【药物名称】FR-181877
化学结构式(Chemical Structure):
参考文献No.27913
标题:Naphthalene derivs. as prostaglandin I2 agonists
作者:Taniguchi, K.; Nagano, M.; Hattori, K.; Tsubaki, K.; Okitsu, O.; Tabuchi, S. (Fujisawa Pharmaceutical Co., Ltd.)
来源:EP 0749424; JP 1997509958; US 5763489; WO 9524393
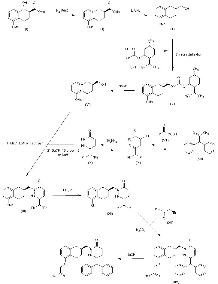
合成路线图解说明:

Dehydroxylation of compound (I) by hydrogenation over Pd/C in MeOH provides tetralinecarboxylic acid methyl ester (II), which is then reduced by means of LiAlH4 in THF to afford tetralinemethanol as a mixture of enantiomers (III). Separation of isomers in (III) is then achieved by first acylation of the alcohol with (-)-menthyl chloroformate (IV) in pyridine, followed by the separation of the two resulting diastereomers by recrystallization to give (-)-menthyl carbonate (V) and its subsequent hydrolysis with NaOH in THF/H2O to furnish compound (VI). On the other hand, the synthesis of benzhydrylpyridazinone (X) is performed as follows: condensation of 1,1-diphenyl acetone (VII) with glyoxylic acid (VIII) in refluxing 1,2-dimethoxyethane yields oxopentanoic acid (IX), which is finally subjected to cyclization with hydrazine in refluxing H2O. Methanol derivative (VI) is then condensed with (X) to give pyridazinone derivative (XI) by first mesylation with mesyl chloride (MsCl) and Et3N in dichloromethane followed by condensation with derivative (X) by means of tert-BuOK in DMF in the presence of 18-crown-6. (Alternatively, instead of mesylation, tosylation of (VI) can be performed by treatment with p-toluenesulfonyl chloride in pyridine; in that case, condensation with (X) occurs by means of NaH in DMF). Demethylation of compound (XI) by means of BBr3 in refluxing dichloromethane gives 5-hydroxytetralinyl derivative (XII), which is then condensed with bromoacetic acid ethyl ester (XIII) by means of K2CO3 in DMF or acetonitrile to furnish (ethoxycarbonylmethoxy)tetraline derivative (XIV). Finally, the target product is obtained by saponification of the ethyl ester group of (XIV) by means of NaOH in 1,2-dimethoxyethane.

参考文献No.604009
标题:A novel pyridazinone derivative as a nonprostanoid PGI2 agonist
作者:Tsubaki, K.; Taniguchi, K.; Tabuchi, S.; Okitsu, O.; Hattori, K.; Seki, J.; Sakane, K.; Tanaka, H.
来源:Bioorg Med Chem Lett 2000,10(24),2787
合成路线图解说明:

Dehydroxylation of compound (I) by hydrogenation over Pd/C in MeOH provides tetralinecarboxylic acid methyl ester (II), which is then reduced by means of LiAlH4 in THF to afford tetralinemethanol as a mixture of enantiomers (III). Separation of isomers in (III) is then achieved by first acylation of the alcohol with (-)-menthyl chloroformate (IV) in pyridine, followed by the separation of the two resulting diastereomers by recrystallization to give (-)-menthyl carbonate (V) and its subsequent hydrolysis with NaOH in THF/H2O to furnish compound (VI). On the other hand, the synthesis of benzhydrylpyridazinone (X) is performed as follows: condensation of 1,1-diphenyl acetone (VII) with glyoxylic acid (VIII) in refluxing 1,2-dimethoxyethane yields oxopentanoic acid (IX), which is finally subjected to cyclization with hydrazine in refluxing H2O. Methanol derivative (VI) is then condensed with (X) to give pyridazinone derivative (XI) by first mesylation with mesyl chloride (MsCl) and Et3N in dichloromethane followed by condensation with derivative (X) by means of tert-BuOK in DMF in the presence of 18-crown-6. (Alternatively, instead of mesylation, tosylation of (VI) can be performed by treatment with p-toluenesulfonyl chloride in pyridine; in that case, condensation with (X) occurs by means of NaH in DMF). Demethylation of compound (XI) by means of BBr3 in refluxing dichloromethane gives 5-hydroxytetralinyl derivative (XII), which is then condensed with bromoacetic acid ethyl ester (XIII) by means of K2CO3 in DMF or acetonitrile to furnish (ethoxycarbonylmethoxy)tetraline derivative (XIV). Finally, the target product is obtained by saponification of the ethyl ester group of (XIV) by means of NaOH in 1,2-dimethoxyethane.

Drug Information Express,Drug R&D,Chemical Database,Patent Search.
Copyright © 2006-2026 Drug Future. All rights reserved.Contact Us