【药物名称】Isofagomine hydrochloride, NN-42-1007
化学结构式(Chemical Structure):
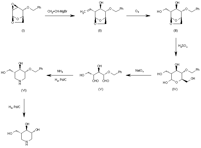
参考文献No.27911
标题:Piperidines and pyrrolidines
作者:Lundgren, K.; Kirk, O. (Novo Nordisk A/S)
来源:EP 0749423; JP 1997509947; WO 9524391
合成路线图解说明:

The reaction of 1,6:2,3-dianhydro-4-O-benzyl-beta-D-mannopyranose (I) with vinylmagnesium bromide in THF gives 1,6-anhydro-4-O-benzyl-2-deoxy-2-C-vinyl-beta-D-glucopyranose (II), which is treated with O3 and NaBH4 in EtOH/H2O yielding 1,6-anhydro-4-O-benzyl-2-deoxy-2-C-(hydroxymethyl)-beta-D-glucopyranose (III). The hydrolysis of (III) with aqueous refluxing H2SO4 affords 4-O-benzyl-2-deoxy-2-C-(hydroxymethyl)-D-glucopyranose (IV), which is oxidized with NaIO4 in MeOH giving 4-O-benzyl-2-deoxy-2-C-(hydroxymethyl)-D-xylo-pentodialdose (V). The reductocyclization of (V) with ammonia and H2 over Pd/C provides the benzylated target compound (VI), which is finally deprotected with H2 over Pd/C in EtOH/HCl furnishing the target compound as a single (R,R,R) enantiomer.

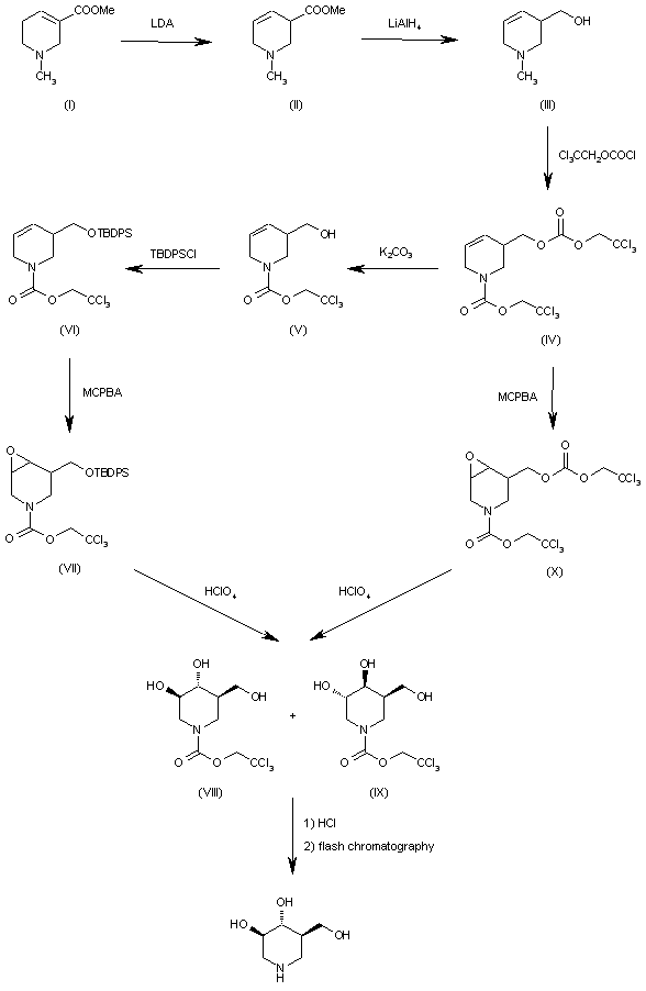
参考文献No.570741
标题:Synthesis of (?-isofagomine and its stereoisomers from arecoline
作者:Bols, M.; Hansen, S.U.
来源:J Chem Soc - Perkins Trans I 2000,(6),911
合成路线图解说明:

