【药物名称】Metanicotine, TC-240312, TC-2403, RJR-2403
化学结构式(Chemical Structure):
参考文献No.341535
标题:The formation of 1-methyl-3-nicotinoylpyrrolidine from nicotine 1'-oxide
作者:Joyce, N.J.; Leete, E.
来源:Heterocycles 1989,29(7),1335
合成路线图解说明:

Nicotine (I) is converted to the N-oxide (II) by oxidation with m-chloroperbenzoic acid. Treatment of N-oxide (II) with ferric nitrate gives rise to a number of different products, among them, the hydroxylamine (III) arises by a Cope elimination process. The target metanicotine is formed by reduction of hydroxylamine (III) as a minor reaction product

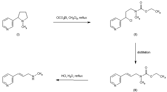
参考文献No.720900
标题:Transformations involving the pyrrolidine ring of nicotine
作者:Acheson, R.M.; et al.
来源:J Chem Soc - Perkins Trans I 1980,(2),579
合成路线图解说明:

Treatment of nicotine (I) with ethyl chloroformate produces the open-chain chloro carbamate (II) which, upon distillation, undergoes elimination to the N-pyridylbutenyl carbamate (III). Acidic hydrolysis of the carbamate group of (III) then provides the target metanicotine

Drug Information Express,Drug R&D,Chemical Database,Patent Search.
Copyright © 2006-2026 Drug Future. All rights reserved.Contact Us