【药物名称】L-742728
化学结构式(Chemical Structure):
参考文献No.27768
标题:1-beta-Methyl-carbapenem, compsns. containing same and methods of use
作者:Greenlee, M.L.; Dininno, F.P.; Hammond, M.L. (Merck & Co., Inc.)
来源:US 5451579; WO 9521841
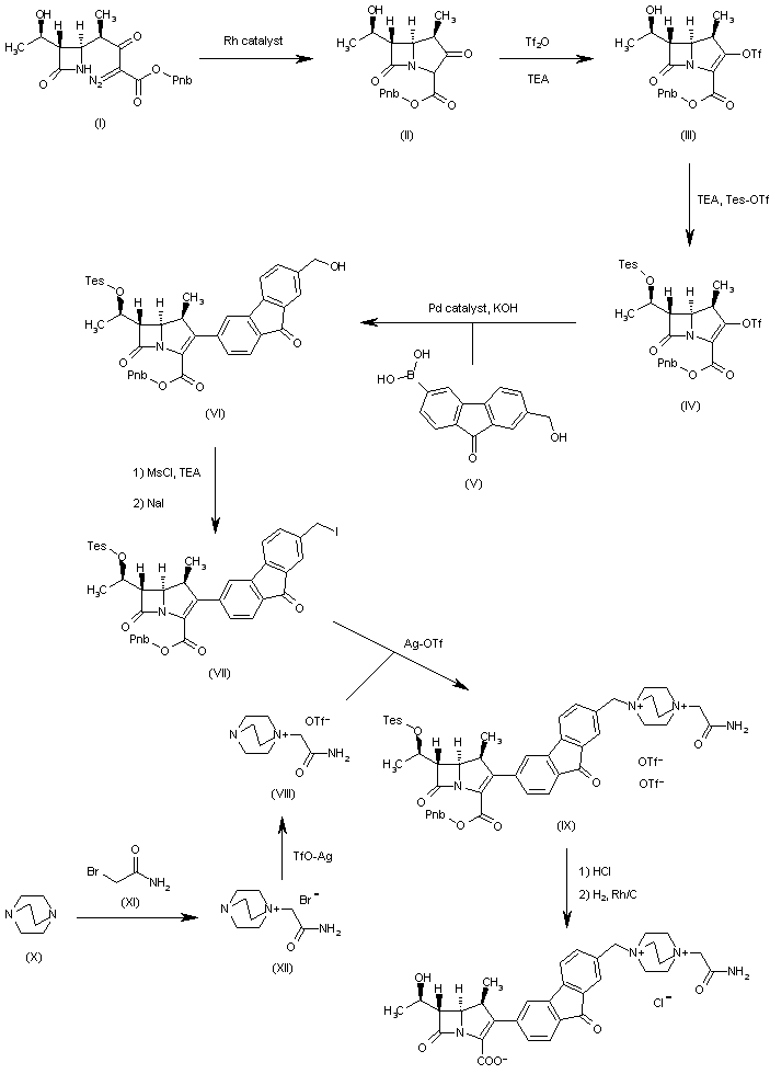
合成路线图解说明:

The cyclization of the diazo azetidinone (I) by means of a Rhodium catalyst in dichloromethane gives the -methyl-2-oxocarbapenam derivative (II), which is treated with methanesulfonic anhydride and TEA in dichloromethane yielding the enol triflate (II). The silylation of the OH group of (III) with triethylsilyl triflate and TEA affords the silyl ether (IV), which is condensed with the fluorenone boronic acid (V) by means of KOH and a Pd catalyst giving the adduct (VI) (1). The mesylation of (VI) with MsCl and TEA in dichloromethane, followed by reaction with NaI in acetone yields the iodomethyl compound (VII), which is condensed with 2-(4-aza-1-azoniabicyclo[2.2.2]octan-1-yl)acetamide triflate (VIII) by means of silver triflate in THF/acetonitrile to afford the protected intermediate (IX). Finally, this compound is deprotected first with HCl in THF/water and then by hydrogenation with H2 over Rh/C. The intermediate 2-(4-aza-1-azoniabicyclo[2.2.2]octan-1-yl)acetamide triflate (VIII) has been obtained as follows: The condensation of 1,4-diazabicyclo[2.2.2]octane (X) with 2-bromoacetamide (XI) in acetonitrile gives 2-(4-aza-1-azoniabicyclo[2.2.2]octan-1-yl)acetamide bromide (XII), which is then treated with silver triflate in acetonitrile/methanol to yield (VIII).

