【药物名称】
化学结构式(Chemical Structure):
参考文献No.26776
标题:1,2,3,4-Tetrahydronaphthalene, chroman and thiochroman derivs. as antithrombotic agents
作者:Lavielle, G.; Dubuffet, T.; Muller, O.; Laubie, M.; Verbeuren, T.; Simonet, S.; Descombes, J.-J. (ADIR et Cie.)
来源:CA 2118102; EP 0648741; FR 2711139; JP 1995188155
合成路线图解说明:

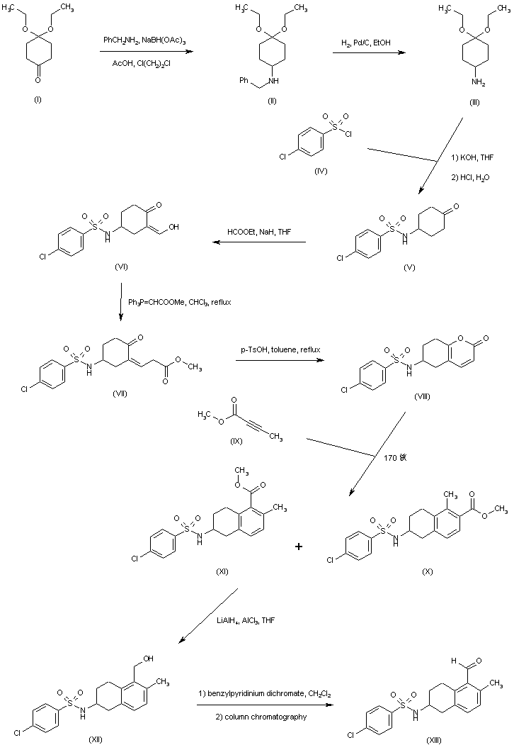
Reductive amination of 4,4-diethoxycyclohexanone (I) with benzylamine in the presence of sodium triacetoxyborohydride provided amino ketal (II). Subsequent benzyl group hydrogenolysis in (II) yielded the primary amine (III), which was acylated by 4-chlorobenzenesulfonyl chloride (IV) affording sulfonamide (V). Claisen condensation of ketone (V) with ethyl formate furnished the hydroxymethylene ketone (VI). This was subjected to a Wittig reaction with (methoxycarbonylmethylene)triphenylphosphorane to produce ester (VII). Intramolecular cyclization of (VII) under acidic conditions gave rise to the benzopyranone (VIII). Diels-Alder cycloaddition between methyl butynoate (IX) and benzopyranone (VIII) led to a mixture of two regioisomeric tetrahydronaphthalenes (X) and (XI). Reduction of this mixture of esters by means of LiAlH4 yielded the desired alcohol (XII) along with its regioisomer, which were further oxidized to the corresponding aldehydes employing 4-benzylpyridinium dichromate. Separation of the resultant mixture by column chromatography furnished the desired aldehyde (XIII).

合成路线图解说明:

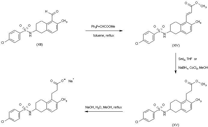
Wittig condensation of aldehyde (XIII) with (methoxycarbonylmethylene)triphenylphosphorane gave the conjugated ester (XIV). This was further reduced to the saturated ester (XV) by using either samarium iodide or sodium borohydride/cobaltous chloride. Finally, saponification of the methyl ester function of (XV) afforded the title sodium carboxylate salt.

合成路线图解说明:

The intermediate 4-(4-chlorophenylsulfonyl)aminocyclohexanone (V) was prepared by two synthetic ways. Reductive condensation of 4,4-diethoxycyclohexanone (I) with benzylamine in the presence of sodium triacetoxyborohydride and AcOH provided the benzylcyclohexylamine (II). Further hydrogenolysis of the N-benzyl group of (II) in the presence of Pd/C and oxalic acid yielded cyclohexylamine (III) as the oxalate salt. Sulfonamide (V) was then obtained by condensation with 4-chlorophenylsulfonyl chloride (IV), followed by hydrolysis of the diethyl acetal with aqueous HCl. lternatively, treatment of trans-4-aminocyclohexanol hydrochloride (VI) with sulfonyl chloride (IV) in the presence of Et3N provided the sulfonamide (VII), which was subsequently oxidized with chromic anhydride and H2SO4 to the target ketone (V). Condensation of this intermediate (V) with ethyl formate in the presence of NaH produced the hydroxymethylene cyclohexanone (VIII), which was submitted to a Wittig reaction with phosphorane (IX) to give the cyclohexylidenpropanoic ester (X). Cyclization of this compound using anhydrous p-toluenesulfonic acid in refluxing toluene furnished pyranone (XI), which by subsequent bromination in acetic acid yielded the 3-bromopyranone (XII). The key tetrahydronaphthalene system (XIV) was then obtained by Diels-Alder reaction with methyl propiolate (XIII) with concomitant decarboxylation at 200 C. Finally, the ester function of (XIV) was reduced to alcohol (XV) with LiAlH4.

