【药物名称】CB-300907
化学结构式(Chemical Structure):
参考文献No.28353
标题:Anti-cancer cpds. containing cyclopentaquinazoline ring
作者:Bavetsias, V.; Boyle, F.T.; Hennequin, L.F.A.; Marriott, J.H. (AstraZeneca plc; BTG plc)
来源:EP 0758328; GB 2290082; JP 1997512812; US 5747499; WO 9530673
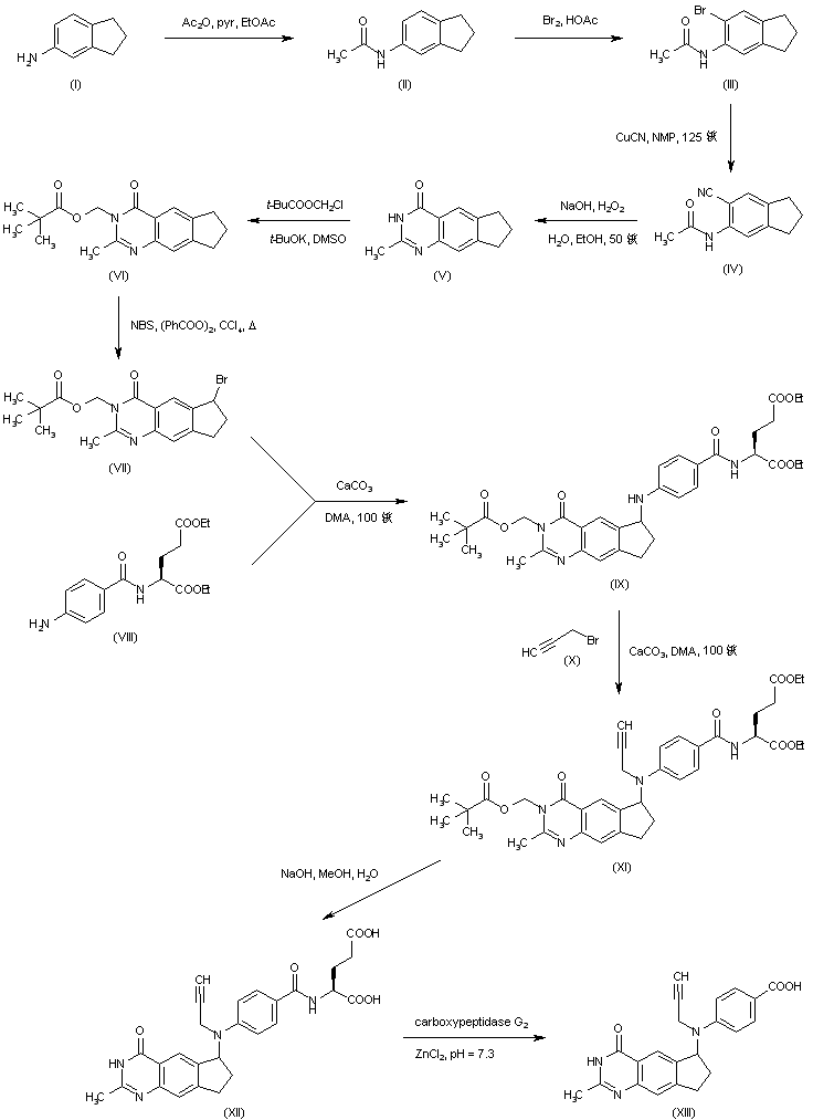
合成路线图解说明:

5-Aminoindan (I) was acetylated, and the resulting anilide (II) was brominated in HOAc to afford (III). Displacement of the bromine of (III) with CuCN in N-methylpyrrolidinone at 125 C furnished nitrile (IV), which was cyclized to the desired quinazolinone derivative (V) upon treatment with sodium hydroperoxide. Protection of the NH group of (V) was achieved by alkylation with chloromethyl pivaloate yielding (VI). Benzylic bromination of (VI) with N-bromosuccinimide in the presence of benzoyl peroxide gave bromide (VII). This was condensed with diethyl p-aminobenzoyl-L-glutamate (VIII) by means of CaCO3 to produce adduct (IX). Further alkylation of (IX) with propargyl bromide (X) using CaCO3 provided propargyl amine (XI). Hydrolysis of the ethyl esters and pivaloyloxymethyl protecting group of (XI) with NaOH afforded (XII). The glutamic acid moiety of (XII) was then removed by enzimatic hydrolysis with carboxypeptidase G2 to furnish intermediate (XIII).

