【药物名称】Phomoidride A, CP-225917
化学结构式(Chemical Structure):
参考文献No.573043
标题:Total synthesis of the CP molecules CP-263,114 and CP-225,917 - Part 1: Synthesis of key intermediates and intelligence gathering
作者:Nicolaou, K.C.; et al.
来源:Angew Chem. Int Ed Engl 1999,38(11),1669
合成路线图解说明:

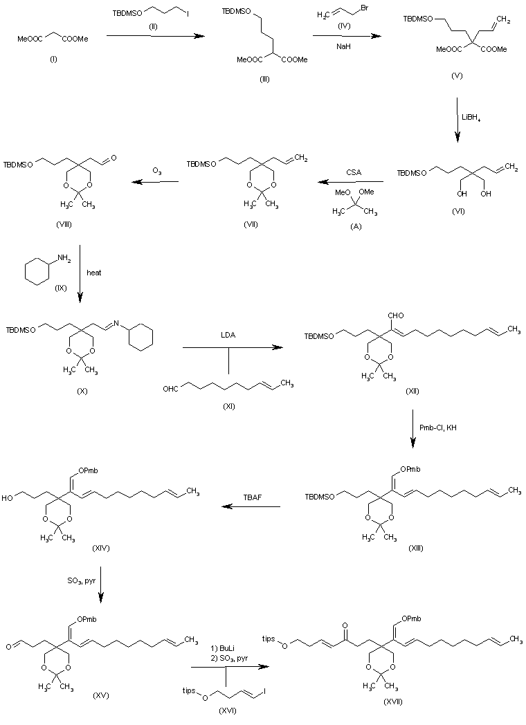
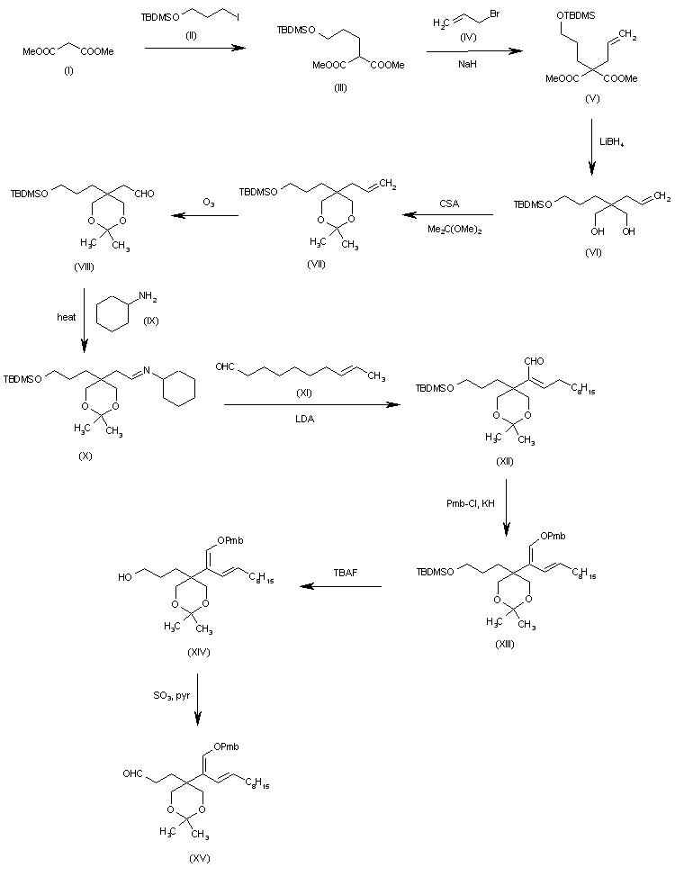
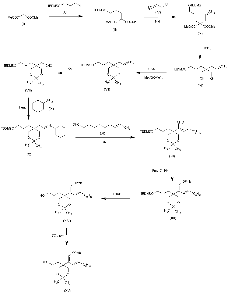
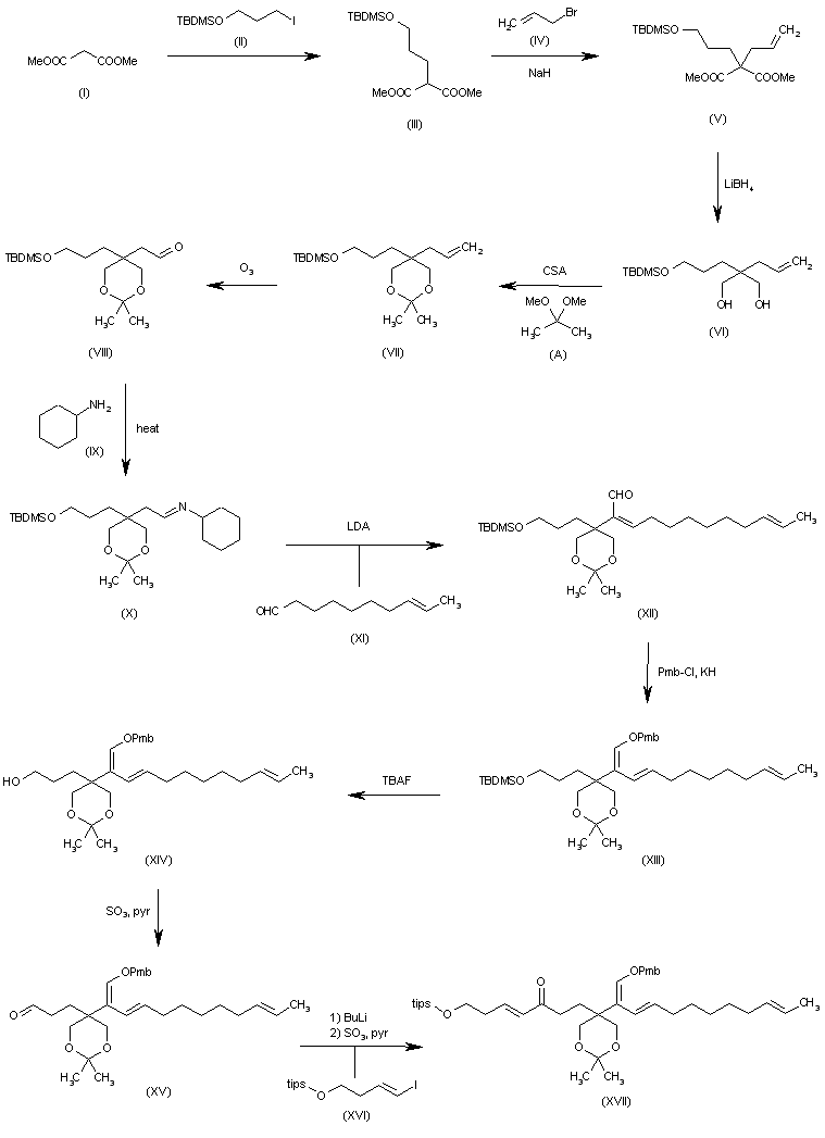
The reaction of dimethyl malonate (I) with 3-(tert-butyldimethylsilyloxy)propyl iodide (II) by means of NaH in THF gives the alkylmalonate (III), which by a new alkylation with allyl bromide (IV) and NaH in DME affords the dialkylmalonate (V). The reduction of (V) with LiBH4 in THF yields the 1,3-propanediol (VI), which is cyclized with 2,2-dimethoxypropane and CSA in dichloromethane giving the 1,3-dioxane (VII). The ozonolysis of the double bond of (VII) with O3 in dichloromethane yields the aldehyde (VIII), which is protected by heating with cyclohexylamine (IX) to afford the imine (X).The condensation of (X) with 8(E)-decenal (XI) by means of LDA in ethyl ether gives the unsaturated aldehyde (XII), which is treated with Pmb-Cl and KH in DME/HMPA to yield the enol ether (XIII). The desilylation of (XIII) with TBAF in THF gives the propanol derivative (XIV), which is oxidized with SO3/pyridine to the corresponding aldehyde (XV). The condensation of (XV) with 4-(triisopropylsilyloxy)-1(E)-butenyl iodide (XVI) by means of BuLi in THF, followed by oxidation of the intermediate alcohol with SO3/pyridine provides the unsaturated ketone (XVII).

