【药物名称】ABmFPP
化学结构式(Chemical Structure):
参考文献No.69992
标题:ABPP
作者:Wierenga, W.
来源:Drugs Fut 1984,9(8),567
合成路线图解说明:

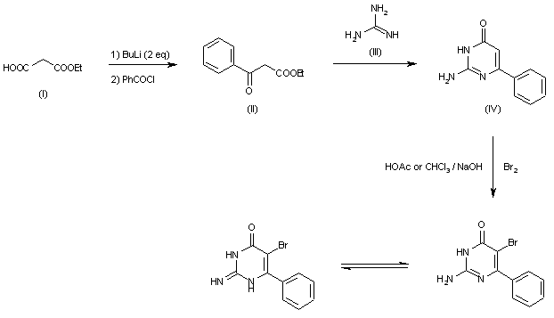
ABPP is a phenylpyrimidinone and as such is prepared in high yield by condensation of guanidine with ethyl benzoylacetate. Ethyl benzoylacetate is commercially available and can also be prepared in high yield by condensation of dilithiomonoethylmalonate at 78 C with benzoyl chloride. Reaction of the resultant beta-ketoester with guanidine in refluxing ethanol affords its pyrimidinone in high yield. ABPP can be prepared from this pyrimidinone by bromination in acetic acid at room temperature. Similarly, iodine can be introduced at this step to afford the iodo analogue, AIPP. The overall yield of these pyrimidinones from monoethylmalonate is generally) 50%.

合成路线图解说明:

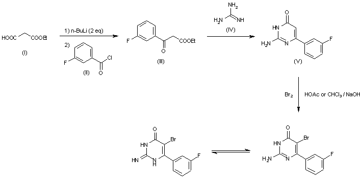
ABmFPP is a phenylpyrimidinone and as such is prepared in high yield by condensation of guanidine (IV) with ethyl 3-(3-fluorophenyl)-3-oxopropanoate (III) (1,2,4). Ethyl 3-(3-fluorophenyl)-3-oxopropanoate (III) is commercially available and can also be prepared in high yield by condensation of dilithiomonoethylmalonate (I) at 78 C with 3-fluorobenzoyl chloride (II) (3). Reaction of the resultant beta-ketoester with guanidine (IV) in refluxing ethanol affords its pyrimidinone (V) in high yield. ABmFPP can be prepared from this pyrimidinone by bromination in acetic acid at room temperature.

参考文献No.607197
标题:5-Substituted 2-amino-6-phenyl-4(3H)-pyrimidinones. Antiviral- and interferon-inducing agents
作者:Wierenga, W.; Skulnick, H.I.; Stringfellow, D.A.; Weed, S.D.; Renis, H.E.; Eidson, E.E.
来源:J Med Chem 1980,23(3),237-239
合成路线图解说明:

ABPP is a phenylpyrimidinone and as such is prepared in high yield by condensation of guanidine with ethyl benzoylacetate. Ethyl benzoylacetate is commercially available and can also be prepared in high yield by condensation of dilithiomonoethylmalonate at 78 C with benzoyl chloride. Reaction of the resultant beta-ketoester with guanidine in refluxing ethanol affords its pyrimidinone in high yield. ABPP can be prepared from this pyrimidinone by bromination in acetic acid at room temperature. Similarly, iodine can be introduced at this step to afford the iodo analogue, AIPP. The overall yield of these pyrimidinones from monoethylmalonate is generally) 50%.

合成路线图解说明:

ABmFPP is a phenylpyrimidinone and as such is prepared in high yield by condensation of guanidine (IV) with ethyl 3-(3-fluorophenyl)-3-oxopropanoate (III) (1,2,4). Ethyl 3-(3-fluorophenyl)-3-oxopropanoate (III) is commercially available and can also be prepared in high yield by condensation of dilithiomonoethylmalonate (I) at 78 C with 3-fluorobenzoyl chloride (II) (3). Reaction of the resultant beta-ketoester with guanidine (IV) in refluxing ethanol affords its pyrimidinone (V) in high yield. ABmFPP can be prepared from this pyrimidinone by bromination in acetic acid at room temperature.

参考文献No.950335
标题:Triazines and related products. XV. 2,4-Diaminopyrimidines and 2-aminopyrimidindihydrofolic reductase inhibitors
作者:Brown, T.B.; Stevens, M.F.G.
来源:J Chem Soc - Perkins Trans I 1975,(11),1023-1028
合成路线图解说明:

ABmFPP is a phenylpyrimidinone and as such is prepared in high yield by condensation of guanidine (IV) with ethyl 3-(3-fluorophenyl)-3-oxopropanoate (III) (1,2,4). Ethyl 3-(3-fluorophenyl)-3-oxopropanoate (III) is commercially available and can also be prepared in high yield by condensation of dilithiomonoethylmalonate (I) at 78 C with 3-fluorobenzoyl chloride (II) (3). Reaction of the resultant beta-ketoester with guanidine (IV) in refluxing ethanol affords its pyrimidinone (V) in high yield. ABmFPP can be prepared from this pyrimidinone by bromination in acetic acid at room temperature.

参考文献No.950336
标题:
作者:Wierenga, W.; Skulnick, H.I.
来源:J Org Chem 1979,44310
合成路线图解说明:

ABmFPP is a phenylpyrimidinone and as such is prepared in high yield by condensation of guanidine (IV) with ethyl 3-(3-fluorophenyl)-3-oxopropanoate (III) (1,2,4). Ethyl 3-(3-fluorophenyl)-3-oxopropanoate (III) is commercially available and can also be prepared in high yield by condensation of dilithiomonoethylmalonate (I) at 78 C with 3-fluorobenzoyl chloride (II) (3). Reaction of the resultant beta-ketoester with guanidine (IV) in refluxing ethanol affords its pyrimidinone (V) in high yield. ABmFPP can be prepared from this pyrimidinone by bromination in acetic acid at room temperature.

参考文献No.950337
标题:Interferon inducers
作者:Wierenga, W.
来源:Anu Rep Med Chem 1982,17151
合成路线图解说明:

ABmFPP is a phenylpyrimidinone and as such is prepared in high yield by condensation of guanidine (IV) with ethyl 3-(3-fluorophenyl)-3-oxopropanoate (III) (1,2,4). Ethyl 3-(3-fluorophenyl)-3-oxopropanoate (III) is commercially available and can also be prepared in high yield by condensation of dilithiomonoethylmalonate (I) at 78 C with 3-fluorobenzoyl chloride (II) (3). Reaction of the resultant beta-ketoester with guanidine (IV) in refluxing ethanol affords its pyrimidinone (V) in high yield. ABmFPP can be prepared from this pyrimidinone by bromination in acetic acid at room temperature.

Drug Information Express,Drug R&D,Chemical Database,Patent Search.
Copyright © 2006-2026 Drug Future. All rights reserved.Contact Us