The isomerization of arecoline (I) with LDA gives 1-methyl-1,2,3,6-tetrahydropyridine-3-carboxylic acid methyl ester (II), which is reduced with LiAlH4 in THF yielding the carbinol (III). The protection of (III) with trichloroethyl chloroformate (Troc-Cl) and DIEA in toluene affords the demethylated compound (IV), which is treated with K2CO3 in methanol providing 3-(hydroxymethyl)-1,2,3,6-tetrahydropyridine-1-carboxylic acid 2,2,2-trichloroethyl ester (V). The silylation of (V) with TBDPSCl and imidazole in DMF gives the silyl ether (VI), which is epoxidized with MCPBA in dichloromethane yielding the epoxide (VII). Epoxide (VII) opening by means of HClO4 in refluxing water affords a diastereomeric mixture of racemates (VIII) and (IX) that could not be separated. The cleavage of the carbamate group of (VIII) and (IX) by means of HCl in water gives a new mixture that could be separated by flash chromatography to furnish the target compound as a racemate. Alternatively, intermediate (IV) is epoxidized with MCPBA in dichloromethane yielding the epoxide (X), which is treated as before.

参考文献No.600970
标题:A general strategy towards the synthesis of 1-N-iminosugar type glycosidase inhibitors: Demonstration by the synthesis of D- as well as L-glucose type iminosugars (isofagomines)
作者:Pandey, G.; Kapur, M.
来源:Tetrahedron Lett 2000,41(45),8821
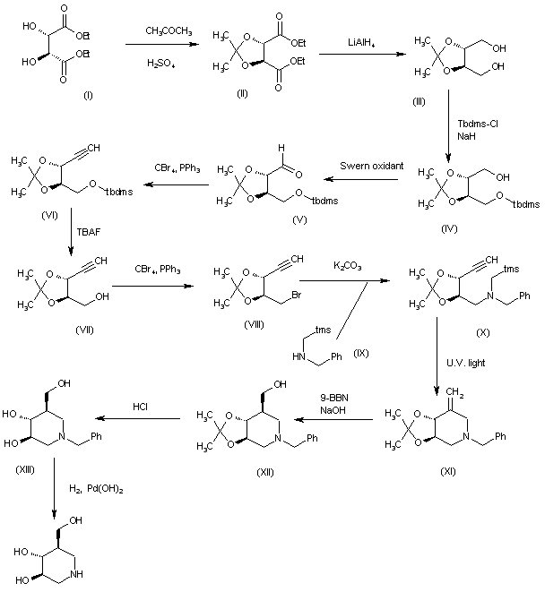
合成路线图解说明:

The reaction of D-tartaric acid (I) with refluxing acetone and sulfuric acid gives the isopropylidene ketal (II), which is reduced with LiAlH4 to yield 2,3-O-isopropylidene-D-threitol (III). The monosilylation of (III) with Tbdms-Cl and NaH affords the monosilyl ether (IV), which is submitted to a Swern oxidation to provide the aldehyde (V). The reaction of (V) with CBr4, PPh3 and BuLi in dichloromethane gives the acetylene (VI), which is desilylated with TBAF in THF to yield the carbinol (VII). The carbinol (VII) is treated with CBr4 and PPh3 in dichloromethane to afford the bromide (VIII), which is condensed with N-benzyl-N-(trimethylsilyl)amine (IX) by means of K2CO3 in refluxing acetonitrile, providing the tertiary amine (X). The cyclization of (X) by means of ultraviolet light in isopropanol/dichloromethane gives the methylenepiperidine (XI), which is submitted to hydroboration with 9-BBN and NaOH in THF to yield the carbinol (XII) as a single diastereomer. The cleavage of the ketal group of (XII) by treatment with HCl in methanol affords the chiral 1-benzyl-5-(hydroxymethyl)piperidine-3,4-diol (XIII), which is finally debenzylated by means of H2 over Pd(OH)2 in ethanol to furnish the target isofagomine.

参考文献No.605996
标题:Selective fowler reductions: Asymmetric total synthesis of isofagomine and other 1-azasugars from methyl nicotinate
作者:Zhao, G.; Deo, U.C.; Ganem, B.
来源:Org Lett 2001,3(2),201
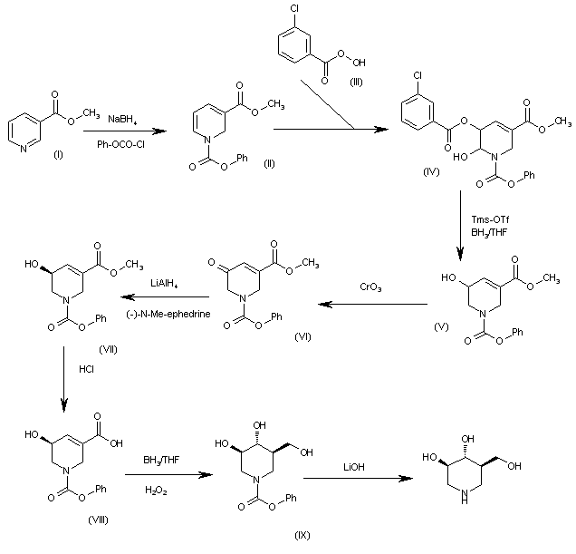
合成路线图解说明:

