【药物名称】Talampanel, IDR-53773, GYKI-53773, LY-300164, Kinampa, Ampanel
化学结构式(Chemical Structure):
参考文献No.20156
标题:N-Acyl-2,3-benzodiazepine derivs., pharmaceutical compsns. containing them and process for preparing same
作者:Andrasi, F.; Berzsenyi, P.; Botka, P.; Farkas, S.; Goldschmidt, K.; Hamori, T.; Korosi, J.; Moravcsik, I.; Tarnawa, I. (Gyogyszerkutato Intezet Kft.)
来源:EP 0492485; JP 1993070463; US 5519019; US 5521174; US 5536832; US 5604223; US 5639751
合成路线图解说明:

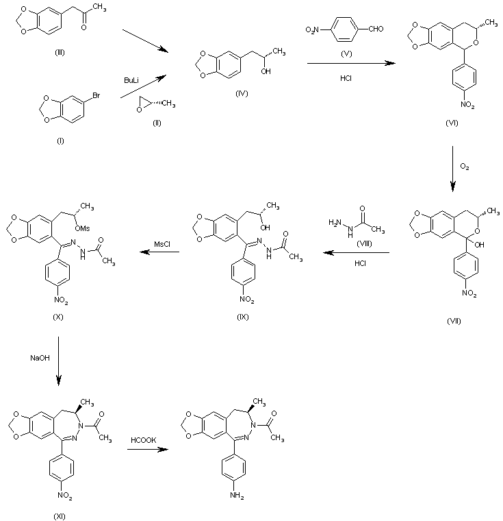
The reaction of 5-bromo-1,3-benzodioxole (I) with (S)-(-)-propylene oxide (II) by means of sec-butyllithium in THF gives the (S)-isopropanol derivative (IV) (also obtained by stereoselective reduction of 1-(1,3-benzodioxol-5-yl)-2-propanone (III) with Z. rouxii ATCC 14462 in a phosphate buffer). The cyclization of (IV) with 4-nitrobenzaldehyde (V) by means of HCl in hot toluene yields the benzopyran (VI), which is oxidized with air in aqueous NaOH affording the carbinol (VII). The reaction of (VII) with acetohydrazide (VIII) and HCl in refluxing ethanol gives the acetyl hydrazone (IX), which is mesylated at the secondary OH group with methanesulfonyl chloride and TEA in dichloromethane yielding the mesylate (X). The cyclization of (X) by means of NaOH in methanol provides the nitro benzodiazepine (XI), which is finally reduced with potassium formate and Pd/C in ethanol/water.

合成路线图解说明:

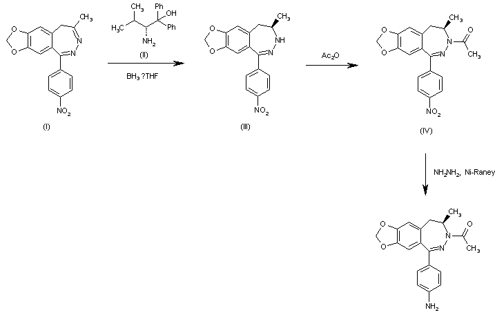
The regioselective reduction of 8-methyl-5-(4-nitrophenyl)-9H-1,3-dioxolo[4,5-h][2,3]benzodiazepine (I) with borane-THF complex catalyzed by (R)-2-amino-3-methyl-1,1-diphenyl-1-butanol (II) in dichloromethane gives the 8(R)-methyl derivative (III), which is acetylated with acetic anhydride yielding the 7-acetyl-8(R)-methyl derivative (IV). Finally, the nitro group of (IV) is reduced with hydrazine and Ni-Raney in methanol.

参考文献No.25896
标题:Optically active 1-(4-nitrophenyl)-4-methyl-7, 8-methylenedioxy-3,4-dihydro-5H-2,3-benzodiazepine and process for preparing same
作者:Ling, I.; H醡ori, T.; Botka, P.; S髄yom, S.; Simay, A.; Moravcsik, I. (Gyogyszerkutato Intezet Kft.)
来源:WO 9501357
合成路线图解说明:

The regioselective reduction of 8-methyl-5-(4-nitrophenyl)-9H-1,3-dioxolo[4,5-h][2,3]benzodiazepine (I) with borane-THF complex catalyzed by (R)-2-amino-3-methyl-1,1-diphenyl-1-butanol (II) in dichloromethane gives the 8(R)-methyl derivative (III), which is acetylated with acetic anhydride yielding the 7-acetyl-8(R)-methyl derivative (IV). Finally, the nitro group of (IV) is reduced with hydrazine and Ni-Raney in methanol.

