【药物名称】Nelarabine, Nelzarabine, GW-506U78, GW-506U, 506U78, 506U
化学结构式(Chemical Structure):
参考文献No.9629
标题:Antiviral cpds.
作者:Krenitsky, T.A.; Koszalka, G.W.; Jones, L.A.; Averett, D.R.; Moorman, A.R. (Glaxo Wellcome plc)
来源:AU 8816718; EP 0294114; JP 1988310831; US 5424295; US 5539098
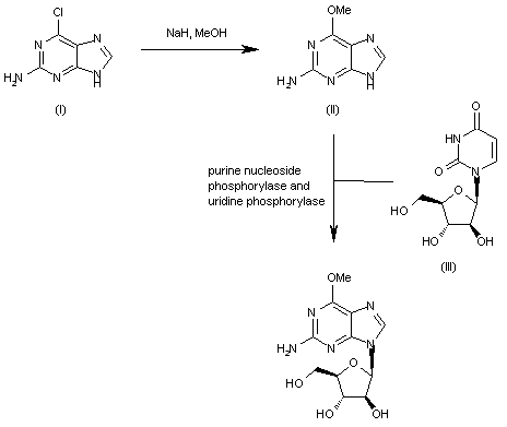
合成路线图解说明:

The reaction of 6-chloropurine-2-amine (I) with methanol and NaH gives 6-O-methylguanine (II), which is mixed with uracil arabinoside (III), purine nucleoside phosphorylase and uridine phosphorylase and submitted to incubation in a potassium phosphate solution at 37 C. After 26 days of incubation, the target compound is isolated.

Drug Information Express,Drug R&D,Chemical Database,Patent Search.
Copyright © 2006-2026 Drug Future. All rights reserved.Contact Us