-hydroxyquinazoline derivative (VII), which finally is alkylated with 3-(4-morpholinyl)-propyl chloride (VIII) or 3-(4-morpholinyl)propyl bromide (IX).

参考文献No.631296
标题:Studies leading to the identification of ZD1839 (Iressa(TM)): An orally active, selective epidermal growth factor receptor tyrosine kinase inhibitor targeted to the treatment of cancer
作者:Barker, A.J.; Gibson, K.H.; Grundy, W.; Godfrey, A.A.; Barlow, J.J.; Healy, M.P.; Woodburn, J.R.; Ashton, S.E.; Curry, B.J.; Scarlett, L.; Henthorn, L.; Richards, L.
来源:Bioorg Med Chem Lett 2001,11(14),1911
合成路线图解说明:

Monodemethylation of 6,7-dimethoxyquinazolin-4(3H)-one (I) in refluxing methanesulfonic acid in the presence of L-methionine provides 6-hydroxy-7-methoxyquinazolin-4(3H)-one (II), which is acetylated with acetic anhydride and pyridine at 100 C to give the acetate (III). Treatment of compound (III) with refluxing SOCl2 and a catalytic amount of DMF yields chloride (IV), which by condensation with 3-chloro-4-fluoroaniline (V) in boiling isopropanol affords the anilinoquinazoline (VI). Hydrolysis of the acetate group of (VI) by treatment with NH4OH in refluxing MeOH gives the 6-hydroxyquinazoline derivative (VII), which finally is alkylated with 3-(4-morpholinyl)-propyl chloride (VIII) or 3-(4-morpholinyl)propyl bromide (IX).

参考文献No.668736
标题:Iressa
作者:D'Souza, N.; Casta馿r, J.; Levin, M.
来源:Drugs Fut 2002,27(4),339
合成路线图解说明:

Monodemethylation of 6,7-dimethoxyquinazolin-4(3H)-one (I) in refluxing methanesulfonic acid in the presence of L-methionine provides 6-hydroxy-7-methoxyquinazolin-4(3H)-one (II), which is acetylated with acetic anhydride and pyridine at 100 C to give the acetate (III). Treatment of compound (III) with refluxing SOCl2 and a catalytic amount of DMF yields chloride (IV), which by condensation with 3-chloro-4-fluoroaniline (V) in boiling isopropanol affords the anilinoquinazoline (VI). Hydrolysis of the acetate group of (VI) by treatment with NH4OH in refluxing MeOH gives the 6-hydroxyquinazoline derivative (VII), which finally is alkylated with 3-(4-morpholinyl)-propyl chloride (VIII) or 3-(4-morpholinyl)propyl bromide (IX).

Drug Information Express,Drug R&D,Chemical Database,Patent Search.
Copyright © 2006-2026 Drug Future. All rights reserved.Contact Us