【药物名称】
化学结构式(Chemical Structure):
参考文献No.541839
标题:Synthesis of classical and a nonclassical 2-amino-4-oxo-6-methyl-5-substituted Pyrrolo[2,3-d]pyrimidine antifolate inhibitors of thymidylate synthase1
作者:Gangjee, A.; Mavandadi, F.; Kisliuk, R.L.; Queener, S.F.
来源:J Med Chem 1999,42(12),2272
合成路线图解说明:

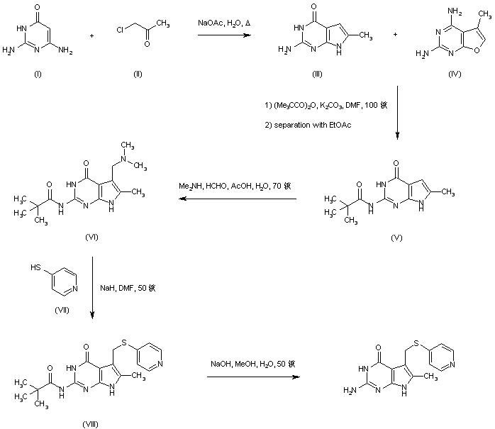
Condensation of 2,6-diamino-4-hydroxypyrimidine (I) with chloroacetone (II) produced a mixture of pyrrolopyrimidine (III) and furopyrimidine (IV). After treatment of this mixture with pivalic anhydride, the insoluble pivaloyl amide of pyrrolopyrimidine (V) was separated from the soluble dipivaloyl furopyrimidine with boiling EtOAc. Subsequent Mannich reaction of (V) with dimethylamine and formaldehyde afforded the (dimethylamino)methyl derivative (VI). The dimethylamino group of (VI) was then displaced with 4-mercaptopyridine (VII) to give thioether (VIII). Finally, the pivaloyl amide group of (VIII) was hydrolyzed with NaOH to yield the target compound.

参考文献No.607157
标题:2-Amino-4-oxo-5-substituted-pyrrolo[2,3-d.]pyrimidines as nonclassical antifolate inhibitors of thymidylate synthase
作者:Gangjee, A.; Mavandadi, F.; Kisliuk, R.L.; Mcguire, J.J.; Queener, S.F.
来源:J Med Chem 1996,39(23),4563-4568
合成路线图解说明:

Condensation of 2,6-diamino-4-hydroxypyrimidine (I) with chloroacetone (II) produced a mixture of pyrrolopyrimidine (III) and furopyrimidine (IV). After treatment of this mixture with pivalic anhydride, the insoluble pivaloyl amide of pyrrolopyrimidine (V) was separated from the soluble dipivaloyl furopyrimidine with boiling EtOAc. Subsequent Mannich reaction of (V) with dimethylamine and formaldehyde afforded the (dimethylamino)methyl derivative (VI). The dimethylamino group of (VI) was then displaced with 4-mercaptopyridine (VII) to give thioether (VIII). Finally, the pivaloyl amide group of (VIII) was hydrolyzed with NaOH to yield the target compound.

Drug Information Express,Drug R&D,Chemical Database,Patent Search.
Copyright © 2006-2026 Drug Future. All rights reserved.Contact Us