【药物名称】TA-606
化学结构式(Chemical Structure):
参考文献No.28014
标题:Imidazopyridine derivs. and process for preparing the same
作者:Sekine, Y.; Kawanishi, E.; Narita, H.; Hashimoto, Y.; Mizobe, M. (Tanabe Seiyaku Co., Ltd.)
来源:CA 2146802; EP 0682023; JP 1996003162; US 5753672
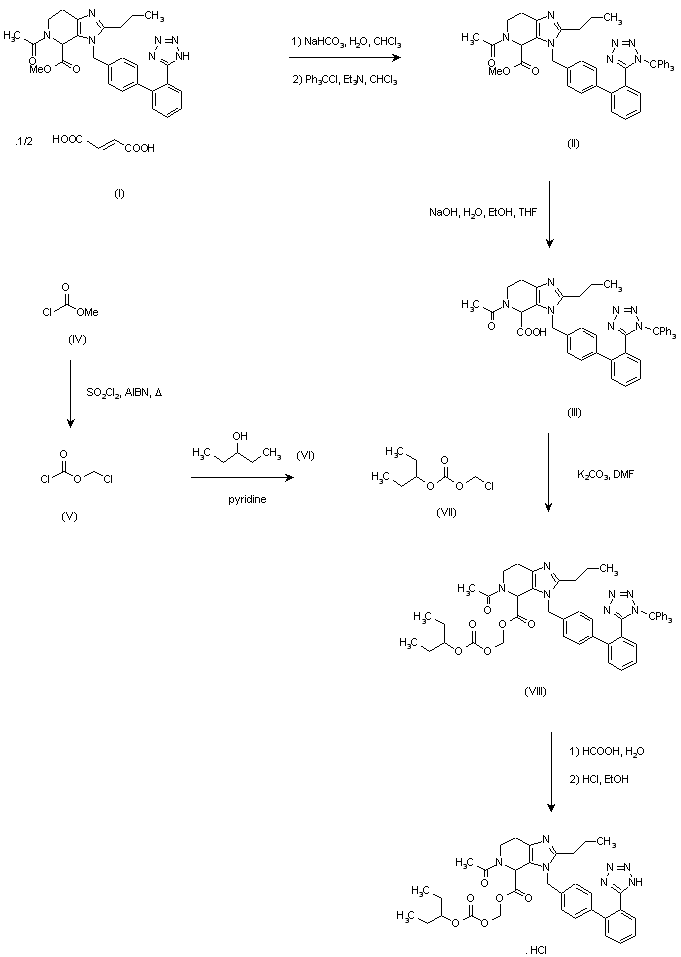
合成路线图解说明:

Hemifumarate salt (I) was liberated by treatment with NaHCO3 and subsequently protected with trityl chloride to afford (II). Then, the methyl ester function of (II) was hydrolyzed with NaOH to furnish acid (III). Chlorination of methyl chloroformate (IV) with sulfuryl chloride in the presence of a catalytic amount of azobis(isobutyronitrile) (AIBN) yielded chloromethyl chloroformate (V), which was condensed with 3-pentanol (VI) in pyridine to provide carbonate (VII). The O-alkylation of acid (III) with 3-pentyloxycarbonyloxymethyl chloride (VII) in the presence of K2CO3 in DMF produced the pentyloxycarbonyloxymethyl ester (VIII). Finally, the trityl protecting group of (VIII) was removed with 85% formic acid at r.t., and the resulting product was converted to the hydrochloride salt by treatment with an ethanolic solution of HCl.

Drug Information Express,Drug R&D,Chemical Database,Patent Search.
Copyright © 2006-2026 Drug Future. All rights reserved.Contact Us