【药物名称】S-4048
化学结构式(Chemical Structure):
参考文献No.23176
标题:Derivs. of substd. cyclohexane, their process of preparation and their application for the treatment of diseases
作者:Hemmerle, H.; Schindler, P.; Herling, A. (Aventis SA)
来源:EP 0587088; JP 1994211736; US 5463062
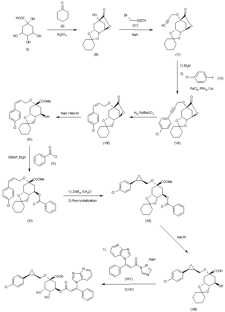
合成路线图解说明:

Treatment of carboxylic acid (I) with refluxing cyclohexanone (II) and H2SO4 affords derivative (III), which is then condensed with propargyl bromide (IV) by means of NaH in DMF to yield propargyl ether (V). Treatment of (V) with Et3N in toluene followed by condensation with 4-cloro-iodobenzene (VI) by means of PdCl2, PPh3 and CuI provides propinyloxy derivative (VII), which is then converted into propenyloxy derivative (VIII) by hydrogenation over Pd/ BaSO4 in pyridine. Opening of the lactone ring of (VIII) by means of NaH in MeOH and THF affords methyl ester (IX), which is then condensed with benzoyl chloride (X) by means of DMAP and Et3N in CH2Cl2 to give benzoate (XI). Treatment of (XI) with Et2Zn and chloroiodomethane in dichloroethane (or alternatively in CH2Cl2 or THF) followed by recrystallization from isopropanol furnishes cyclopropane derivative (XII), which is then hydrolyzed by treatment with NaOH in dioxane to yield alcohol (XIII). Finally, (XIII) is condensed with intermediate (XIV) by means of NaH in DMF and then deprotected by treatment with HCl in dioxane to afford the target compound.

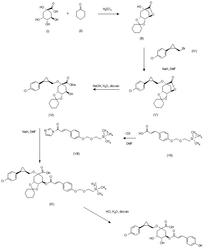
合成路线图解说明:

Reaction of quinic acid (I) with boiling cyclohexanone (II) and a trace of H2SO4 under azeotropical removal of water gave lactone-ketal (III). Subsequent alkylation with bromide (IV) and NaH in DMF at r.t. provided ether (V), which was hydrolyzed with NaOH in aqueous dioxan to produce the sodium carboxylate (VI). Protected 4-hydroxycinnamic acid (VII) was converted to the imidazolide (VIII) on treatment with carbonyl diimidazole (CDI) in DMF, and this was subsequently condensed with (VI) in the presence of NaH in DMF to afford ester (IX). Finally, deprotection of acetal and silylethoxymethyl groups with HCl in aqueous dioxan at r.t. provided the target compound.

参考文献No.28015
标题:Cyclohexane derivs., processes for their preparation and their use as glucose-6-phosphatase inhibitors
作者:Hemmerle, H.; Schubert, G.; Burger, H.-J.; Herling, A.; Efendic, S. (Aventis SA)
来源:CA 2149007; CA 4416433; EP 0682024; JP 1995330767; US 5739147
合成路线图解说明:

Treatment of carboxylic acid (I) with refluxing cyclohexanone (II) and H2SO4 affords derivative (III), which is then condensed with propargyl bromide (IV) by means of NaH in DMF to yield propargyl ether (V). Treatment of (V) with Et3N in toluene followed by condensation with 4-cloro-iodobenzene (VI) by means of PdCl2, PPh3 and CuI provides propinyloxy derivative (VII), which is then converted into propenyloxy derivative (VIII) by hydrogenation over Pd/ BaSO4 in pyridine. Opening of the lactone ring of (VIII) by means of NaH in MeOH and THF affords methyl ester (IX), which is then condensed with benzoyl chloride (X) by means of DMAP and Et3N in CH2Cl2 to give benzoate (XI). Treatment of (XI) with Et2Zn and chloroiodomethane in dichloroethane (or alternatively in CH2Cl2 or THF) followed by recrystallization from isopropanol furnishes cyclopropane derivative (XII), which is then hydrolyzed by treatment with NaOH in dioxane to yield alcohol (XIII). Finally, (XIII) is condensed with intermediate (XIV) by means of NaH in DMF and then deprotected by treatment with HCl in dioxane to afford the target compound.

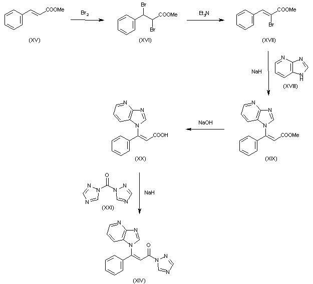
合成路线图解说明:

Intermediate (XIV) can be obtained as follows: Bromination of methyl cinnamate (XV) with Br2 in CH2Cl2 provides 2,3-dibromo-3-phenylpropanoate (XVI), which is then converted into alpha-bromocinnamic ester (XVII) by reaction with Et3N in refluxing toluene. Treatment of (XVII) with imidazopyridine (XVIII) and NaH in DMF affords derivative (XIX), which is then hydrolyzed by treatment with NaOH in MeOH to furnish carboxylic acid (XX). Finally, (XX) reacts with carbonylditriazole in DMF to give the target intermediate (XIV).

Drug Information Express,Drug R&D,Chemical Database,Patent Search.
Copyright © 2006-2026 Drug Future. All rights reserved.Contact Us