【药物名称】
化学结构式(Chemical Structure):
参考文献No.556867
标题:Phenylsulfonylnitromethasanes as potent irreversible inhibitors of aldose reductase
作者:Rodriguez, L.; Miller, D.D.; Kador, P.F.; Saab, N.H.; Donkor, I.O.
来源:Eur J Med Chem 1999,34(9),745
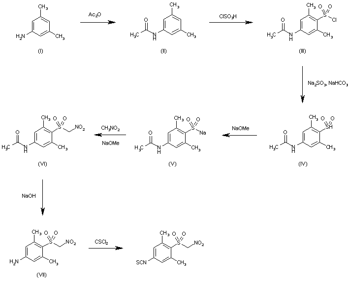
合成路线图解说明:

The acetylation of 3,5-dimethylaniline (I) with acetic anhydride gives the acetamide (II), which is treated with chlorosulfonic acid yielding the benzenesulfonyl chloride (III). The reduction of (III) with Na2SO3 and NaHCO3 in water affords the sulfinic acid (IV), which by reaction with sodium methoxide in methanol gives the corresponding sodium salt (V). The reaction of (V) with nitromethane and sodium methoxide yields the sulfonylnitromethane (VI), which is deacetylated with hot 2N NaOH affording 3,5-dimethyl-4-(nitromethylsulfonyl)aniline (VII). Finally, this compound is treated with thiophosgene in acetone to provide the target isothiocyanate.

Drug Information Express,Drug R&D,Chemical Database,Patent Search.
Copyright © 2006-2026 Drug Future. All rights reserved.Contact Us