【药物名称】YM-47141
化学结构式(Chemical Structure):
参考文献No.526143
标题:Total syntheses of depsipeptide elastase inhibitor
作者:Wasserman, H.H.; et al.
来源:J Am Chem Soc 1999,121(6),1401
合成路线图解说明:

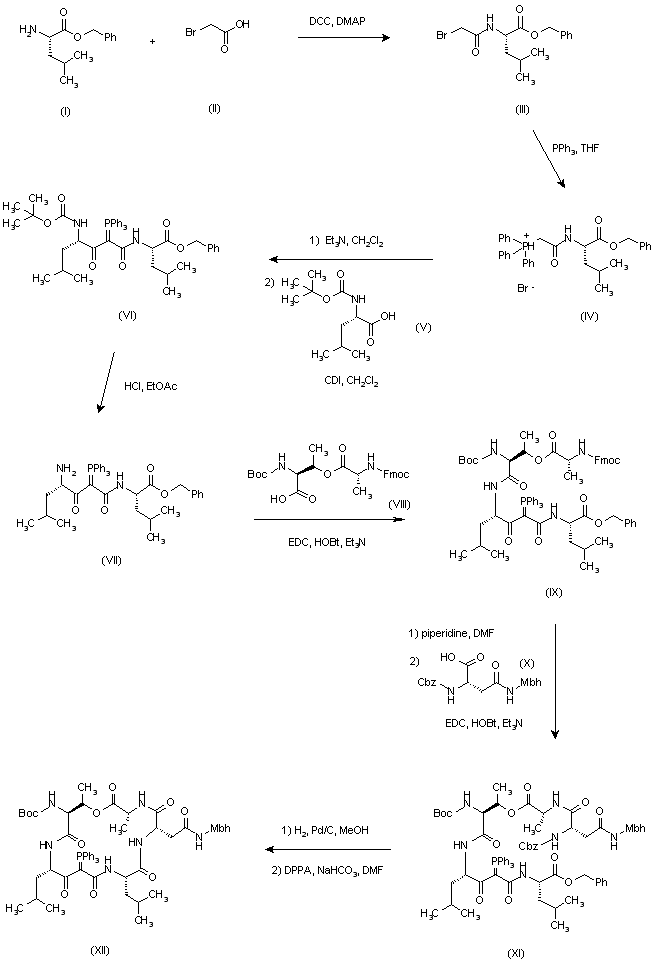
Acylation of L-leucine benzyl ester (I) with bromoacetic acid (II) in the presence of DCC and DMAP gave bromoacetamide (III), which upon reaction with triphenyl phosphine was converted to phosphonium salt (IV). After treatment of (IV) with Et3N, the resulting ylide was condensed with N-Boc-L-leucine (V) to yield the acyl- phosphonate (VI). Acid deprotection of the N-Boc group of (VI) provided amine (VII), which was condensed with the depsipeptide (VIII) using EDC and HOBt yielding (IX). Removal of the N-Fmoc group from tetrapeptide (IX) was effected by treatment with piperidine in DMF, and the resulting amino compound was further condensed with protected L-asparagine (X) to furnish peptide (XI). After hydrogenolytic removal of the benzyl and carbobenzoxy groups of (XI), treatment with diphenyl phosphoryl azide and NaHCO3 produced the cyclic depsipeptide (XII).

合成路线图解说明:

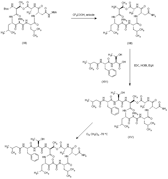
The tert-butoxycarbonyl and 4,4'-dimethoxybenzhydryl groups of (XII) were then deprotected using trifluoroacetic acid, and the resulting compound (XIII) was coupled with the phenylacetyl dipeptide (XIV) to form (XV). Finally, the phosphorus ylide of (XV) was transformed to the desired carbonyl function by means of ozonolytic cleavage of the C=P double bond.