The selective reduction of methyl nicotinate (I) with simultaneous protection of the resulting NH group with phenyl chloroformate gives the 1,2-dihydropyridine derivative (II), which is treated with MCPBA (III) to afford the hydroxyester (IV). The reduction of (IV) with Tms-OTf and borane/THF complex affords the allylic alcohol (V), which is oxidized with CrO3 in acetone to provide the ketone (VI). The asymmetric reduction of (VI) with LiAlH4 catalyzed by (-)-N-methyl-ephedrine gives the chiral alcohol (VII), which is treated with refluxing 1N HCl to yield the carboxylic acid (VIII).The reduction of (VIII) with borane/THF complex and H2O2 affords the chiral carbinol (IX), which is finally deprotected by treatment with LiOH to provide the target isofagomine.

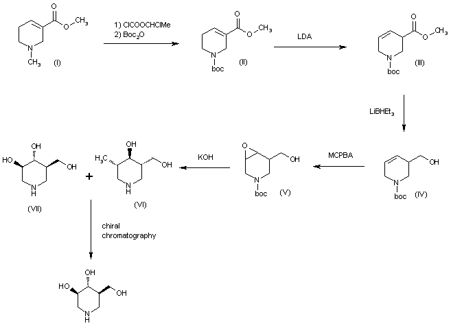
参考文献No.616114
标题:Iminosugars: Potential inhibitors of liver glycogen phosphorylase
作者:Jakobsen, P.; Lundbeck, J.M.; Kristiansen, M.; Breinholt, J.; Demuth, H.-U.; Pawlas, J.; Candela, M.P.; Andersen, B.; Westergaard, N.; Lundgren, K.; Asano, N.
来源:Bioorg Med Chem 2001,9(3),733
合成路线图解说明:

The demethylation of 1-methyl-1,2,5,6-tetrahydropyridine-3-carboxylic acid methyl ester (I) by reaction with 1-chloroethyl chloroformate, followed by reaction with Boc2O gives 1-(tert-butoxycarbonyl) -1,2,5,6-tetrahydropyridine-3-carboxylic acid methyl ester (II). The isomerization of (II) by means of LDA in THF yields 1-(tert-butoxycarbonyl) -1,2,3,6-tetrahydropyridine-3-carboxylic acid methyl ester (III), which is reduced with LiBHEt3 in THF to afford the hydroxymethyl derivative (IV). The reaction of (IV) with MCPBA in dichloromethane provides the epoxide (V), which is treated with refluxing aq. KOH, resulting in a racemic mixture of the enantiomers (VI) and (VII) as the major products. Finally, the target isofagomine is separated by chiral chromatography.

参考文献No.674376
标题:Total synthesis of (+)-nojirimycin and (+)-1-deoxynojirimycin
作者:Iida, H.; et al.
来源:J Org Chem 1987,52(15),3337
合成路线图解说明:

The reaction of D-tartaric acid (I) with refluxing acetone and sulfuric acid gives the isopropylidene ketal (II), which is reduced with LiAlH4 to yield 2,3-O-isopropylidene-D-threitol (III). The monosilylation of (III) with Tbdms-Cl and NaH affords the monosilyl ether (IV), which is submitted to a Swern oxidation to provide the aldehyde (V). The reaction of (V) with CBr4, PPh3 and BuLi in dichloromethane gives the acetylene (VI), which is desilylated with TBAF in THF to yield the carbinol (VII). The carbinol (VII) is treated with CBr4 and PPh3 in dichloromethane to afford the bromide (VIII), which is condensed with N-benzyl-N-(trimethylsilyl)amine (IX) by means of K2CO3 in refluxing acetonitrile, providing the tertiary amine (X). The cyclization of (X) by means of ultraviolet light in isopropanol/dichloromethane gives the methylenepiperidine (XI), which is submitted to hydroboration with 9-BBN and NaOH in THF to yield the carbinol (XII) as a single diastereomer. The cleavage of the ketal group of (XII) by treatment with HCl in methanol affords the chiral 1-benzyl-5-(hydroxymethyl)piperidine-3,4-diol (XIII), which is finally debenzylated by means of H2 over Pd(OH)2 in ethanol to furnish the target isofagomine.

