【药物名称】L-371257
化学结构式(Chemical Structure):
参考文献No.349952
标题:1-[1-[4-[(N-Acetyl-4-piperidinyl)oxy]-2-methoxybenzoyl]piperidin-4-yl]-4H-3,1-benzoxazin-2(1H)-one (L-371, 257): A new, orally bioavailable, non-peptide oxytocin antagonist
作者:Williams, P.D.; Clineschmidt, B.V.; Erb, J.M.; Freidinger, R.M.; Guidotti, M.T.; Lis, E.V.; Pawluczyk, J.M.; Pettibone, D.J.; Reiss, D.R.; Veber, D.F.; et al.
来源:J Med Chem 1995,38(23),4634
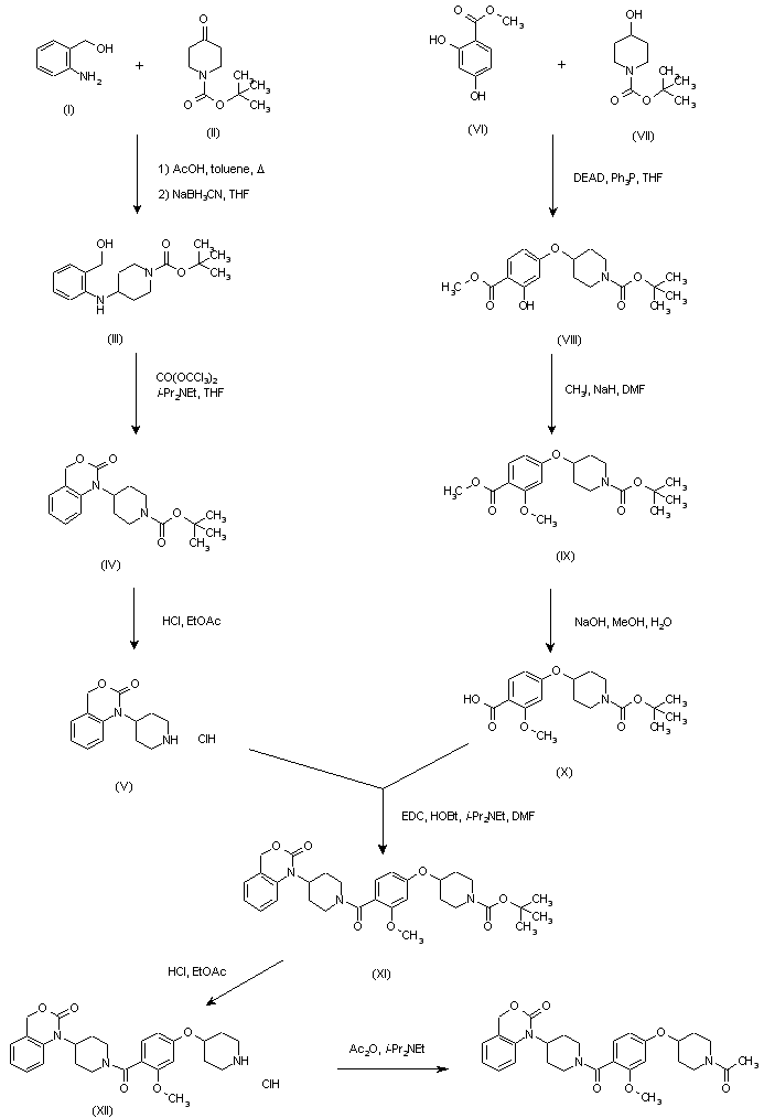
合成路线图解说明:

Condensation of 2-(hydroxymethyl)aniline (I) with N-Boc-4-piperidone (II), followed by reduction with NaBH3CN provided anilinopiperidine (III). Cyclization of aminoalcohol (III) with triphosgene gave benzoxazinone (IV), which was deprotected by acidic treatment to yield piperidinylbenzoxazinone (V). Methyl 2,4-dihydroxybenzoate (VI) was selectively alkylated on the 4-position by coupling with N-Boc-4-piperidinol (VII) under Mitsunobu conditions to give ether (VIII). Then, the remaining 2-OH group was methylated with MeI and NaH to give (IX), which was saponified to provide the benzoic acid derivative (X). Coupling of amine (V) and acid (X) using EDC and HOBt produced amide (XI). Then, removal of the tert-butoxycarbonyl group by acid treatment, followed by acetylation of the resulting piperidine (XII) with Ac2O, furnished the target compound.

Drug Information Express,Drug R&D,Chemical Database,Patent Search.
Copyright © 2006-2026 Drug Future. All rights reserved.Contact Us