【药物名称】Talnetant, SB-223412
化学结构式(Chemical Structure):
参考文献No.529520
标题:Discovery of a novel class of selective non-peptid
作者:Giardina, G.A.; Raveglia, L.F.; Grugni, M.; Sarau, H.M.; Farina, C.; Medhurst, A.D.; Graziani, D.; Schmidt, D.B.; Rigolio, R.; Luttmann, M.; Cavagnera, S.; Foley, J.J.; Vecchietti, V.; Hay, D.W.
来源:J Med Chem 1999,42(6),1053
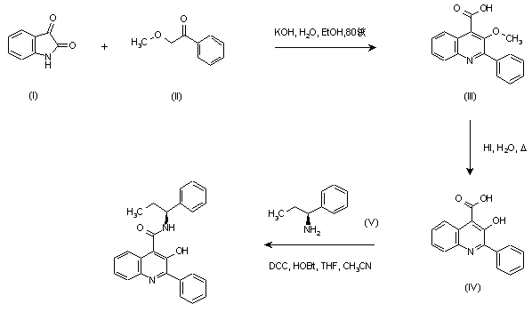
合成路线图解说明:

Condensation of isatin (I) with 2-methoxyacetophenone (II) in the presence of KOH afforded quinolinecarboxylic acid (III). Subsequent demethylation of the ether function of (III) with refluxing 57% HI gave (IV), which was then condensed with (S)-1-phenylpropyl amine (V) using DCC and HOBt to yield the title amide.

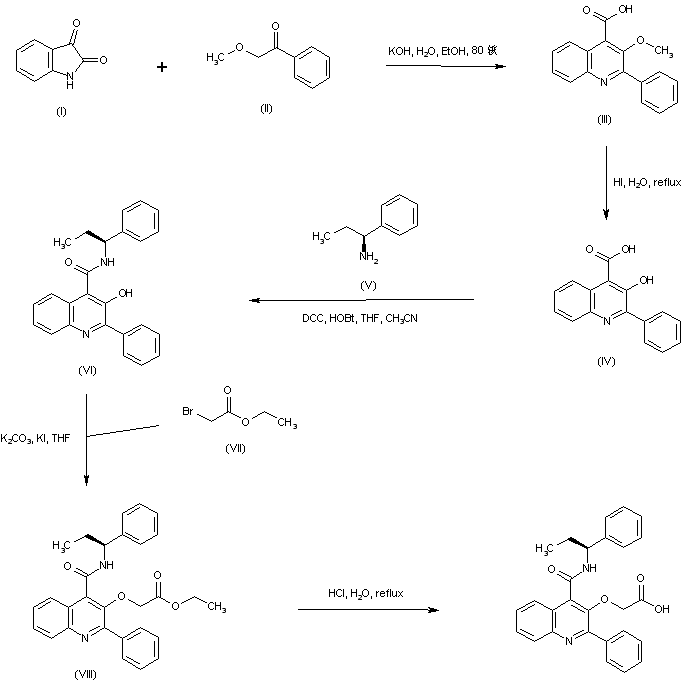
合成路线图解说明:

The quinolinecarboxylic acid (III) was obtained by the Pfitzinger reaction of isatin (I) with 2-methoxyacetophenone (II) in ethanolic KOH at 80 C. Subsequent methyl ether cleavage in (III) using concentrated HI provided 3-hydroxy-2-phenylquinoline-4-carboxylic acid (IV). Coupling of acid (IV) with (S)-1-phenylpropylamine (V) by means of DCC and HOBt gave amide (VI). Ester (VIII) was then obtained by alkylation of the 3-hydroxy quinoline (VI) with ethyl bromoacetate (VII) in the presence of K2CO3 and KI. Finally, hydrolysis of the ethyl ester (VIII) with refluxing HCl afforded the corresponding carboxylic acid.

Drug Information Express,Drug R&D,Chemical Database,Patent Search.
Copyright © 2006-2026 Drug Future. All rights reserved.Contact Us