【药物名称】Anisperimus, LF-15-0195
化学结构式(Chemical Structure):
参考文献No.554333
标题:Structure - Immunosuppressive activity relationships of new analogues of 15-deoxyspergualin. 2. Structural modifications of the spermidine moiety
作者:Lebreton, L.; Jost, E.; Carboni, B.; Annat, J.; Vaultier, M.; Dutartre, P.; Renaut, P.
来源:J Med Chem 1999,42(23),4749
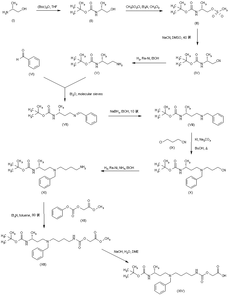
合成路线图解说明:

D-Alaninol (I) was protected as the tert-butyl carbamate (II) and then converted to mesylate (III). Displacement of the mesylate group of (III) with NaCN furnished nitrile (IV), which was hydrogenated over Raney Nickel to give diamine (V). Condensation of (V) with benzaldehyde (VI) in the presence of molecular sieves produced imine (VII) and subsequent reduction by means of NaBH4 gave rise to the benzyl amine (VIII). This amine was alkylated with 4-chlorobutyronitrile (IX) to afford nitrile (X), which was further converted to the triamino compound (XI) by hydrogenation over Raney Nickel. Reaction of (XI) with methyl 2-[(phenoxycarbonyl)oxy]acetate (XII) provided carbamate (XIII). The ester group of (XIII) was then hydrolyzed with NaOH to give carboxylic acid (XIV).

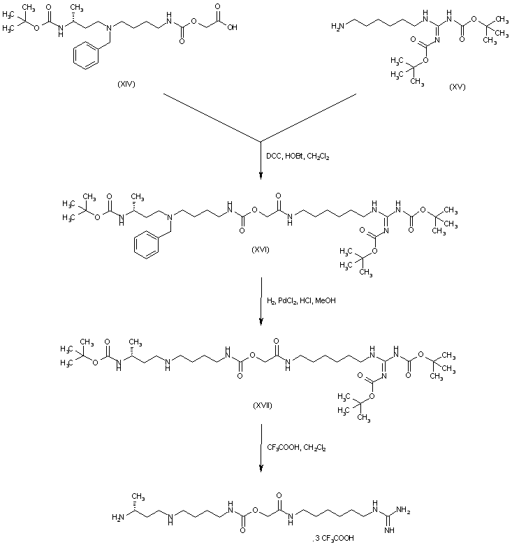
合成路线图解说明:

The resulting carboxylic acid (XIV) was coupled with the Boc-protected guanidinohexylamine (XV) using DCC and HOBt to produce amide (XVI). Finally, sequential deprotection of the N-benzyl group of (XVI) by hydrogenolysis, and then cleavage of the Boc groups by means of trifluoroacetic acid yielded the target compound.

Drug Information Express,Drug R&D,Chemical Database,Patent Search.
Copyright © 2006-2026 Drug Future. All rights reserved.Contact Us