【药物名称】GW-320659, 1555U88, BW-1555U88
化学结构式(Chemical Structure):
参考文献No.14789
标题:Novel morpholinol cpds., their preparation and use
作者:Kelley, J.L.; Musso, D.L.; Boswell, G.E.; Cooper, B.R. (GlaxoSmithKline plc)
来源:AU 9165639; EP 0426416; JP 1991206084; US 5104870
合成路线图解说明:

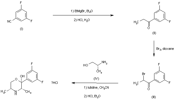
3,5-Difluorobenzonitrile (I) was treated with ethylmagnesium bromide to give propiophenone (II), which was subsequently brominated with dioxane dibromide yielding bromoketone (III). Condensation of (III) with (R)-2-amino-1-propanol (IV) in the presence of 2,6-lutidine produced the corresponding amino ketone, which spontaneously cyclized to the title cyclic hemiacetal form.

参考文献No.349963
标题:(2S,3S,5R)-2-(3,5-Difluorophenyl)-3, 5-dimethyl-2-morpholinol: A novel antidepressant agent and selective inhibitor of norepinephrine uptake
作者:Kelley, J.L.; Musso, D.L.; Boswell, G.E.; Soroko, F.E.; Cooper, B.R.
来源:J Med Chem 1996,39(2),347
合成路线图解说明:

3,5-Difluorobenzonitrile (I) was treated with ethylmagnesium bromide to give propiophenone (II), which was subsequently brominated with dioxane dibromide yielding bromoketone (III). Condensation of (III) with (R)-2-amino-1-propanol (IV) in the presence of 2,6-lutidine produced the corresponding amino ketone, which spontaneously cyclized to the title cyclic hemiacetal form.

Drug Information Express,Drug R&D,Chemical Database,Patent Search.
Copyright © 2006-2026 Drug Future. All rights reserved.Contact Us