【药物名称】
化学结构式(Chemical Structure):
参考文献No.547581
标题:Optically active antifungal azoles. VIII. Synthesis and antifungal activity of 1-[(1R,2R)-2-(2,4-difluoro- and 2-fluorophenyl)-2-hydroxy-1-methyl-3-(1H-1,2,4-triazol-1-yl)propyl]-3-(4-substituted phenyl)-2(1H,3H)-imidazolones and 2-imidazolidinones
作者:Kitazaki, T.; Tasaka, A.; Tamura, N.; Matsushita, Y.; Hosono, H.; Hayashi, R.; Okonogi, K.; Itoh, K.
来源:Chem Pharm Bull 1999,47(3),351
合成路线图解说明:

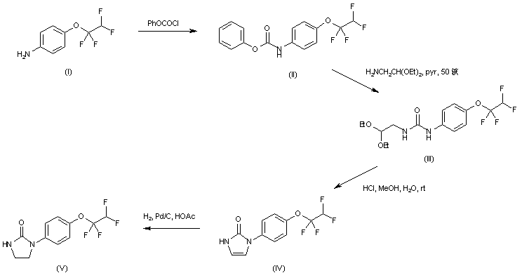
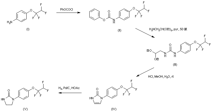
Aniline (I) was converted to phenyl carbamate (II) by treatment with phenyl chloroformate. Subsequent condensation of (III) with 2,2-diethoxyethylamine provided urea (III), which was cyclized under acidic conditions to give imidazolone (IV). Optionally, imidazolidinone (V) was obtained by catalytic hydrogenation of (IV).

合成路线图解说明:

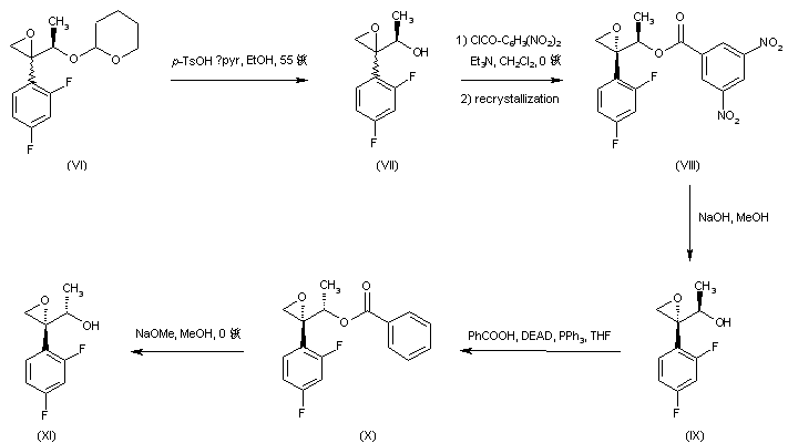
The diastereomeric mixture of tetrahydropyranyl-protected compounds (VI) was hydrolyzed with pyridinium p-toluenesulfonate to furnish the epoxyalcohols (VII). Subsequent coupling of (VIII) with 3,5-dinitrobenzoyl chloride produced a mixture of diastereomeric esters, from which the required isomer (VIII) was isolated by recrystallization from EtOAc. Hydrolysis with methanolic NaOH yielded the R,R-epoxyalcohol (IX). Inversion of configuration was then achieved by Mitsunobu coupling with benzoic acid, followed by hydrolysis of the resulting benzoate ester (X).

合成路线图解说明:

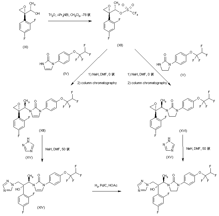
Treatment of epoxyalcohol (XI) with trifluoromethanesulfonic anhydride and diisopropyl ethylamine gave triflate (XII). Condensation of (XII) with imidazolone (IV) provided the required N-alkylated compound (XIII) along with some O-alkylated isomer, which were separated by column chromatography. Epoxide opening with triazole (XIV) afforded the imidazolone (XV), which was finally hydrogenated to produce the target imidazolidinone. Alternatively, condensation of triflate (XII) with imidazolidinone (V) furnished, after chromatographic separation of some O-alkylated isomer, imidazolidinone (XVI). Finally, the reaction of (XVI) with triazole (XIV) then provided an alternative route to the tiarget compound.

合成路线图解说明:

Aniline (I) was converted to phenyl carbamate (II) by treatment with phenyl chloroformate. Subsequent condensation of (II) with 2,2-diethoxyethylamine provided urea (III), which was cyclized under acidic conditions to give imidazolone (IV). Optionally, imidazolidinone (V) was obtained by catalytic hydrogenation of (IV).