合成路线图解说明:

Acylation of L-leucine benzyl ester (I) with bromoacetic acid (II) in the presence of DCC and DMAP gave bromoacetamide (III), which upon reaction with triphenyl phosphine was converted to phosphonium salt (IV). After treatment of (IV) with Et3N, the resulting ylide was condensed with N-Boc-L-leucine (V) to yield the acyl- phosphonate (VI). Acid deprotection of the N-Boc group of (VI) provided amine (VII), which was condensed with the depsipeptide (VIII) using EDC and HOBt yielding (IX). Removal of the N-Fmoc group from tetrapeptide (IX) was effected by treatment with piperidine in DMF, and the resulting amino compound was further condensed with protected L-asparagine (X) to furnish peptide (XI). After hydrogenolytic removal of the benzyl and carbobenzoxy groups of (XI), treatment with diphenyl phosphoryl azide and NaHCO3 produced the cyclic depsipeptide (XII).

合成路线图解说明:

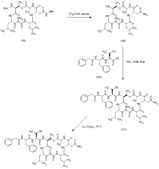
The tert-butoxycarbonyl and 4,4'-dimethoxybenzhydryl groups of (XII) were then deprotected using trifluoroacetic acid, and the resulting compound (XIII) was coupled with the isovaleryl dipeptide (XIV) to form (XV). Finally, the phosphorus ylide of (XV) was transformed to the desired carbonyl function by means of ozonolytic cleavage of the C=P double bond.

参考文献No.599426
标题:The chemistry of vicinal tricarbonyls: Total syntheses of elastase inhibitors YM-47141 and YM-47142
作者:Wasserman, H.H.; et al.
来源:Helv Chim Acta 2000,83(9),2607
合成路线图解说明:

Acylation of L-leucine benzyl ester (I) with bromoacetic acid (II) in the presence of DCC and DMAP gave bromoacetamide (III), which upon reaction with triphenyl phosphine was converted to phosphonium salt (IV). After treatment of (IV) with Et3N, the resulting ylide was condensed with N-Boc-L-leucine (V) to yield the acyl- phosphonate (VI). Acid deprotection of the N-Boc group of (VI) provided amine (VII), which was condensed with the depsipeptide (VIII) using EDC and HOBt yielding (IX). Removal of the N-Fmoc group from tetrapeptide (IX) was effected by treatment with piperidine in DMF, and the resulting amino compound was further condensed with protected L-asparagine (X) to furnish peptide (XI). After hydrogenolytic removal of the benzyl and carbobenzoxy groups of (XI), treatment with diphenyl phosphoryl azide and NaHCO3 produced the cyclic depsipeptide (XII).

合成路线图解说明:

The tert-butoxycarbonyl and 4,4'-dimethoxybenzhydryl groups of (XII) were then deprotected using trifluoroacetic acid, and the resulting compound (XIII) was coupled with the phenylacetyl dipeptide (XIV) to form (XV). Finally, the phosphorus ylide of (XV) was transformed to the desired carbonyl function by means of ozonolytic cleavage of the C=P double bond.

合成路线图解说明:

Acylation of L-leucine benzyl ester (I) with bromoacetic acid (II) in the presence of DCC and DMAP gave bromoacetamide (III), which upon reaction with triphenyl phosphine was converted to phosphonium salt (IV). After treatment of (IV) with Et3N, the resulting ylide was condensed with N-Boc-L-leucine (V) to yield the acyl- phosphonate (VI). Acid deprotection of the N-Boc group of (VI) provided amine (VII), which was condensed with the depsipeptide (VIII) using EDC and HOBt yielding (IX). Removal of the N-Fmoc group from tetrapeptide (IX) was effected by treatment with piperidine in DMF, and the resulting amino compound was further condensed with protected L-asparagine (X) to furnish peptide (XI). After hydrogenolytic removal of the benzyl and carbobenzoxy groups of (XI), treatment with diphenyl phosphoryl azide and NaHCO3 produced the cyclic depsipeptide (XII).

合成路线图解说明:

The tert-butoxycarbonyl and 4,4'-dimethoxybenzhydryl groups of (XII) were then deprotected using trifluoroacetic acid, and the resulting compound (XIII) was coupled with the isovaleryl dipeptide (XIV) to form (XV). Finally, the phosphorus ylide of (XV) was transformed to the desired carbonyl function by means of ozonolytic cleavage of the C=P double bond.

Drug Information Express,Drug R&D,Chemical Database,Patent Search.
Copyright © 2006-2026 Drug Future. All rights reserved.Contact Us