参考文献No.41192
标题:Stereoselective process for producing dihydro-2,3-benzodiazepine derivs.
作者:Varie, D.L.; Hansen, M.M.; Anderson, B.; Vicenzi, J.T.; Zmijewski, M.J. (Eli Lilly and Company)
来源:EP 0699677; US 5665878
合成路线图解说明:

The reaction of 5-bromo-1,3-benzodioxole (I) with (S)-(-)-propylene oxide (II) by means of sec-butyllithium in THF gives the (S)-isopropanol derivative (IV) (also obtained by stereoselective reduction of 1-(1,3-benzodioxol-5-yl)-2-propanone (III) with Z. rouxii ATCC 14462 in a phosphate buffer). The cyclization of (IV) with 4-nitrobenzaldehyde (V) by means of HCl in hot toluene yields the benzopyran (VI), which is oxidized with air in aqueous NaOH affording the carbinol (VII). The reaction of (VII) with acetohydrazide (VIII) and HCl in refluxing ethanol gives the acetyl hydrazone (IX), which is mesylated at the secondary OH group with methanesulfonyl chloride and TEA in dichloromethane yielding the mesylate (X). The cyclization of (X) by means of NaOH in methanol provides the nitro benzodiazepine (XI), which is finally reduced with potassium formate and Pd/C in ethanol/water.

参考文献No.41193
标题:Physical form of dihidro-2,3-benzodiazepine deriv.
作者:Zmijewski, M.J. Jr.; Varie, D.L.; Hansen, M.M.; Vicenzi, J.T.; Anderson, B.A. (Eli Lilly and Company)
来源:EP 0699676
合成路线图解说明:

The reaction of 5-bromo-1,3-benzodioxole (I) with (S)-(-)-propylene oxide (II) by means of sec-butyllithium in THF gives the (S)-isopropanol derivative (IV) (also obtained by stereoselective reduction of 1-(1,3-benzodioxol-5-yl)-2-propanone (III) with Z. rouxii ATCC 14462 in a phosphate buffer). The cyclization of (IV) with 4-nitrobenzaldehyde (V) by means of HCl in hot toluene yields the benzopyran (VI), which is oxidized with air in aqueous NaOH affording the carbinol (VII). The reaction of (VII) with acetohydrazide (VIII) and HCl in refluxing ethanol gives the acetyl hydrazone (IX), which is mesylated at the secondary OH group with methanesulfonyl chloride and TEA in dichloromethane yielding the mesylate (X). The cyclization of (X) by means of NaOH in methanol provides the nitro benzodiazepine (XI), which is finally reduced with potassium formate and Pd/C in ethanol/water.

参考文献No.41194
标题:Crystalline form of dihydro-2,3-benzodiazepine deriv.
作者:Hansen, M.M.; Vicenzi, J.T.; Groleau, E.G.; Varie, D.L.; Zmijewski, M.J.; Anderson, B.A. (Eli Lilly and Company)
来源:EP 0699678
合成路线图解说明:

The reaction of 5-bromo-1,3-benzodioxole (I) with (S)-(-)-propylene oxide (II) by means of sec-butyllithium in THF gives the (S)-isopropanol derivative (IV) (also obtained by stereoselective reduction of 1-(1,3-benzodioxol-5-yl)-2-propanone (III) with Z. rouxii ATCC 14462 in a phosphate buffer). The cyclization of (IV) with 4-nitrobenzaldehyde (V) by means of HCl in hot toluene yields the benzopyran (VI), which is oxidized with air in aqueous NaOH affording the carbinol (VII). The reaction of (VII) with acetohydrazide (VIII) and HCl in refluxing ethanol gives the acetyl hydrazone (IX), which is mesylated at the secondary OH group with methanesulfonyl chloride and TEA in dichloromethane yielding the mesylate (X). The cyclization of (X) by means of NaOH in methanol provides the nitro benzodiazepine (XI), which is finally reduced with potassium formate and Pd/C in ethanol/water.

参考文献No.41195
标题:N-Acyl-2,3-benzodiazepine derivs., pharmaceutical compsns. containing them and process for preparing same
作者:Berzsenyi, P.; Goldschmidt, K.; Moravcsik, I.; K髍鰏i, J.; Andr醩i, F.; Farkas, S.; H醡ori, T.; Tarnawa, I.; Botka, P. (Gyogyszerkutato Intezet Kft.)
来源:US 5459137
合成路线图解说明:

The regioselective reduction of 8-methyl-5-(4-nitrophenyl)-9H-1,3-dioxolo[4,5-h][2,3]benzodiazepine (I) with borane-THF complex catalyzed by (R)-2-amino-3-methyl-1,1-diphenyl-1-butanol (II) in dichloromethane gives the 8(R)-methyl derivative (III), which is acetylated with acetic anhydride yielding the 7-acetyl-8(R)-methyl derivative (IV). Finally, the nitro group of (IV) is reduced with hydrazine and Ni-Raney in methanol.

