【药物名称】N-4909
化学结构式(Chemical Structure):
参考文献No.551522
标题:Solid-phase synthesis of cyclooctadepsipeptide N-4909 using a cyclization-cleavage method with oxime resin
作者:Suguro, T.; Yanai, M.
来源:J Antibiot 1999,52(9),835
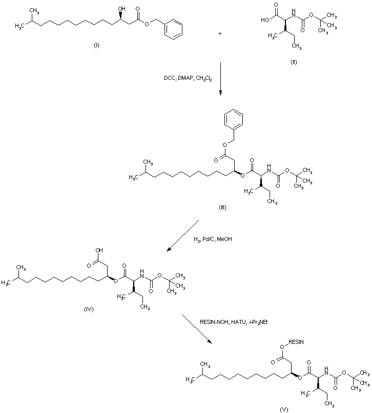
合成路线图解说明:

Condensation of (R)-benzyl 3-hydroxy-13-methyl tetradecanoate (I) with N-Boc-L-isoleucine (II) in the presence of dicyclohexyl carbodiimide and dimethylaminopyridine furnished the corresponding ester (III). After deprotection of the benzyl group of (III) by hydrogenation over Pd/C, the resulting carboxylic acid (IV) was attached to an oxime resin using O-(7-azabenzotriazol-1-yl)-1,1,3,3-tetramethyluronium hexafluorophosphate (HATU) to give the resin-coupled product (V).

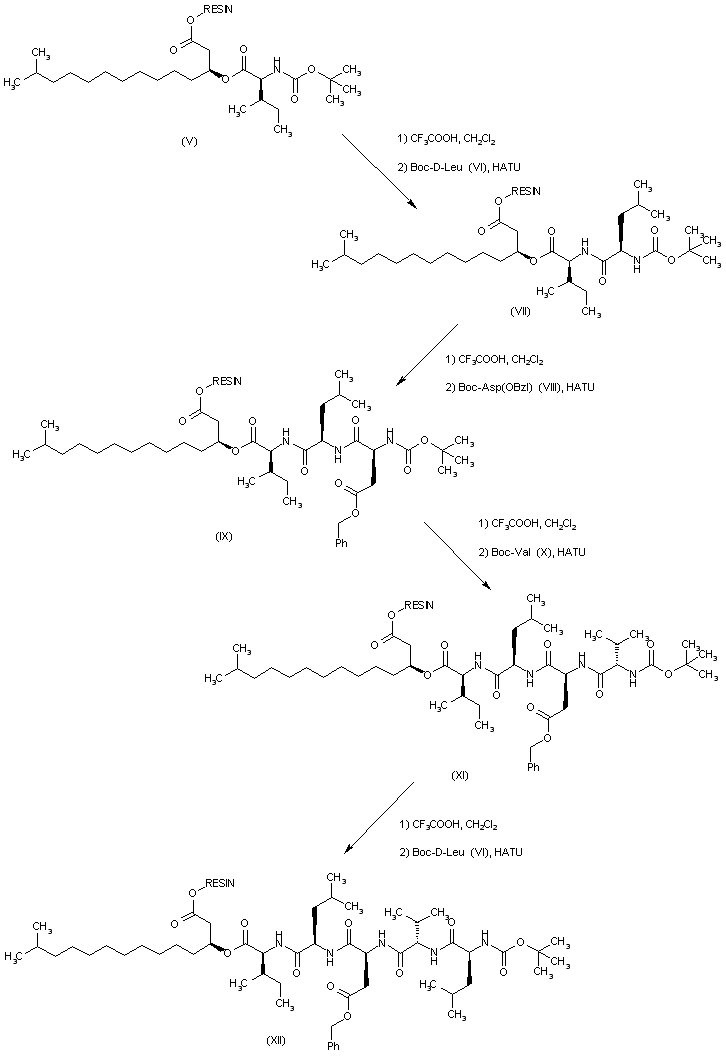
合成路线图解说明:

Removal of the Boc protecting group of (V) with trifluoroacetic acid was followed by coupling with N-Boc-D-leucine (VI) in the presence of HATU to provide (VII). The deprotection-coupling procedure was repeated using N-Boc-L-aspartic acid gamma-benzyl ester (VIII), N-Boc-L-valine (X), and N-Boc-D-Leucine yielding the depsipeptide resins (IX), (XI) and (XII), respectively.

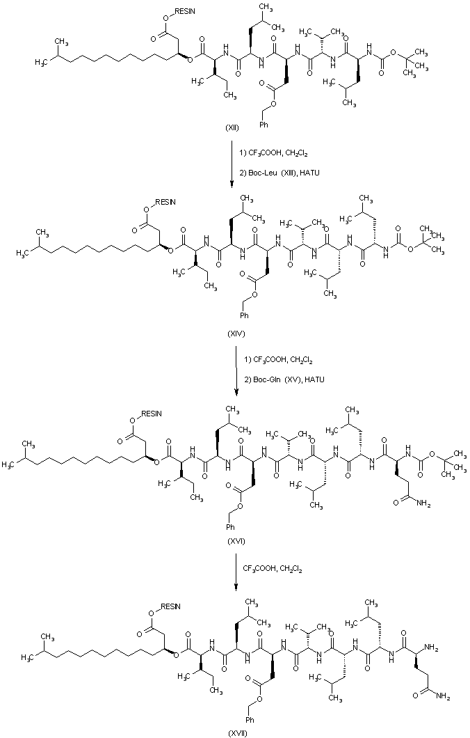
合成路线图解说明:

The deprotection-coupling procedure was repeated using N-Boc-L-leucine (XIII), and N-Boc-L-glutamine (XV), yielding the depsipeptide resins (XII) and (XIV), respectively. Further cleavage of the Boc group provided the deprotected depsipeptide resin (XVII).

合成路线图解说明:

Then, liberation from the resin by means of Et3N-AcOH proceded with concomitant cyclization to form the cyclic depsipeptide (XVIII). The benzyl ester group was finally deprotected by hydrogenolysis in the presence of Pd/C.

Drug Information Express,Drug R&D,Chemical Database,Patent Search.
Copyright © 2006-2026 Drug Future. All rights reserved.Contact Us