【药物名称】BMS-184000
化学结构式(Chemical Structure):
参考文献No.28715
标题:Sulfated beta-glycolipid derivs. as cell adhesion inhibitors
作者:Banville, J.; Martel, A.; Aruffo, A.A. (Bristol-Myers Squibb Co.)
来源:EP 0671406; JP 1995285985; US 5565433
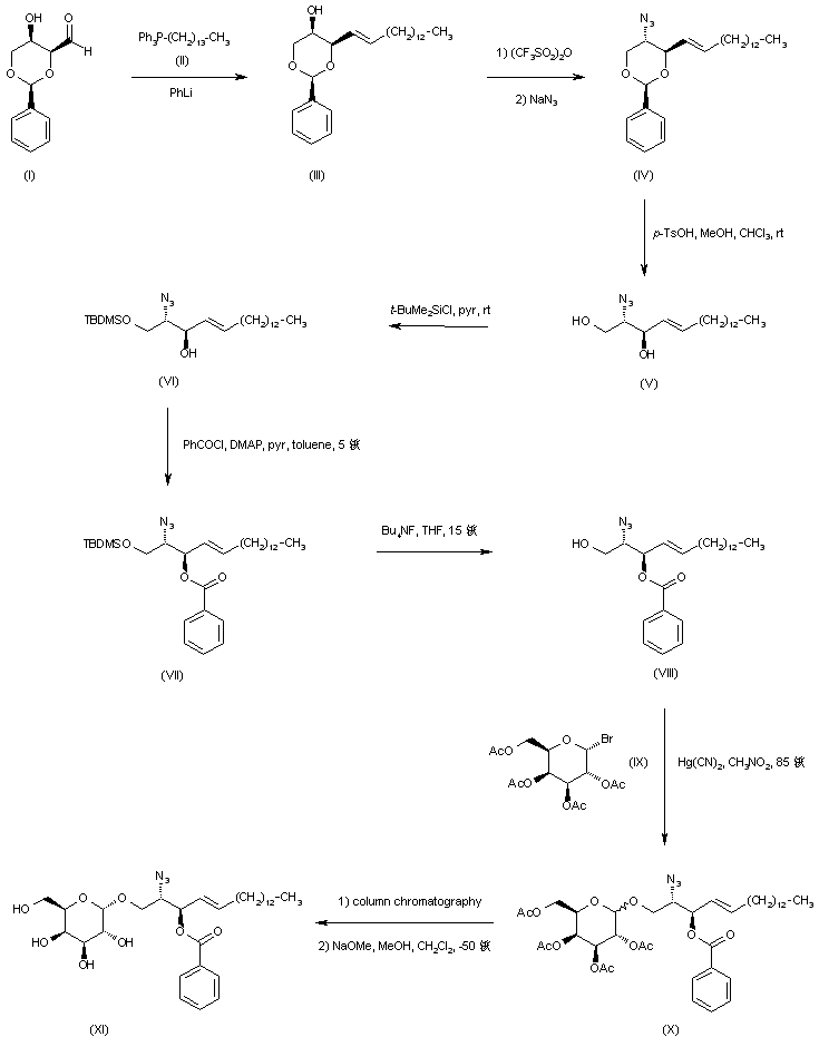
合成路线图解说明:

Wittig reaction of 2,4-O-benzylidene-D-threose (I) with the phosphorane derived from tetradecyl triphenyl phosphonium salt (II) provided the trans olefin (III). After conversion of hydroxyl group of (III) into the corresponding triflate, displacement with NaN3 yielded azide (IV) with inversion of configuration. Acid hydrolysis of the benzylidene acetal of (IV) gave diol (V). Then, selective protection of the primary hydroxyl group with tert-butyldimethylsilyl chloride produced silyl ether (VI). Subsequent benzoylation of the remaining hydroxyl group of (VI) gave benzoate ester (VII). The silyl protecting group of (VII) was then removed using tetra n-butylammonium fluoride in THF to give azido alcohol (VIII). This was coupled with tetraacetyl-D-galactosyl bromide (IX) to give the corresponding galactopyranoside (X) as an epimeric mixture. After chromatographic separation of the major beta-anomer, removal of the acetyl protecting groups with sodium methoxide yielded (XI).

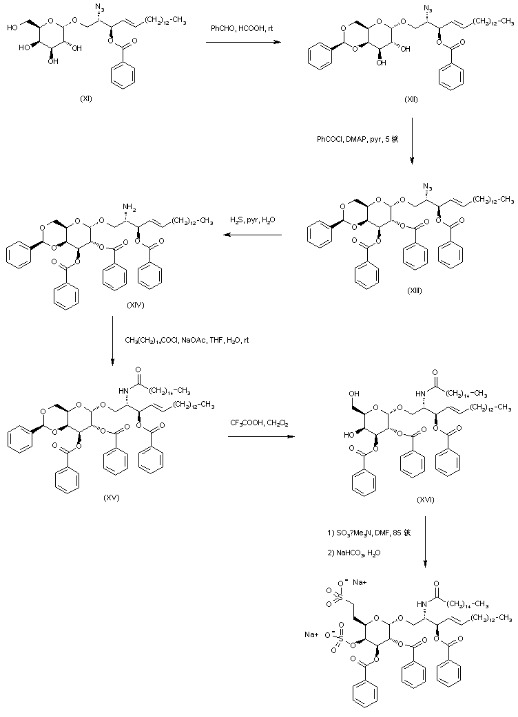
合成路线图解说明:

Protection of the 4- and 6-hydroxyl groups of (XI) was achieved by conversion into the benzylidene acetal (XII) upon treatment with benzaldehyde and formic acid. The remaining 2- and 3-hydroxyl groups of (XII) were benzoylated with benzoyl chloride to afford the corresponding benzoate ester (XIII). After reduction of the azide group of (XIII) to amine (XIV) with H2S and pyridine, condensation with hexadecanoyl chloride produced the corresponding amide (XV). Deprotection of the acetal group of (XV) with TFA in CH2Cl2 gave diol (XVI), which was finally treated with SO3-Me3N complex, and then with NaHCO3 to form the title disulfate sodium salt.

Drug Information Express,Drug R&D,Chemical Database,Patent Search.
Copyright © 2006-2026 Drug Future. All rights reserved.Contact Us