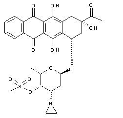
【药物名称】Ladirubicin, PNU-159548, FCE-28729
化学结构式(Chemical Structure):
参考文献No.27504
标题:3'-Aziridino-anthracycline derivs.
作者:Bargiotti, A.; Caruso, M.; Grandi, M.; Ripamonti, M.; Suarato, A. (Pharmacia AB)
来源:EP 0683788; JP 1996506835; US 5532218; WO 9516695
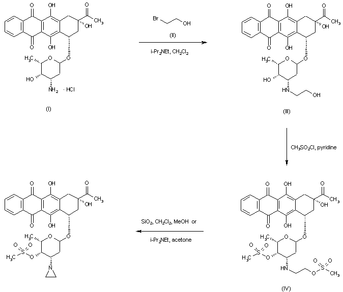
合成路线图解说明:

Alkylation of 4-(demethoxy)daunorubicin (I) with 2-bromoethanol (II) affords the hydroxyethyl amine (III). This is treated with methanesulfonyl chloride and diisopropyl ethylamine to produce the bis-mesylate (IV). Cyclization of (IV) to the title aziridino derivative is then accomplished by treatment with silicagel or with diisopropyl ethylamine.

合成路线图解说明:

The title aziridine derivative was prepared by treatment of the known 4-demethoxy-N-(2-hydroxyethyl)-4'-O-metanesulfonyldaunorubicin (I) with silica gel in a dichloromethane/methanol solution.

参考文献No.689808
标题:Synthesis of PNU-159548 labelled with 14C and 2H
作者:Fontana, E.; Felicini, C.
来源:J Label Compd Radiopharm 2002,45(7),543
合成路线图解说明:

Alkylation of 4-(demethoxy)daunorubicin (I) with 2-bromoethanol (II) affords the hydroxyethyl amine (III). This is treated with methanesulfonyl chloride and diisopropyl ethylamine to produce the bis-mesylate (IV). Cyclization of (IV) to the title aziridino derivative is then accomplished by treatment with silicagel or with diisopropyl ethylamine.

Drug Information Express,Drug R&D,Chemical Database,Patent Search.
Copyright © 2006-2026 Drug Future. All rights reserved.Contact Us