【药物名称】PD-146626
化学结构式(Chemical Structure):
参考文献No.27923
标题:Benzothiophene, benzofuran and indolethiazepinones, oxazepinones and diazepinones as inhibitors of cell adhesion and as inhibitors of HIV
作者:Boschelli, D.H.; Connor, D.T.; Kramer, J.B.; Unangst, P.C. (Pfizer Inc.)
来源:EP 0749434; JP 1997509961; US 5489586; WO 9524408
合成路线图解说明:

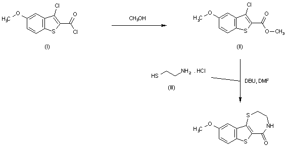
Methyl 3-chloro-5-methoxybenzo[b]thiophene-2-carboxylate (II) was prepared from the known acid chloride (I) by treatment with methanol. Cyclization of the chloro ester (II) with cysteamine hydrochloride (III) in the presence of DBU afforded the target benzothienothiazepinone.

参考文献No.31052
标题:Use of thiazepine, oxazepine and diazepine cpds. for inhibiting HIV, herpesvirus and suppressing the immune system
作者:Gracheck, S.J. (Pfizer Inc.)
来源:EP 0817635; JP 1999502814; WO 9629077
合成路线图解说明:

Methyl 3-chloro-5-methoxybenzo[b]thiophene-2-carboxylate (II) was prepared from the known acid chloride (I) by treatment with methanol. Cyclization of the chloro ester (II) with cysteamine hydrochloride (III) in the presence of DBU afforded the target benzothienothiazepinone.

参考文献No.628678
标题:Preparation of benzothieno[2,3-f]-1,4-oxazepin- and -thiazepin-5(2H)-ones and of benzothieno[3,2-e]-1,4-diazepin-5-ones
作者:Khatana, S.S.; et al.
来源:J Org Chem 1996,61(17),6060
合成路线图解说明:

Methyl 3-chloro-5-methoxybenzo[b]thiophene-2-carboxylate (II) was prepared from the known acid chloride (I) by treatment with methanol. Cyclization of the chloro ester (II) with cysteamine hydrochloride (III) in the presence of DBU afforded the target benzothienothiazepinone.

Drug Information Express,Drug R&D,Chemical Database,Patent Search.
Copyright © 2006-2026 Drug Future. All rights reserved.Contact Us