【药物名称】CNS-5161
化学结构式(Chemical Structure):
参考文献No.25555
标题:Therapeutic substd. guanidines
作者:Durant, G.J.; Magar, S.; Hu, L.-Y. (CeNeS Pharmaceuticals)
来源:EP 0705100; JP 1996510754; WO 9427591
合成路线图解说明:

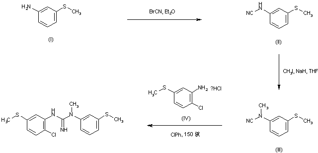
Treatment of 3-(methylsulfanyl)aniline (I) with cyanogen bromide affords the cyanamide (II), which is further N-alkylated with iodomethane and NaH to afford (III). Subsequent condensation of cyanamide (III) with 2-chloro-5-(methylsulfanyl)aniline hydrochloride (IV) in refluxing chlorobenzene gives rise to the desired guanidine derivative.

参考文献No.442941
标题:Synthesis and pharmacological evaluation of N-(2, 5-disubstituted phenyl)-N'-(3-substituted phenyl)-N'-methylguanidines as N-methyl-D-aspartate receptor ion-channel blockers
作者:Hu, L.-Y.; Guo, J.; Magar, S.S.; Fischer, J.B.; Burke-Howie, K.J.; Durant, G.J.
来源:J Med Chem 1997,40(26),4281
合成路线图解说明:

Treatment of 3-(methylsulfanyl)aniline (I) with cyanogen bromide affords the cyanamide (II), which is further N-alkylated with iodomethane and NaH to afford (III). Subsequent condensation of cyanamide (III) with 2-chloro-5-(methylsulfanyl)aniline hydrochloride (IV) in refluxing chlorobenzene gives rise to the desired guanidine derivative.

参考文献No.677797
标题:Synthesis of N-(2-chloro-5-methylthiophenyl)-N'-(3-methyl-thiophenyl)-N'-[3H3]methylguanidine, ([3H3]CNS-5161)
作者:Gibbs, A.R.; et al.
来源:J. Label. Comp. and Radiopharm. 2002,45(5),395
合成路线图解说明:

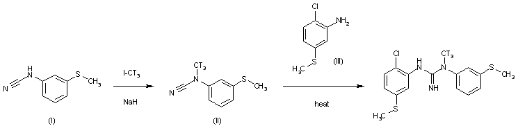
The methylation of N-[3-(methylsulfanyl)phenyl]cyanamide (I) with C3H3-I and NaH in THF gives the methylated cyanamide (II), which is then condensed with 2-chloro-5-(methylsulfanyl)aniline (III) in refluxing chlorobenzene to afford the target labeled guanidine.

参考文献No.683958
标题:Synthesis and in vitro evaluation of N,N'-diphenyl and N-naphthyl-N'-phenylguanidines as N-methyl-D-aspartate receptor ion-channel ligands
作者:Dumont, F.; Sultana, A.; Waterhouse, R.N.
来源:Bioorg Med Chem Lett 2002,12(12),1583
合成路线图解说明:

Treatment of 3-(methylsulfanyl)aniline (I) with cyanogen bromide affords the cyanamide (II), which is further N-alkylated with iodomethane and NaH to afford (III). Subsequent condensation of cyanamide (III) with 2-chloro-5-(methylsulfanyl)aniline hydrochloride (IV) in refluxing chlorobenzene gives rise to the desired guanidine derivative.

Drug Information Express,Drug R&D,Chemical Database,Patent Search.
Copyright © 2006-2026 Drug Future. All rights reserved.Contact Us