【药物名称】NU-1025
化学结构式(Chemical Structure):
参考文献No.483125
标题:Resistance-modifying agents. 5. Synthesis and biological properties of quinazolinone inhibitors of the DNA repair enzyme poly(ADP-ribose) polymerase (PARP)
作者:Griffin, R.J.; Srinivasan, S.; Bowman, K.; Calvert, A.H.; Curtin, N.J.; Newell, D.R.; Pemberton, L.C.; Golding, B.T.
来源:J Med Chem 1998,41(26),5247
合成路线图解说明:

Thus, benzoxazole-4-carboxylate (I) was rearranged in ammonia at 55 C under pressure to give the target 8-hydroxy-2-methylquinazolin-4-one, although in modest yields.

合成路线图解说明:

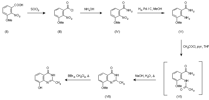
In an alternative procedure, 3-methoxy-2-nitrobenzoic acid (II) was treated with SOCl2 in the presence of DMF in THF, and the resulting acid chloride (III) was converted to amide (IV) with aqueous ammonia. Catalytic hydrogenation of (IV) over Pd/C produced aniline (V), which was then acetylated with AcCl and pyridine. The crude acetylamino compound (VI) was cyclized by treatment with aqueous NaOH to yield the quinazolinone (VII). Finally, demethylation of the methoxy group of (VII) with BBr3 provided the required 8-hydroxyquinazolinone.

Drug Information Express,Drug R&D,Chemical Database,Patent Search.
Copyright © 2006-2026 Drug Future. All rights reserved.Contact Us