参考文献No.674377
标题:1,4-Bismethanesulfonates of the stereoisomeric butanetetraols and related compounds
作者:Feit, P.W.
来源:J Med Chem 1964,714
合成路线图解说明:

The reaction of D-tartaric acid (I) with refluxing acetone and sulfuric acid gives the isopropylidene ketal (II), which is reduced with LiAlH4 to yield 2,3-O-isopropylidene-D-threitol (III). The monosilylation of (III) with Tbdms-Cl and NaH affords the monosilyl ether (IV), which is submitted to a Swern oxidation to provide the aldehyde (V). The reaction of (V) with CBr4, PPh3 and BuLi in dichloromethane gives the acetylene (VI), which is desilylated with TBAF in THF to yield the carbinol (VII). The carbinol (VII) is treated with CBr4 and PPh3 in dichloromethane to afford the bromide (VIII), which is condensed with N-benzyl-N-(trimethylsilyl)amine (IX) by means of K2CO3 in refluxing acetonitrile, providing the tertiary amine (X). The cyclization of (X) by means of ultraviolet light in isopropanol/dichloromethane gives the methylenepiperidine (XI), which is submitted to hydroboration with 9-BBN and NaOH in THF to yield the carbinol (XII) as a single diastereomer. The cleavage of the ketal group of (XII) by treatment with HCl in methanol affords the chiral 1-benzyl-5-(hydroxymethyl)piperidine-3,4-diol (XIII), which is finally debenzylated by means of H2 over Pd(OH)2 in ethanol to furnish the target isofagomine.

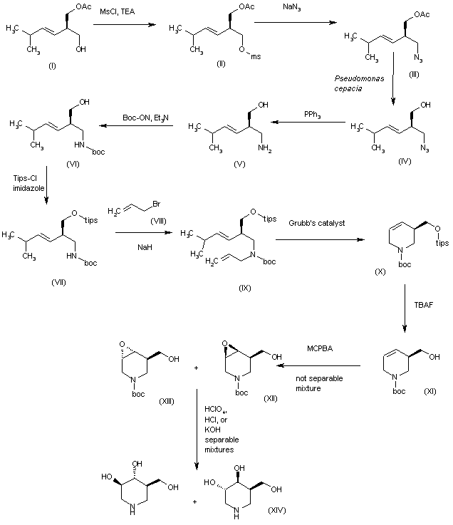
参考文献No.714722
标题:Asymmetrized tris(hydroxymethyl)methane as precursor of iminosugars: Application to the synthesis of isofagomine
作者:Guanti, G.; Riva, R.
来源:Tetrahedron Lett 2003,44(2),357
合成路线图解说明:

The reaction of 2(R)-(acetoxymethyl)-5-methyl-3(E)-hexen-1-ol (I) with MsCl and TEA in dichloromethane gives the mesylate (II), which is treated with NaN3 in hot DMF to yield the azido derivative (III). The hydrolysis of (III) catalyzed by Pseudomonas cepacia affords the azido alcohol (IV), which is reduced with PPh3 in THF/water to provide the aminoalcohol (V). The N-protection of (V) by means of Boc-ON and Et3N gives the carbamate (VI), which is O-protected by means of Tips-Cl and imidazole yielding the silyl ether (VII). The alkylation of the carbamate (VII) with allyl bromide (VIII) and NaH in DMF affords the allyl carbamate (IX), which is submitted to a ring closure metathesis reaction catalyzed by Grubb's catalyst to provide the chiral tetrahydropyridine (X). The desilylation of (X) by means of TBAF in THF gives N-(tert-butoxycarbonyl)-3(R)-(hydroxymethyl)-1,2,3,6-tetrahydropyridine (XI), which is treated with mCPBA in dichloromethane to yield an inseparable diastereomeric mixture of epoxides (XII) + (XIII). Finally, this mixture is treated with either HClO4 in acetone, HCl in ethyl acetate or with refluxing aq. KOH to afford separable mixtures of the target isofagomine and (XIV), one of its diastereomers.

Drug Information Express,Drug R&D,Chemical Database,Patent Search.
Copyright © 2006-2026 Drug Future. All rights reserved.Contact Us