【药物名称】IRL-3461
化学结构式(Chemical Structure):
参考文献No.28069
标题:Antagonists of endothelin receptors
作者:Fr黨, T.; Pitterna, T.; Murata, T.; Svensson, L.D.; Yuumoto, Y.; Sakaki, J. (Novartis Japan KK)
来源:EP 0753004; JP 1997510720; US 5703106; WO 9526360
合成路线图解说明:

4'-Methylacetophenone (I) was condensed with boiling dimethylformamide dimethylacetal, and the resulting enaminoketone (II) was cyclized to the isoxazole (III) with hydroxylamine O-sulfonic acid in MeOH. Benzylic bromination of (III) with N-bromosuccinimide in the presence of benzoyl peroxide gave bromomethyl compound (IV). Subsequent alkylation of diphenylmethylene glycine ethyl ester (V) with (IV) under phase-transfer conditions, followed by acid deprotection furnished isoxazolylphenylalanine ethyl ester (VII). This compound was condensed with 3,5-dimethyl benzoic acid (VIII) using EDC and HOBt to give amide (IX). Further N-methylation of (IX) with MeI and NaH yielded (X), which was hydrolyzed with LiOH to the carboxylic acid (XI).

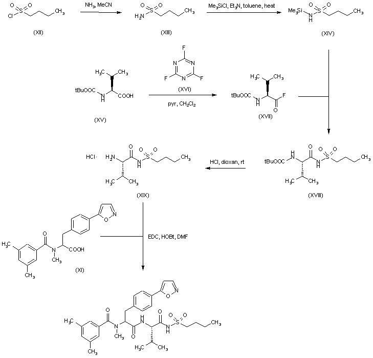
合成路线图解说明:

1-Butanesulfonyl chloride (XII) was reacted with ammonia in acetonitrile, and the resulting sulfonamide (XIII) was then converted to the N-trimethylsilyl derivative (XIV). This was coupled with acid fluoride (XVII), (obtained from Boc-valine (XV) and cyanuric fluoride (XVI)), to provide Boc-valinesulfonamide (XVIII). The Boc group of (XVIII) was then removed by acid treatment to give (XIX). Finally, coupling of this chiral intermediate with the previously obtained racemic acid (XI) furnished the title compound as a 7:3 mixture of diastereoisomers.

参考文献No.531410
标题:Discovery of IRL 3461: A novel and potent endothelin antagonist with balanced ETA/ETB affinity
作者:Sakaki, J.; Murata, T.; Yuumoto, Y.; Nakamura, I.; Frueh, T.; Pitterna, T.; Iwasaki, G.; Oda, K.; Yamamura, T.; Hayakawa, K.
来源:Bioorg Med Chem Lett 1998,8(16),2241
合成路线图解说明:

4'-Methylacetophenone (I) was condensed with boiling dimethylformamide dimethylacetal, and the resulting enaminoketone (II) was cyclized to the isoxazole (III) with hydroxylamine O-sulfonic acid in MeOH. Benzylic bromination of (III) with N-bromosuccinimide in the presence of benzoyl peroxide gave bromomethyl compound (IV). Subsequent alkylation of diphenylmethylene glycine ethyl ester (V) with (IV) under phase-transfer conditions, followed by acid deprotection furnished isoxazolylphenylalanine ethyl ester (VII). This compound was condensed with 3,5-dimethyl benzoic acid (VIII) using EDC and HOBt to give amide (IX). Further N-methylation of (IX) with MeI and NaH yielded (X), which was hydrolyzed with LiOH to the carboxylic acid (XI).

合成路线图解说明:

1-Butanesulfonyl chloride (XII) was reacted with ammonia in acetonitrile, and the resulting sulfonamide (XIII) was then converted to the N-trimethylsilyl derivative (XIV). This was coupled with acid fluoride (XVII), (obtained from Boc-valine (XV) and cyanuric fluoride (XVI)), to provide Boc-valinesulfonamide (XVIII). The Boc group of (XVIII) was then removed by acid treatment to give (XIX). Finally, coupling of this chiral intermediate with the previously obtained racemic acid (XI) furnished the title compound as a 7:3 mixture of diastereoisomers.

Drug Information Express,Drug R&D,Chemical Database,Patent Search.
Copyright © 2006-2026 Drug Future. All rights reserved.Contact Us