合成路线图解说明:

The alcohol (XV) was oxidized with 4-benzylpyridinium dichromate to the aldehyde (XVI). 3-(Tributylstannylmethyl)pyridine (XVIII), prepared from lithiated 3-picoline (XVII) and Bu3SnCl in the presence of HMPA, was coupled to bromotetrahydronaphthalene (XVI) under palladium catalysis to provide the pyridylmethyl derivative (XIX). Wittig reaction of (XIX) with phosphorane (IX) gave acrylate (XX), which was reduced with NaBH4 and CoCl2 to the tetrahydronaphthylpropionic ester (XXI). Finally, the ester group of (XXI) was hydrolyzed with NaOH in MeOH-H2O to give the title acid.

合成路线图解说明:

The intermediate 4-(4-chlorophenylsulfonyl)aminocyclohexanone (V) was prepared by two synthetic ways: 1) Reductive condensation of 4,4-diethoxycyclohexanone (I) with benzylamine in the presence of sodium triacetoxyborohydride and AcOH provided the benzylcyclohexylamine (II). Further hydrogenolysis of the N-benzyl group of (III) in the presence of Pd/C and oxalic acid yielded cyclohexylamine (III) as the oxalate salt. Sulfonamide (V) was then obtained by condensation with 4-chlorophenylsulfonyl chloride (IV), followed by hydrolysis of the diethyl acetal with aqueous HCl. 2) Alternatively, treatment of trans-4-aminocyclohexanol hydrochloride (VI) with sulfonyl chloride (IV) in the presence of Et3N provided the sulfonamide (VII), which was subsequently oxidized with chromic anhydride and H2SO4 to the target ketone (V). 3) Condensation of this intermediate with ethyl formate in the presence of NaH produced the hydroxymethylene cyclohexanone (VIII), which was submitted to a Wittig reaction with phosphorane (IX) to give the cyclohexylidenpropanoic ester (X). Cyclization of this compound using anhydrous p-toluenesulfonic acid in refluxing toluene furnished pyranone (XI), which by subsequent bromination in acetic acid yielded the 3-bromopyranone (XII) (1). The key tetrahydronaphthalene system (XIV) was then obtained by Diels-Alder reaction with refluxing methyl hexynoate (XIII) with concomitant decarboxylation. The ester function of (XIV) was reduced to alcohol (XV) with LiAlH4.

合成路线图解说明:

Then group of (XV) was oxidized with 4-benzylpyridinium dichromate to the aldehyde (XVI). 3-(Tributylstannylmethyl)pyridine (XVIII), prepared from lithiated 3-picoline (XVII) and Bu3SnCl in the presence of HMPA, was coupled to bromotetrahydronaphthalene (XVI) under palladium catalysis to provide the pyridylmethyl derivative (XIX). Wittig reaction of (XIX) with phosphorane (IX) gave acrylate (XX), which was reduced with SmI2 or with NaBH4 and CoCl2 to the tetrahydronaphthylpropionic ester (XXI). Finally, the ester group of (XXI) was hydrolyzed with NaOH in MeOH-H2O to give the title acid.

参考文献No.471273
标题:New tetrahydronaphthalene derivatives as combined thromboxane receptor antagonists and thromboxane synthase inhibitors
作者:Cimeti鑢e, B.; Dubuffet, T.; Landras, C.; Descombes, J.J.; Simonet, S.; Verbeuren, T.J.; Lavielle, G.
来源:Bioorg Med Chem Lett 1998,8(11),1381
合成路线图解说明:

The intermediate 4-(4-chlorophenylsulfonyl)aminocyclohexanone (V) was prepared by two synthetic ways. Reductive condensation of 4,4-diethoxycyclohexanone (I) with benzylamine in the presence of sodium triacetoxyborohydride and AcOH provided the benzylcyclohexylamine (II). Further hydrogenolysis of the N-benzyl group of (II) in the presence of Pd/C and oxalic acid yielded cyclohexylamine (III) as the oxalate salt. Sulfonamide (V) was then obtained by condensation with 4-chlorophenylsulfonyl chloride (IV), followed by hydrolysis of the diethyl acetal with aqueous HCl. lternatively, treatment of trans-4-aminocyclohexanol hydrochloride (VI) with sulfonyl chloride (IV) in the presence of Et3N provided the sulfonamide (VII), which was subsequently oxidized with chromic anhydride and H2SO4 to the target ketone (V). Condensation of this intermediate (V) with ethyl formate in the presence of NaH produced the hydroxymethylene cyclohexanone (VIII), which was submitted to a Wittig reaction with phosphorane (IX) to give the cyclohexylidenpropanoic ester (X). Cyclization of this compound using anhydrous p-toluenesulfonic acid in refluxing toluene furnished pyranone (XI), which by subsequent bromination in acetic acid yielded the 3-bromopyranone (XII). The key tetrahydronaphthalene system (XIV) was then obtained by Diels-Alder reaction with methyl propiolate (XIII) with concomitant decarboxylation at 200 C. Finally, the ester function of (XIV) was reduced to alcohol (XV) with LiAlH4.