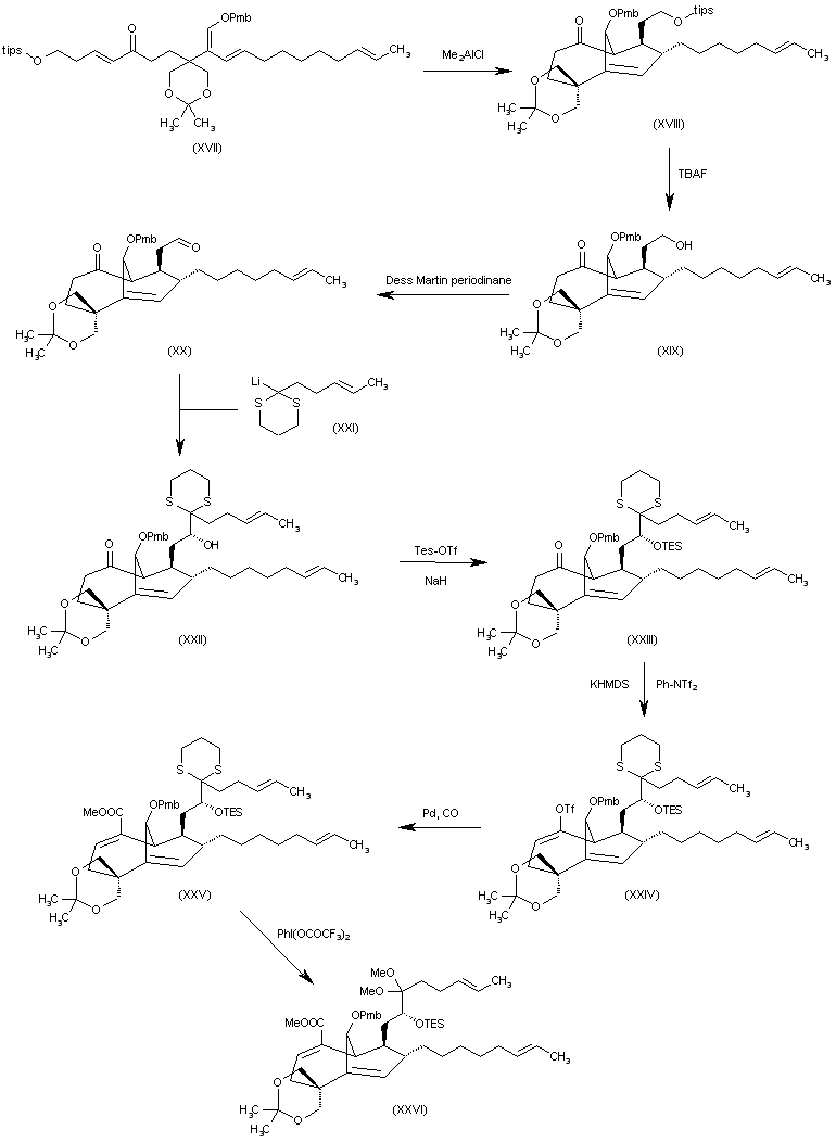
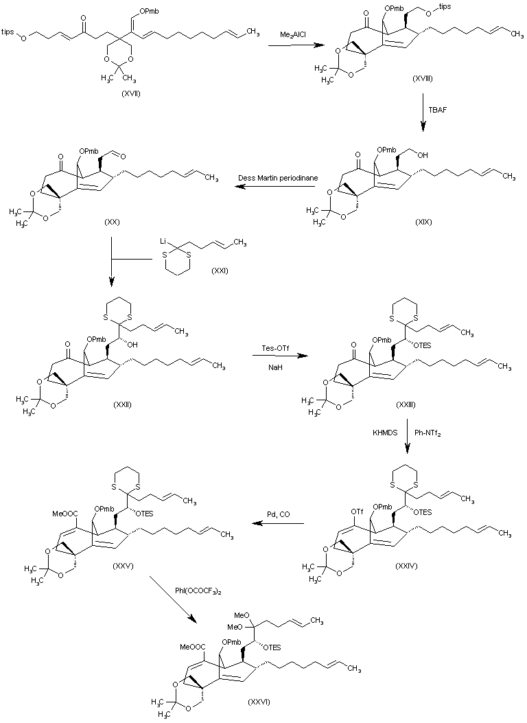
合成路线图解说明:

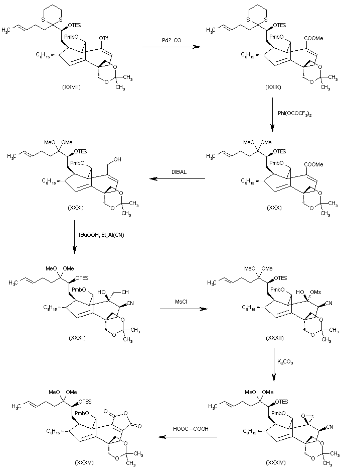
The cyclization of (XVII) by means of Me2AlCl in dichloromethane gives the tricyclic ketone (XVIII), which is desilylated with TBAF in THF yielding the ethanol (XIX). The oxidation of (XIX) with Dess Martin periodinane (DMP) in dichloromethane affords the corresponding aldehyde (XX), which is condensed with the lithium 1,3-dithiane (XXI) in THF to give the secondary alcohol (XXII). The silylation of this alcohol with Tes-OTf and NaH in THF yields the silyl ether (XXIII), which is treated with Ph-NTf2 and KHMDS in THF to afford the enol ether (XXIV). The reaction of (XXIV) with Pdo and CO in methanol gives the methyl ester (XXV), which is treated with PhI(OCOCF3)2 and methanol to afford the gem-dimethoxy compound (XXVI).

合成路线图解说明:

The reduction of the ester group of (XXVI) with DIBAL in toluene gives the carbinol (XXVII), which is treated with tert-butyl hydroperoxide and Et2Al-CN in toluene to yield the dihydroxy-carbonitrile (XXVIII). The sulfonation of the primary OH group of (XXVIII) with Ms-Cl affords the mesylate (XXIX), which is treated with K2CO3 in methanol providing the intermediate epoxide (XXX). The reaction of (XXX) with oxalic acid in ethanol/water affords the maleic anhydride derivative (XXXI), which by a selective hydrolysis with aqueous AcOH gives the alpha hydroxy ketone (XXXII). The silylation of the OH group of (XXXII) with TBDMS-OTf and lutidine in dichloromethane yields the silyl ether (XXXIII).

合成路线图解说明:

The intermediate aldehyde (XV) has been obtained as follows: The reaction of dimethyl malonate (I) with 3-(tert-butyldimethylsilyloxy)propyl iodide (II) by means of NaH in THF gives the alkylmalonate (III), which by a new alkylation with allyl bromide (IV) and NaH in DME affords the dialkylmalonate (V). The reduction of (V) with LiBH4 in THF yields the 1,3-propanediol (VI), which is cyclized with 2,2-dimethoxypropane and CSA in dichloromethane giving the 1,3-dioxane (VII). The ozonolysis of the double bond of (VII) with O3 in dichloromethane yields the aldehyde (VIII), which is protected by heating with cyclohexylamine (IX) to afford the imine (X). The condensation of (X) with 8(E)-decenal (XI) by means of LDA in ethyl ether gives the unsaturated aldehyde (XII), which is treated with PmbCl and KH in DME/HMPA to yield the enol ether (XIII). The desilylation of (XIII) with TBAF in THF gives the propanol derivative (XIV), which is oxidized with SO3.Pyr to the corresponding aldehyde (XV).