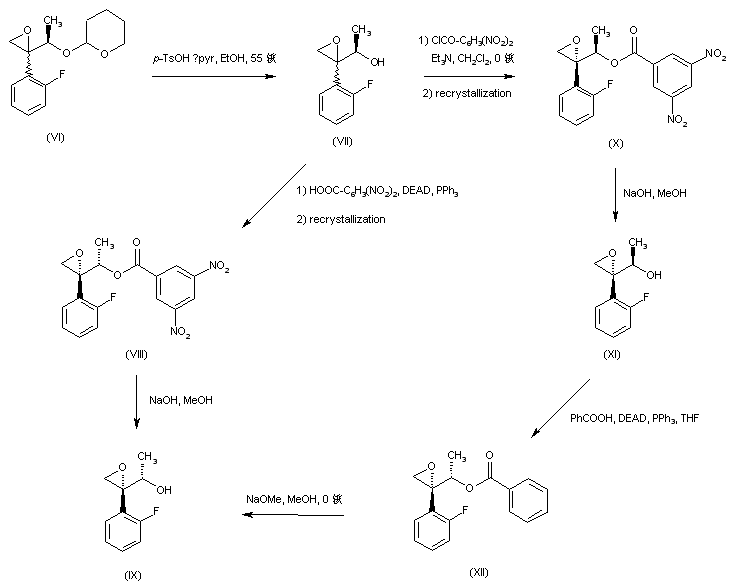
合成路线图解说明:

The diastereomeric mixture of tetrahydropyranyl-protected compounds (VI) was hydrolyzed with pyridinium p-toluenesulfonate to furnish the epoxyalcohols (VII). From this mixture, the target isomer (IX) was obtained by two alternative procedures. Condensation of (VII) with 3,5-dinitrobenzoic acid under Mitsunobu conditions proceeded with inversion of configuration. Further recrystallization of the resulting diastereomeric esters from EtOAc provided isomer (VIII). This was hydrolyzed with NaOH to yield the S,R-epoxyalcohol (IX). Alternatively, the diasteremeric epoxyalcohols (VII) were coupled with 3,5-dinitrobenzoyl chloride with retention of configuration. Recrystallization furnished isomer (X), which was subsequently hydrolyzed to the R,R-epoxyalcohol (XI). Inversion of configuration was then achieved by Mitsunobu coupling with benzoic acid, followed by hydrolysis of the resulting benzoate ester (XII).

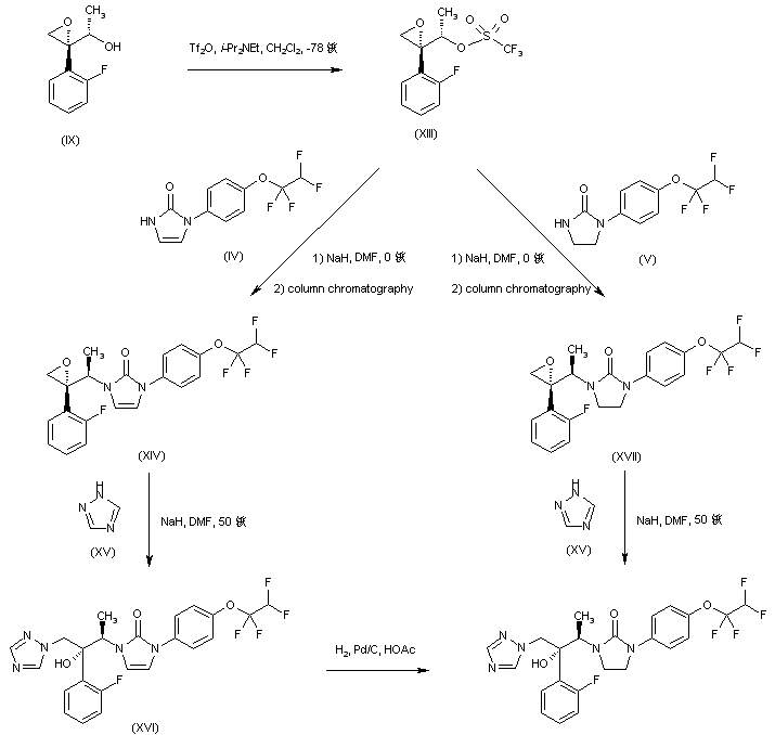
合成路线图解说明:

Treatment of epoxyalcohol (IX) with trifluoromethanesulfonic anhydride and diisopropyl ethylamine gave triflate (XIII). Condensation of (XIII) with imidazolone (IV) provided the required N-alkylated compound (XIV) along with some O-alkylated isomer, which were separated by column chromatography. Epoxide opening with triazole (XV) afforded the imidazolone (XVI), which was finally hydrogenated to produce the target imidazolidinone. Alternatively, condensation of triflate (XIII) with imidazolidinone (V) furnished, after chromatographic separation of some O-alkylated isomer, imidazolidinone (XVII). Finally, the reaction of (XVII) with triazole (XV) then provided an alternative route to the target compound.

Drug Information Express,Drug R&D,Chemical Database,Patent Search.
Copyright © 2006-2026 Drug Future. All rights reserved.Contact Us