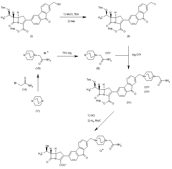
合成路线图解说明:

The mesylation of carbapenem (I) with MsCl and TEA in dichloromethane, followed by reaction with NaI in acetone yields the iodomethyl compound (II), which is condensed with 2-(4-aza-1-azoniabicyclo[2.2.2]octan-1-yl)acetamide triflate (III) by means of silver triflate in THF/acetonitrile to afford the protected intermediate (IV). Finally, this compound is deprotected first with HCl in THF/water and then by hydrogenation with H2 over Rh/C The intermediate 2-(4-aza-1-azoniabicyclo[2.2.2]octan-1-yl)acetamide triflate (III) has been obtained as follows: The condensation of 1,4-diazabicyclo[2.2.2]octane (V) with 2-bromoacetamide (VI) in acetonitrile gives 2-(4-aza-1-azoniabicyclo[2.2.2]octan-1-yl)acetamide bromide (VII), which is then treated with silver triflate in acetonitrile/methanol to yield (III).

参考文献No.559051
标题:Dicationic 2-fluorenylcarbapenems: Potent anti-MRS agents with improved solubility and pharmacokinetic properties
作者:Greenlee, M.L.; Laub, J.B.; Rouen, G.P.; DiNinno, F.; Hammond, G.G.; Huber, J.L.; Sundelof, J.G.; Hammond, M.L.
来源:Bioorg Med Chem Lett 1999,9(22),3225
合成路线图解说明:

The cyclization of the diazo azetidinone (I) by means of a Rhodium catalyst in dichloromethane gives the -methyl-2-oxocarbapenam derivative (II), which is treated with methanesulfonic anhydride and TEA in dichloromethane yielding the enol triflate (II). The silylation of the OH group of (III) with triethylsilyl triflate and TEA affords the silyl ether (IV), which is condensed with the fluorenone boronic acid (V) by means of KOH and a Pd catalyst giving the adduct (VI) (1). The mesylation of (VI) with MsCl and TEA in dichloromethane, followed by reaction with NaI in acetone yields the iodomethyl compound (VII), which is condensed with 2-(4-aza-1-azoniabicyclo[2.2.2]octan-1-yl)acetamide triflate (VIII) by means of silver triflate in THF/acetonitrile to afford the protected intermediate (IX). Finally, this compound is deprotected first with HCl in THF/water and then by hydrogenation with H2 over Rh/C. The intermediate 2-(4-aza-1-azoniabicyclo[2.2.2]octan-1-yl)acetamide triflate (VIII) has been obtained as follows: The condensation of 1,4-diazabicyclo[2.2.2]octane (X) with 2-bromoacetamide (XI) in acetonitrile gives 2-(4-aza-1-azoniabicyclo[2.2.2]octan-1-yl)acetamide bromide (XII), which is then treated with silver triflate in acetonitrile/methanol to yield (VIII).

合成路线图解说明:

The mesylation of carbapenem (I) with MsCl and TEA in dichloromethane, followed by reaction with NaI in acetone yields the iodomethyl compound (II), which is condensed with 2-(4-aza-1-azoniabicyclo[2.2.2]octan-1-yl)acetamide triflate (III) by means of silver triflate in THF/acetonitrile to afford the protected intermediate (IV). Finally, this compound is deprotected first with HCl in THF/water and then by hydrogenation with H2 over Rh/C The intermediate 2-(4-aza-1-azoniabicyclo[2.2.2]octan-1-yl)acetamide triflate (III) has been obtained as follows: The condensation of 1,4-diazabicyclo[2.2.2]octane (V) with 2-bromoacetamide (VI) in acetonitrile gives 2-(4-aza-1-azoniabicyclo[2.2.2]octan-1-yl)acetamide bromide (VII), which is then treated with silver triflate in acetonitrile/methanol to yield (III).

Drug Information Express,Drug R&D,Chemical Database,Patent Search.
Copyright © 2006-2026 Drug Future. All rights reserved.Contact Us