合成路线图解说明:

N-(Benzyloxycarbonyl)-D-glutamic acid (XIV) was converted to the mixed anhydride (XV) with isobutyl chloroformate and then treated with ammonia to give amide (XVI). Dehydration of the amide with POCl3/pyridine produced nitrile (XVII) and further dipolar cycloaddition of NaN3 produced the tetrazole (XVIII). After hydrogenolysis of the benzyloxycarbonyl protecting group of (XVIII), the resulting amine (XIX) was coupled with N-(benzyloxycarbonyl)-L-glutamic acid (XX) via activation as the mixed anhydride with isobutyl chloroformate to give (XXI). The benzyloxycarbonyl group of (XXI) was then deprotected by catalytic hydrogenolysis over Pd/C as above, yielding amine (XXII). This was coupled with the intermediate benzoic acid derivative (XIII) employing benzotriazolyloxy-tris(pyrrolidino)phosphonium hexafluorophosphate to furnish amide (XXIII). The tert-butyl esters of (XXIII) were finally cleaved by treatment with trifluoroacetic acid.

参考文献No.578655
标题:Design and synthesis of cyclopenta[g]quinazoline-based antifolates as inhibitors of thymidylate synthase and potential antitumor agents
作者:Bavetsias, V.; Marriott, J.H.; Melin, C.; Kimbel, C.; Matusiak, Z.S.; Boyle, F.T.; Jackman, A.L.
来源:J Med Chem 2000,43(10),1910
合成路线图解说明:

5-Aminoindan (I) was acetylated, and the resulting anilide (II) was brominated in HOAc to afford (III). Displacement of the bromine of (III) with CuCN in N-methylpyrrolidinone at 125 C furnished nitrile (IV), which was cyclized to the desired quinazolinone derivative (V) upon treatment with sodium hydroperoxide. Protection of the NH group of (V) was achieved by alkylation with chloromethyl pivaloate yielding (VI). Benzylic bromination of (VI) with N-bromosuccinimide in the presence of benzoyl peroxide gave bromide (VII). This was condensed with diethyl p-aminobenzoyl-L-glutamate (VIII) by means of CaCO3 to produce adduct (IX). Further alkylation of (IX) with propargyl bromide (X) using CaCO3 provided propargyl amine (XI). Hydrolysis of the ethyl esters and pivaloyloxymethyl protecting group of (XI) with NaOH afforded (XII). The glutamic acid moiety of (XII) was then removed by enzimatic hydrolysis with carboxypeptidase G2 to furnish intermediate (XIII).

合成路线图解说明:

N-(Benzyloxycarbonyl)-D-glutamic acid (XIV) was converted to the mixed anhydride (XV) with isobutyl chloroformate and then treated with ammonia to give amide (XVI). Dehydration of the amide with POCl3/pyridine produced nitrile (XVII) and further dipolar cycloaddition of NaN3 produced the tetrazole (XVIII). After hydrogenolysis of the benzyloxycarbonyl protecting group of (XVIII), the resulting amine (XIX) was coupled with N-(benzyloxycarbonyl)-L-glutamic acid (XX) via activation as the mixed anhydride with isobutyl chloroformate to give (XXI). The benzyloxycarbonyl group of (XXI) was then deprotected by catalytic hydrogenolysis over Pd/C as above, yielding amine (XXII). This was coupled with the intermediate benzoic acid derivative (XIII) employing benzotriazolyloxy-tris(pyrrolidino)phosphonium hexafluorophosphate to furnish amide (XXIII). The tert-butyl esters of (XXIII) were finally cleaved by treatment with trifluoroacetic acid.

Drug Information Express,Drug R&D,Chemical Database,Patent Search.
Copyright © 2006-2026 Drug Future. All rights reserved.Contact Us