【药物名称】CEP-1612
化学结构式(Chemical Structure):
参考文献No.30018
标题:Multicatalytic protease inhibitors
作者:Iqbal, M.; Diebold, J.; Siman, R.; Chatterjee, S.; Kauer, J.C. (Cephalon, Inc.)
来源:JP 1998507465; JP 2000290197; WO 9614857
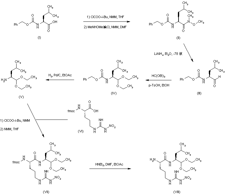
合成路线图解说明:

-(Benzyloxycarbonyl)-L-leucine (I) was activated as the mixed anhydride with isobutyl chloroformate and then coupled with N,O-dimethylhydroxylamine to produce the N-methoxyamide (II). Reduction of (II) with LiAlH4 at -78 C furnished aldehyde (III), which was converted to the corresponding diethyl acetal (IV) upon treatment with triethyl orthoformate. Subsequent hydrogenolytic removal of the benzyloxycarbonyl group of (IV) afforded leucinal diethylacetal (V). Coupling of N-Fmoc-nitroarginine (VI) with aminoacetal (V) via activation as the mixed anhydride with isobutyl chloroformate provided the protected dipeptide aldehyde (VII). The Fmoc protecting group of (VII) was then cleaved by using diethylamine in DMF-EtOAc to provide the intermediate (VIII).

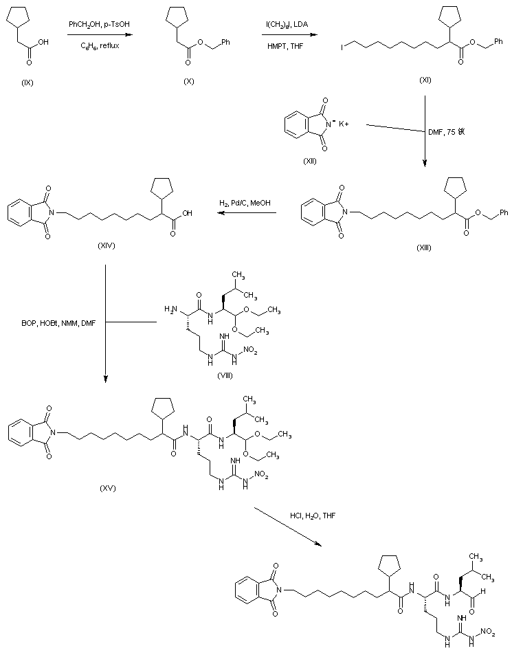
合成路线图解说明:

After conversion of cyclopentylacetic acid (IX) to the corresponding benzyl ester (X), alkylation with 1,8-diiodooctane in the presence of LDA generated the iodo ester (XI). Iodide displacement in (XI) with potassium phthalimide (XII) in hot DMF produced the substituted phthalimide (XIII). Then, hydrogenolysis of the benzyl ester group of (XIII) furnished carboxylic acid (XIV). Acylation of the intermediate dipeptide (VIII) with acid (XIV) by using BOP and HOBt yielded amide (XV). Finally, acid hydrolysis of the diethyl acetal function of (XV) gave rise to the title aldehyde.

参考文献No.337661
标题:Potent inhibitors of proteasome
作者:Iqbal, M.; Chatterjee, S.; Kauer, J.C.; Das, M.; Messina, P.; Freed, B.; Biazzo, W.; Siman, R.
来源:J Med Chem 1995,38(13),2276
合成路线图解说明:

-(Benzyloxycarbonyl)-L-leucine (I) was activated as the mixed anhydride with isobutyl chloroformate and then coupled with N,O-dimethylhydroxylamine to produce the N-methoxyamide (II). Reduction of (II) with LiAlH4 at -78 C furnished aldehyde (III), which was converted to the corresponding diethyl acetal (IV) upon treatment with triethyl orthoformate. Subsequent hydrogenolytic removal of the benzyloxycarbonyl group of (IV) afforded leucinal diethylacetal (V). Coupling of N-Fmoc-nitroarginine (VI) with aminoacetal (V) via activation as the mixed anhydride with isobutyl chloroformate provided the protected dipeptide aldehyde (VII). The Fmoc protecting group of (VII) was then cleaved by using diethylamine in DMF-EtOAc to provide the intermediate (VIII).

合成路线图解说明:

After conversion of cyclopentylacetic acid (IX) to the corresponding benzyl ester (X), alkylation with 1,8-diiodooctane in the presence of LDA generated the iodo ester (XI). Iodide displacement in (XI) with potassium phthalimide (XII) in hot DMF produced the substituted phthalimide (XIII). Then, hydrogenolysis of the benzyl ester group of (XIII) furnished carboxylic acid (XIV). Acylation of the intermediate dipeptide (VIII) with acid (XIV) by using BOP and HOBt yielded amide (XV). Finally, acid hydrolysis of the diethyl acetal function of (XV) gave rise to the title aldehyde.

Drug Information Express,Drug R&D,Chemical Database,Patent Search.
Copyright © 2006-2026 Drug Future. All rights reserved.Contact Us