【药物名称】SC-58236, SC-236
化学结构式(Chemical Structure):
参考文献No.436180
标题:Synthesis and biological evaluation of the 1, 5-diarylpyrazole class of cyclooxygenase-2 inhibitors: Identification of 4-[5-(4-methylphenyl)-3-(trifluoromethyl)-1H-pyrazol-1-yl]benzenesulfonamide (SC-58635, celecoxib)
作者:Penning, T.D.; Bertenshaw, S.R.; Talley, J.J.; Carter, J.S.; Collins, P.W.; Docter, S.; Graneto, M.J.; Lee, L.F.; Malecha, J.W.; Miyashiro, J.M.; Rogers, R.S.; Rogier, D.J.; Yu, S.S.; Anderson, G.D.; Burton, E.G.; Cogburn, J.N.; Gregory, S.A.; et al.
来源:J Med Chem 1997,40(9),1347
合成路线图解说明:

Claisen condensation of 4'-chloroacetophenone (I) with ethyl trifluoroacetate in the presence of NaOMe provided diketone (II). Subsequent reaction of (II) with 4-sulfamoylphenylhydrazine (III) provided the title 1,5-diaryl pyrazole along with minor amounts of the 1,3-diaryl regioisomer, which was removed by recrystallization from EtOAc and isooctane.

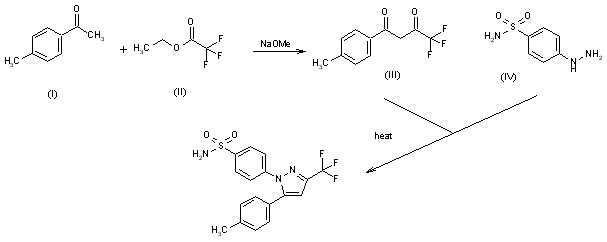
合成路线图解说明:

The condensation of 4-methylacetophenone (I) with ethyl trifluoroacetate (II) by means of NaOMe in refluxing methanol gives 4,4,4-trifluoro-1-(4-methylphenyl)butane-1,3-dione, which is cyclized with 4-hydrazinophenylsulfonamide (III) in refluxing ethanol.

Drug Information Express,Drug R&D,Chemical Database,Patent Search.
Copyright © 2006-2026 Drug Future. All rights reserved.Contact Us