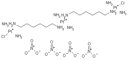
【药物名称】Tetraplatin tetranitrate, BBR-3464
化学结构式(Chemical Structure):
参考文献No.28088
标题:Trinuclear cationic platinum complexes having antitumor activity and pharmaceutical compsns. containing them
作者:Valsecchi, M.; Conti, M.; Del Greco, L.; Gubatti, C.; Menta, E.; Giuliani, F.; Manzotti, C.; Spinelli, S.; Farrell, N. (Roche Diagnostics GmbH)
来源:EP 0753000; JP 1997506633; US 5744497; WO 9526968
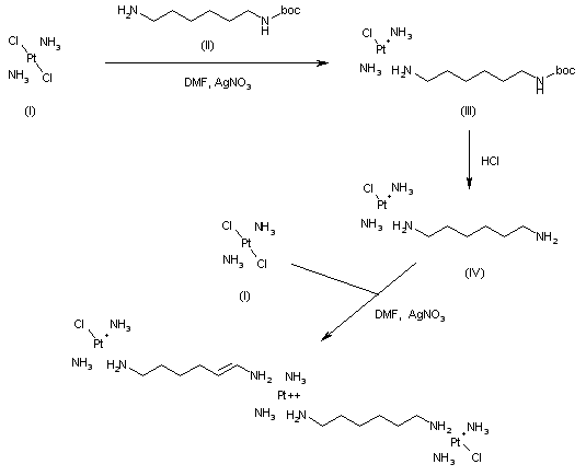
合成路线图解说明:

The condensation of platinum complex (I) with N-Boc-hexane-1,6-diamine (II) by means of 1 mole of AgNO3 in DMF gives the platinum complex (III), which is deprotected with HCl in methanol/ethanol to yield complex (IV). Finally, platinum complex (I) is condensed with two moles of complex (IV) by means of two moles of AgNO3 in DMF to afford the target trinuclear complex.

参考文献No.30135
标题:Trinuclear cationic platinum complexes having antitumour activity and pharmaceutical compsns. containing them
作者:Valsecchi, M.; Pavesi, P.; Bugatti, C.; Menta, E.; Giuliani, F.C.; Manzotti, C.; Spinelli, S.; Farrell, N. (Roche Diagnostics GmbH)
来源:EP 0793667; JP 1998509159; WO 9616068
合成路线图解说明:

The condensation of platinum complex (I) with N-Boc-hexane-1,6-diamine (II) by means of 1 mole of AgNO3 in DMF gives the platinum complex (III), which is deprotected with HCl in methanol/ethanol to yield complex (IV). Finally, platinum complex (I) is condensed with two moles of complex (IV) by means of two moles of AgNO3 in DMF to afford the target trinuclear complex.

Drug Information Express,Drug R&D,Chemical Database,Patent Search.
Copyright © 2006-2026 Drug Future. All rights reserved.Contact Us