合成路线图解说明:

The condensation of (S)-glycidol (XVI) with trimethylsilylacetylene (XVII) by means of tert-butyllithium in THF, followed by quenching with TBDMS triflate gives the protected acetylenic diol (XVIII), which is iodinated with K2CO3, Cp2ZnCl and I2 yielding the vinyl iodide (XIX). The condensation of (XIX) with the intermediate aldehyde (XV) in THF, followed by oxidation with DMP affords the chiral ketone (XX), which is submitted to a diastereoselective cyclization catalyzed by dichloroaluminum phenoxide (XXI) in toluene to furnish the polycyclic ketone (XXII) as a 5.7:1 diastereomeric mixture. The desilylation of this mixture with TBAF in THF allowed the separation of the mayor diastereomeric diol (XXIII) by flash chromatography. The oxidation of (XXIII) with NaIO4 affords the corresponding aldehyde (XXIV), which is condensed with the lithium 1,3-dithiane (XXV) in THF to give the secondary alcohol (XXVI). The silylation of this alcohol with TES-OTf and NaH in THF yields the silyl ether (XXVII), which is treated with Ph-NTf2 and KHMDS in THF to afford the enol ether (XXVIII).

合成路线图解说明:

The reaction of (XXVIII) with Pd and CO in MeOH gives the methyl ester (XXIX), which is treated with PhI(OCOCF3)2 and MeOH to afford the gem-dimethoxy compound (XXX). The reduction of the ester group of (XXX) with DIBAL in toluene gives the carbinol (XXXI), which is treated with tert-butyl hydroperoxide and Et2Al-CN in toluene to yield the dihydroxycarbonitrile (XXXII). The sulfonation of the primary OH group of (XXXII) with MsCl affords the mesylate (XXXIII), which is treated with K2CO3 in MeOH providing the intermediate epoxide (XXXIV). The reaction of (XXXIV) with oxalic acid in EtOH/H2O affords the maleic anhydride derivative (XXXV).

合成路线图解说明:

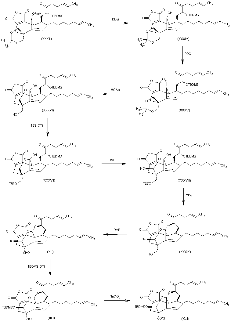
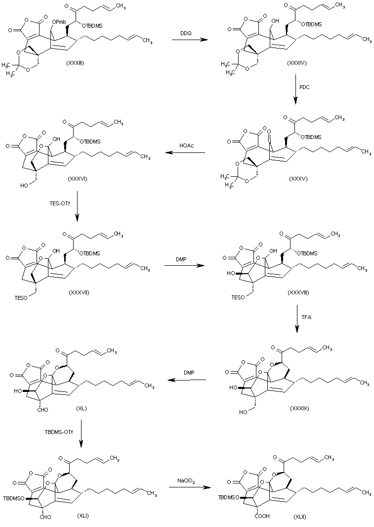
The selective hydrolysis of (XXXV) with aqueous AcOH gives the alpha hydroxy ketone (XXXVI), which is silylated at the OH group with TBDMS-OTf and lutidine in dichloromethane yielding the silyl ether (XXXVII). The cleavage of the 4-methoxybenzyl group of (XXXVII) with DDQ in CH2Cl2/H2O gives the secondary alcohol (XXXVIII), which is oxidized with pyridinium dichromate (PDC) in dichloromethane yielding the corresponding ketone (XXXIX). The cyclization of (XXXIX) with AcOH affords the tetracyclic compound (XL), which is silylated at the carbinol group with TES-OTf and lutidine giving the silyl ether (XLI). The oxidation of (XLI) with DMP in refluxing benzene affords the carbinol (XLII), which is selectively desilylated and cyclized with TFA in CH2Cl2/H2O giving the pentacyclic compound (XLIII). The oxidation of the hydroxymethyl group of (XLIII) with DMP in CH2Cl2 yields corresponding aldehyde (XLIV).

