【药物名称】Irisquinone A, Irisquinone, Iq-7611
化学结构式(Chemical Structure):
参考文献No.538647
标题:Chemical studies of Iris pallasii Fisch. var. chinensis Fisch.
作者:Wu, S.J.; Yang, Q.Z.
来源:Acta Chim Sin 1980,38(2),156
合成路线图解说明:

In a different strategy, 3-methoxysalicylaldehyde (VII) was protected as the silyl ether (VIII) using t-butyldimethylsilyl chloride and Et3N. Wittig reaction of aldehyde (VIII) with (9-hydroxynonyl)triphenylphosphonium bromide (IX) afforded olefin (X). This was alternatively prepared by addition of Grignard reagent (XI) to the aldehyde (VIII) to give carbinol (XII), which was further subjected to dehydration and acetal hydrolysis under acidic conditions to afford (X). Catalytic hydrogenation of olefin (X) furnished the 10-aryl decanol (XIII). The heptadecenyl side chain of (XVI) was then constructed by Swern oxidation of alcohol (XIII) to the corresponding aldehyde (XIV), followed by Wittig reaction with heptyltriphenylphosphonium bromide (XV). Desilylation of (XVI) with tetrabutylammonium fluoride gave the phenol precursor (VI), which was finally oxidized to the desired quinone by the same method as above.

参考文献No.538681
标题:A practical preparation of functionalized alkylbenzoquinones synthesis of maesanin and irisquinone
作者:Yadav, J.S.; et al.
来源:J Org Chem 1992,57(11),3242
合成路线图解说明:

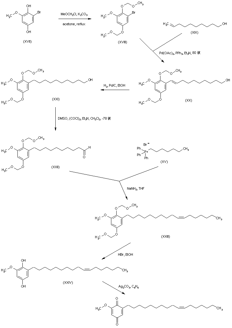
Alternatively, the bis-methoxymethyl ether (XVIII), prepared from 2-bromo-6-methoxyhydroquinone (XVII), was subjected to palladium-catalyzed coupling with 9-decen-1-ol (XIX) to afford adduct (XX). After catalytic hydrogenation of olefin (XX), the resultant saturated alcohol (XXI) was oxidized to aldehyde (XXII) under Swern conditions. Wittig condensation of (XXII) with the phosphonium salt (XV) led to the heptadecenyl derivative (XXIII). Subsequent hydrolysis of the methoxymethyl ethers of (XXIII) by means of HBr in EtOH furnished the deprotected hydroquinone (XXIV). This was finally oxidized to the title quinone employing silver carbonate in benzene.

参考文献No.538683
标题:The synthesis of irisquinone
作者:Haugwitz, R.D.; Risbood, P.A.; Parsons, J.L.; Myers, D.R.; Michalak, R.S.; Narayanan, V.L.
来源:Tetrahedron Lett 1989,30(36),4783
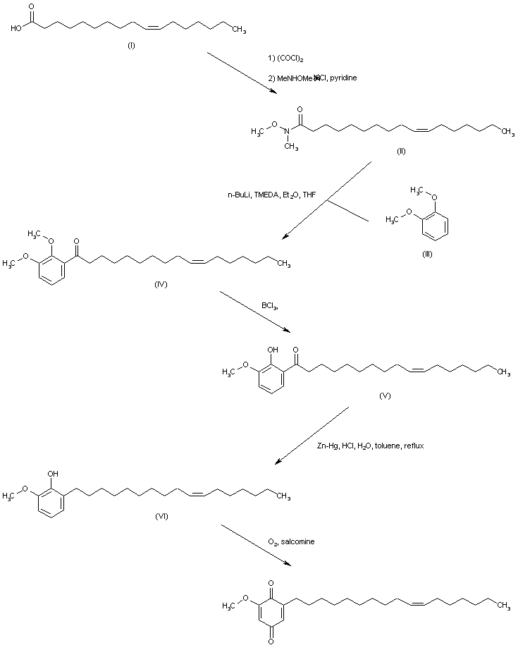
合成路线图解说明:

Irisquinone was originally isolated from some Iris species. The total synthesis of this compound has been reported by several procedures. 10-cis-Heptadecenoic acid (I) was converted to the Weinreb amide (II) via the corresponding acid chloride. Regiospecific ortho-lithiation of veratrole (III), followed by acylation with the N-methoxy amide (II), afforded ketone (IV). Selective mono-demethylation of (IV) with boron trichloride yielded phenol (V). Clemmensen reduction of the keto group of (V) employing zinc amalgam furnished 2-(cis-10-heptadecenyl)-6-methoxyphenol (VI). This was finally oxidized to the target quinone by means of oxygen gas in the presence of salcomine.

Drug Information Express,Drug R&D,Chemical Database,Patent Search.
Copyright © 2006-2026 Drug Future. All rights reserved.Contact Us