【药物名称】
化学结构式(Chemical Structure):
参考文献No.424990
标题:N-[2-(1-Azabicyclo[3.3.0]octan-5-yl)ethyl]-2-nitroaniline, a potent muscarinic agonist
作者:Suzuki, T.; Oka, M.; Maeda, K.; Furusawa, K.; Mitani, T.; Kataoka, T.
来源:Chem Pharm Bull 1997,45(7),1218
合成路线图解说明:

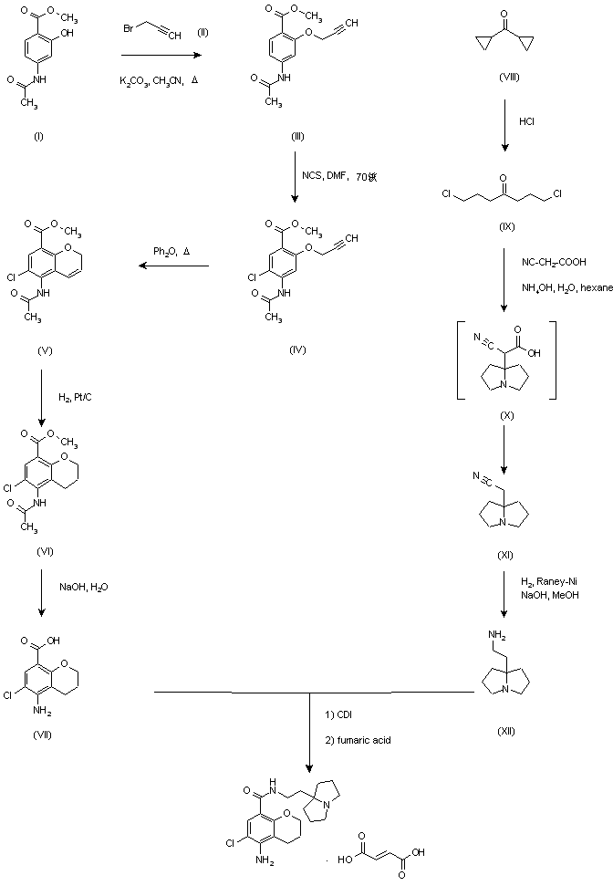
Alkylation of methyl 4-(acetylamino)-2-hydroxybenzoate (I) with propargyl bromide (II) in the presence of K2CO3 in refluxing acetonitrile gave propargyl ether (III), and subsequent chlorination with N-chlorosuccinimide in DMF yielded (IV). Then, a Claisen-type rearrangement of (IV) in boiling diphenyl ether furnished the benzopyran (V), which was hydrogenated over Pt/C to give dihydrobenzopyran (VI). Subsequent treatment of (VI) with 4 N KOH produced the hydrolysis of both ester and amide functions, affording acid (VII). Treatment of dicyclopropyl ketone (VIII) with HCl gas provided 1,7-dichloro-4-heptanone (IX). Cyclization of (IX) with cyanoacetic acid in a two-phase system of aqueous ammonia and n-hexane gave bicyclic intermediate (X), which upon decarboxylation yielded nitrile (XI). Subsequent hydrogenation in the presence of Raney-Ni and NaOH furnished 5-(2-aminoethyl)-1-azabicyclo[3.3.0]octane (XII) (3). The title compound was then obtained by coupling of acid (VII) with amine (XII) using carbonyldiimidazole (CDI), followed by conversion to the hemifumarate salt.

参考文献No.456399
标题:Synthesis and structure-activity relationship of 3-substituted benzamide, benzo[b]furan-7-carboxamide, 2,3-dihydrobenzo[b]furan-7-carboxamide, and indole-5-carboxamide derivatives as selective serotonin 5-HT4 receptor agonists
作者:Kakigami, T.; Usui, T.; Tsukamoto, K.; Kataoka, T.
来源:Chem Pharm Bull 1998,46(1),42
合成路线图解说明:

Alkylation of methyl 4-(acetylamino)-2-hydroxybenzoate (I) with propargyl bromide (II) in the presence of K2CO3 in refluxing acetonitrile gave propargyl ether (III), and subsequent chlorination with N-chlorosuccinimide in DMF yielded (IV). Then, a Claisen-type rearrangement of (IV) in boiling diphenyl ether furnished the benzopyran (V), which was hydrogenated over Pt/C to give dihydrobenzopyran (VI). Subsequent treatment of (VI) with 4 N KOH produced the hydrolysis of both ester and amide functions, affording acid (VII). Treatment of dicyclopropyl ketone (VIII) with HCl gas provided 1,7-dichloro-4-heptanone (IX). Cyclization of (IX) with cyanoacetic acid in a two-phase system of aqueous ammonia and n-hexane gave bicyclic intermediate (X), which upon decarboxylation yielded nitrile (XI). Subsequent hydrogenation in the presence of Raney-Ni and NaOH furnished 5-(2-aminoethyl)-1-azabicyclo[3.3.0]octane (XII) (3). The title compound was then obtained by coupling of acid (VII) with amine (XII) using carbonyldiimidazole (CDI), followed by conversion to the hemifumarate salt.

参考文献No.482640
标题:A 3D-quantitative structure-activity relationship study of benzamide type serotonin 5-HT4 receptor agonists based on a comparative molecular field analysis model, and the design and synthesis of potent agonists
作者:Kakigami, T.; et al.
来源:Chem Pharm Bull 1998,46(12),1881
合成路线图解说明:

Alkylation of methyl 4-(acetylamino)-2-hydroxybenzoate (I) with propargyl bromide (II) in the presence of K2CO3 in refluxing acetonitrile gave propargyl ether (III), and subsequent chlorination with N-chlorosuccinimide in DMF yielded (IV). Then, a Claisen-type rearrangement of (IV) in boiling diphenyl ether furnished the benzopyran (V), which was hydrogenated over Pt/C to give dihydrobenzopyran (VI). Subsequent treatment of (VI) with 4 N KOH produced the hydrolysis of both ester and amide functions, affording acid (VII). Treatment of dicyclopropyl ketone (VIII) with HCl gas provided 1,7-dichloro-4-heptanone (IX). Cyclization of (IX) with cyanoacetic acid in a two-phase system of aqueous ammonia and n-hexane gave bicyclic intermediate (X), which upon decarboxylation yielded nitrile (XI). Subsequent hydrogenation in the presence of Raney-Ni and NaOH furnished 5-(2-aminoethyl)-1-azabicyclo[3.3.0]octane (XII) (3). The title compound was then obtained by coupling of acid (VII) with amine (XII) using carbonyldiimidazole (CDI), followed by conversion to the hemifumarate salt.

Drug Information Express,Drug R&D,Chemical Database,Patent Search.
Copyright © 2006-2026 Drug Future. All rights reserved.Contact Us