合成路线图解说明:

The reaction of dimethyl malonate (I) with 3-(tert-butyldimethylsilyloxy)propyl iodide (II) by means of NaH in THF gives the alkylmalonate (III), which by a new alkylation with allyl bromide (IV) and NaH in DME affords the dialkylmalonate (V). The reduction of (V) with LiBH4 in THF yields the 1,3-propanediol (VI), which is cyclized with 2,2-dimethoxypropane and CSA in dichloromethane giving the 1,3-dioxane (VII). The ozonolysis of the double bond of (VII) with O3 in dichloromethane yields the aldehyde (VIII), which is protected by heating with cyclohexylamine (IX) to afford the imine (X).The condensation of (X) with 8(E)-decenal (XI) by means of LDA in ethyl ether gives the unsaturated aldehyde (XII), which is treated with Pmb-Cl and KH in DME/HMPA to yield the enol ether (XIII). The desilylation of (XIII) with TBAF in THF gives the propanol derivative (XIV), which is oxidized with SO3/pyridine to the corresponding aldehyde (XV). The condensation of (XV) with 4-(triisopropylsilyloxy)-1(E)-butenyl iodide (XVI) by means of BuLi in THF, followed by oxidation of the intermediate alcohol with SO3/pyridine provides the unsaturated ketone (XVII).

合成路线图解说明:

The cyclization of (XVII) by means of Me2AlCl in dichloromethane gives the tricyclic ketone (XVIII), which is desilylated with TBAF in THF yielding the ethanol (XIX). The oxidation of (XIX) with Dess Martin periodinane (DMP) in dichloromethane affords the corresponding aldehyde (XX), which is condensed with the lithium 1,3-dithiane (XXI) in THF to give the secondary alcohol (XXII). The silylation of this alcohol with Tes-OTf and NaH in THF yields the silyl ether (XXIII), which is treated with Ph-NTf2 and KHMDS in THF to afford the enol ether (XXIV). The reaction of (XXIV) with Pdo and CO in methanol gives the methyl ester (XXV), which is treated with PhI(OCOCF3)2 and methanol to afford the gem-dimethoxy compound (XXVI).

合成路线图解说明:

The reduction of the ester group of (XXVI) with DIBAL in toluene gives the carbinol (XXVII), which is treated with tert-butyl hydroperoxide and Et2Al-CN in toluene to yield the dihydroxy-carbonitrile (XXVIII). The sulfonation of the primary OH group of (XXVIII) with Ms-Cl affords the mesylate (XXIX), which is treated with K2CO3 in methanol providing the intermediate epoxide (XXX). The reaction of (XXX) with oxalic acid in ethanol/water affords the maleic anhydride derivative (XXXI), which by a selective hydrolysis with aqueous AcOH gives the alpha hydroxy ketone (XXXII). The silylation of the OH group of (XXXII) with Tbdms-OTf and lutidine in dichloromethane yields the silyl ether (XXXIII).