合成路线图解说明:

The alcohol (XV) was oxidized with 4-benzylpyridinium dichromate to the aldehyde (XVI). 3-(Tributylstannylmethyl)pyridine (XVIII), prepared from lithiated 3-picoline (XVII) and Bu3SnCl in the presence of HMPA, was coupled to bromotetrahydronaphthalene (XVI) under palladium catalysis to provide the pyridylmethyl derivative (XIX). Wittig reaction of (XIX) with phosphorane (IX) gave acrylate (XX), which was reduced with NaBH4 and CoCl2 to the tetrahydronaphthylpropionic ester (XXI). Finally, the ester group of (XXI) was hydrolyzed with NaOH in MeOH-H2O to give the title acid.

合成路线图解说明:

The intermediate 4-(4-chlorophenylsulfonyl)aminocyclohexanone (V) was prepared by two synthetic ways: 1) Reductive condensation of 4,4-diethoxycyclohexanone (I) with benzylamine in the presence of sodium triacetoxyborohydride and AcOH provided the benzylcyclohexylamine (II). Further hydrogenolysis of the N-benzyl group of (III) in the presence of Pd/C and oxalic acid yielded cyclohexylamine (III) as the oxalate salt. Sulfonamide (V) was then obtained by condensation with 4-chlorophenylsulfonyl chloride (IV), followed by hydrolysis of the diethyl acetal with aqueous HCl. 2) Alternatively, treatment of trans-4-aminocyclohexanol hydrochloride (VI) with sulfonyl chloride (IV) in the presence of Et3N provided the sulfonamide (VII), which was subsequently oxidized with chromic anhydride and H2SO4 to the target ketone (V). 3) Condensation of this intermediate with ethyl formate in the presence of NaH produced the hydroxymethylene cyclohexanone (VIII), which was submitted to a Wittig reaction with phosphorane (IX) to give the cyclohexylidenpropanoic ester (X). Cyclization of this compound using anhydrous p-toluenesulfonic acid in refluxing toluene furnished pyranone (XI), which by subsequent bromination in acetic acid yielded the 3-bromopyranone (XII) (1). The key tetrahydronaphthalene system (XIV) was then obtained by Diels-Alder reaction with refluxing methyl hexynoate (XIII) with concomitant decarboxylation. The ester function of (XIV) was reduced to alcohol (XV) with LiAlH4.

合成路线图解说明:

Then group of (XV) was oxidized with 4-benzylpyridinium dichromate to the aldehyde (XVI). 3-(Tributylstannylmethyl)pyridine (XVIII), prepared from lithiated 3-picoline (XVII) and Bu3SnCl in the presence of HMPA, was coupled to bromotetrahydronaphthalene (XVI) under palladium catalysis to provide the pyridylmethyl derivative (XIX). Wittig reaction of (XIX) with phosphorane (IX) gave acrylate (XX), which was reduced with SmI2 or with NaBH4 and CoCl2 to the tetrahydronaphthylpropionic ester (XXI). Finally, the ester group of (XXI) was hydrolyzed with NaOH in MeOH-H2O to give the title acid.

合成路线图解说明:

2-Iodo-6-(4-chlorophenylsulfonyl)amino-5,6,7,8-tetrahydro-naphthyl-1-carbaldehyde (I) was coupled with 3-(tributylstannyl-methyl)pyridine (II) in the presence of Pd(PPh3)4 in N-methylpyrrolidine (NMP) at 110 C to afford the pyridinylmethyl derivative (III). Subsequent coupling of (VI) with (4-carboxybutyl)triphenylphosphonium chloride (IV) in the presence of potassium tert-butoxide in THF at low temperature provided a mixture of E and Z hexenoic acids (V), from which the target (E) isomer was isolated by column chromatography.

Drug Information Express,Drug R&D,Chemical Database,Patent Search.
Copyright © 2006-2026 Drug Future. All rights reserved.Contact Us