【药物名称】PNU-96415F(succinate), U-96415E
化学结构式(Chemical Structure):
参考文献No.27418
标题:Heterocyclic cpds. for the treatment of CNS and cardiovascular disorders
作者:Ten Brink, R.E.; Ennis, M.D.; Lin, C.-H.; Lahti, R.A.; Romero, A.G.; Sih, J.C. (Pharmacia Corp.)
来源:EP 0737189; JP 1997507224; US 5877317; WO 9518118
合成路线图解说明:

Reaction between phenetyl alcohol (I) and 3-chloropropionaldehyde diethyl acetal (II) under catalysis of methanesulfonic acid gives the mixed acetal (III), which is then cyclized to the isochromane (IV) by treatment with AlCl3 in nitromethane. Alkylation of 1-(4-fluorophenyl)piperazine (V) with chloride (IV) in the presence of diisopropylethylamine in ethylene glycol yields the title compound, which is converted to the dihydrocloride on treatment with a methanolic solution of hydrogen chloride.

合成路线图解说明:

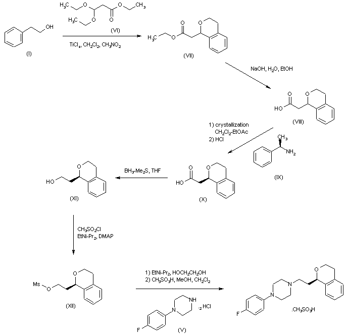
A synthesis of the R-(+) isomer has also been reported: Reaction of phenethyl alcohol (I) and ethyl 3,3-diethoxypropionate (VI) in the presence of titanium tetrachloride affords the isochromane (VII), which is hydrolyzed to acid (VIII) with NaOH in aqueous ethanol. Resolution of the racemic acid (VIII) is effected by conversion into the diastereomeric salt with R-(+)-a-methylbenzylamine (IX) which, after recrystallization from dichloromethane and ethyl acetate, is liberated by treatment with hydrochloric acid, to yield the R-(-) acid (X). This acid is reduced to alcohol (XI) with borane-dimethyl sulfide in tetrahydrofuran. Treatment of XI with methanesulfonyl chloride, diisopropylethylamine, and a trace of dimethylaminopyridine (DMAP) in tetrahydrofuran affords mesylate (XII), which is subsequently treated with piperazine (V) in ethylene glycol to afford the R-(+) compound, isolated as the methanesulfonate salt.

参考文献No.369729
标题:(S)-(-)-4-[4-[2-(Isochroman-1-yl)ethyl]-piperazin-1-yl]benzenesulfonamide, a selective dopamine D(4) antagonist
作者:TenBrink, R.E.; Bergh, C.L.; Duncan, J.N.; Harris, D.W.; Huff, R.M.; Lahti, R.A.; Lawson, C.F.; Lutzke, B.S.; Martin, I.J.; Rees, S.A.; Schlachter, S.K.; Sih, J.C.; Smith, M.W.
来源:J Med Chem 1996,39(13),2435
合成路线图解说明:

Reaction between phenetyl alcohol (I) and 3-chloropropionaldehyde diethyl acetal (II) under catalysis of methanesulfonic acid gives the mixed acetal (III), which is then cyclized to the isochromane (IV) by treatment with AlCl3 in nitromethane. Alkylation of 1-(4-fluorophenyl)piperazine (V) with chloride (IV) in the presence of diisopropylethylamine in ethylene glycol yields the title compound, which is converted to the dihydrocloride on treatment with a methanolic solution of hydrogen chloride.

合成路线图解说明:

A synthesis of the R-(+) isomer has also been reported: Reaction of phenethyl alcohol (I) and ethyl 3,3-diethoxypropionate (VI) in the presence of titanium tetrachloride affords the isochromane (VII), which is hydrolyzed to acid (VIII) with NaOH in aqueous ethanol. Resolution of the racemic acid (VIII) is effected by conversion into the diastereomeric salt with R-(+)-a-methylbenzylamine (IX) which, after recrystallization from dichloromethane and ethyl acetate, is liberated by treatment with hydrochloric acid, to yield the R-(-) acid (X). This acid is reduced to alcohol (XI) with borane-dimethyl sulfide in tetrahydrofuran. Treatment of XI with methanesulfonyl chloride, diisopropylethylamine, and a trace of dimethylaminopyridine (DMAP) in tetrahydrofuran affords mesylate (XII), which is subsequently treated with piperazine (V) in ethylene glycol to afford the R-(+) compound, isolated as the methanesulfonate salt.

Drug Information Express,Drug R&D,Chemical Database,Patent Search.
Copyright © 2006-2026 Drug Future. All rights reserved.Contact Us