参考文献No.41196
标题:Stereoselective process for producing dihydro-2,3-benzodiazepine derivs.
作者:Anderson, B.A.; Varie, D.L.; Vicenzi, J.T.; Zmijewski, M.J.; Hansen, M.M. (Eli Lilly and Company)
来源:US 5919954
合成路线图解说明:

The reaction of 5-bromo-1,3-benzodioxole (I) with (S)-(-)-propylene oxide (II) by means of sec-butyllithium in THF gives the (S)-isopropanol derivative (IV) (also obtained by stereoselective reduction of 1-(1,3-benzodioxol-5-yl)-2-propanone (III) with Z. rouxii ATCC 14462 in a phosphate buffer). The cyclization of (IV) with 4-nitrobenzaldehyde (V) by means of HCl in hot toluene yields the benzopyran (VI), which is oxidized with air in aqueous NaOH affording the carbinol (VII). The reaction of (VII) with acetohydrazide (VIII) and HCl in refluxing ethanol gives the acetyl hydrazone (IX), which is mesylated at the secondary OH group with methanesulfonyl chloride and TEA in dichloromethane yielding the mesylate (X). The cyclization of (X) by means of NaOH in methanol provides the nitro benzodiazepine (XI), which is finally reduced with potassium formate and Pd/C in ethanol/water.

参考文献No.342917
标题:Application of a practical biocatalytic reduction to an enantioselective synthesis of the 5H-2, 3-benzodiazepine LY300164
作者:Anderson, B.A.; et al.
来源:J Am Chem Soc 1995,117(49),12358
合成路线图解说明:

The reaction of 5-bromo-1,3-benzodioxole (I) with (S)-(-)-propylene oxide (II) by means of sec-butyllithium in THF gives the (S)-isopropanol derivative (IV) (also obtained by stereoselective reduction of 1-(1,3-benzodioxol-5-yl)-2-propanone (III) with Z. rouxii ATCC 14462 in a phosphate buffer). The cyclization of (IV) with 4-nitrobenzaldehyde (V) by means of HCl in hot toluene yields the benzopyran (VI), which is oxidized with air in aqueous NaOH affording the carbinol (VII). The reaction of (VII) with acetohydrazide (VIII) and HCl in refluxing ethanol gives the acetyl hydrazone (IX), which is mesylated at the secondary OH group with methanesulfonyl chloride and TEA in dichloromethane yielding the mesylate (X). The cyclization of (X) by means of NaOH in methanol provides the nitro benzodiazepine (XI), which is finally reduced with potassium formate and Pd/C in ethanol/water.

参考文献No.556815
标题:Asymmetric reduction of a carbon-nitrogen double bond: Enantioselective synthesis of 4,5-dihydro-3H-2,3-benzodiazepines
作者:Ling, I.; et al.
来源:J Chem Soc - Perkins Trans I 1995,(11),1423
合成路线图解说明:

The regioselective reduction of 8-methyl-5-(4-nitrophenyl)-9H-1,3-dioxolo[4,5-h][2,3]benzodiazepine (I) with borane-THF complex catalyzed by (R)-2-amino-3-methyl-1,1-diphenyl-1-butanol (II) in dichloromethane gives the 8(R)-methyl derivative (III), which is acetylated with acetic anhydride yielding the 7-acetyl-8(R)-methyl derivative (IV). Finally, the nitro group of (IV) is reduced with hydrazine and Ni-Raney in methanol.

参考文献No.630957
标题:Talampanel
作者:Andr醩i, F.
来源:Drugs Fut 2001,26(8),754
合成路线图解说明:

The reaction of 5-bromo-1,3-benzodioxole (I) with (S)-(-)-propylene oxide (II) by means of sec-butyllithium in THF gives the (S)-isopropanol derivative (IV) (also obtained by stereoselective reduction of 1-(1,3-benzodioxol-5-yl)-2-propanone (III) with Z. rouxii ATCC 14462 in a phosphate buffer). The cyclization of (IV) with 4-nitrobenzaldehyde (V) by means of HCl in hot toluene yields the benzopyran (VI), which is oxidized with air in aqueous NaOH affording the carbinol (VII). The reaction of (VII) with acetohydrazide (VIII) and HCl in refluxing ethanol gives the acetyl hydrazone (IX), which is mesylated at the secondary OH group with methanesulfonyl chloride and TEA in dichloromethane yielding the mesylate (X). The cyclization of (X) by means of NaOH in methanol provides the nitro benzodiazepine (XI), which is finally reduced with potassium formate and Pd/C in ethanol/water.

Drug Information Express,Drug R&D,Chemical Database,Patent Search.
Copyright © 2006-2026 Drug Future. All rights reserved.Contact Us