合成路线图解说明:

The intermediate aldehyde (XV) has been obtained as follows: The reaction of dimethyl malonate (I) with 3-(tert-butyldimethylsilyloxy)propyl iodide (II) by means of NaH in THF gives the alkylmalonate (III), which by a new alkylation with allyl bromide (IV) and NaH in DME affords the dialkylmalonate (V). The reduction of (V) with LiBH4 in THF yields the 1,3-propanediol (VI), which is cyclized with 2,2-dimethoxypropane and CSA in dichloromethane giving the 1,3-dioxane (VII). The ozonolysis of the double bond of (VII) with O3 in dichloromethane yields the aldehyde (VIII), which is protected by heating with cyclohexylamine (IX) to afford the imine (X).The condensation of (X) with 8(E)-decenal (XI) by means of LDA in ethyl ether gives the unsaturated aldehyde (XII), which is treated with Pmb-Cl and KH in DME/HMPA to yield the enol ether (XIII). The desilylation of (XIII) with TBAF in THF gives the propanol derivative (XIV), which is oxidized with SO3.Pyr to the corresponding aldehyde (XV).

合成路线图解说明:

The condensation of (S)-glycidol (XVI) with trimethylsilylacetylene (XVII) by means of tert-butyllithium in THF, followed by quenching with TBDMS triflate gives the protected acetylenic diol (XVIII), which is iodinated with K2CO3, Cp2ZnCl and I2 yielding the vinyl iodide (XIX). The condensation of (XIX) with the intermediate aldehyde (XV) in THF, followed by oxidation with DMP affords the chiral ketone (XX), which is submitted to a diastereoselective cyclization catalyzed by dichloroaluminum phenoxide (XXI) in toluene to furnish the polycyclic ketone (XXII) as a 5.7:1 diastereomeric mixture. The desilylation of this mixture with TBAF in THF allowed the separation of the mayor diastereomeric diol (XXIII) by flash chromatography. The oxidation of (XXIII) with NaIO4 affords the corresponding aldehyde (XXIV), which is condensed with the lithium 1,3-dithiane (XXV) in THF to give the secondary alcohol (XXVI). The silylation of this alcohol with TES-OTf and NaH in THF yields the silyl ether (XXVII), which is treated with Ph-NTf2 and KHMDS in THF to afford the enol ether (XXVIII).

合成路线图解说明:

The reaction of (XXVIII) with Pd and CO in MeOH gives the methyl ester (XXIX), which is treated with PhI(OCOCF3)2 and MeOH to afford the gem-dimethoxy compound (XXX). The reduction of the ester group of (XXX) with DIBAL in toluene gives the carbinol (XXXI), which is treated with tert-butyl hydroperoxide and Et2Al(CN) in toluene to yield the dihydroxycarbonitrile (XXXII). The sulfonation of the primary OH group of (XXXII) with MsCl affords mesylate (XXXIII), which is treated with K2CO3 in MeOH providing intermediate epoxide (XXXIV). The reaction of (XXXIV) with oxalic acid affords the maleic anhydride derivative (XXXV).

合成路线图解说明:

The selective hydrolysis of (XXXV) with aqueous AcOH gives the alpha hydroxy ketone (XXXVI), which is silylated at the OH group with TBDMS-OTf and lutidine in dichloromethane yielding the silyl ether (XXXVII). The cleavage of the 4-methoxybenzyl group of (XXXVII) with DDQ in dichloromethane/water gives the secondary alcohol (XXXVIII), which is oxidized with pyridinium dichromate (PDC) in dichloromethane yielding the corresponding ketone (XXXIX). The cyclization of (XXXIX) with AcOH affords the tetracyclic compound (XL), which is silylated at the carbinol group with TES-OTf and lutidine giving the silyl ether (XLI). The oxidation of (XLI) with DMP in refluxing benzene affords the carbinol (XLII), which is selectively desilylated and cyclized with TFA in dichloromethane/water giving the pentacyclic compound (XLIII). The oxidation of the hydroxymethyl group of (XLIII) with DMP in dichloromethane yields corresponding aldehyde (XLIV).

参考文献No.573044
标题:Total synthesis of the CP molecules CP-225,917 and CP-263,114 - Part 2: Evolution of the final strategy
作者:Nicolaou, K.C.; et al.
来源:Angew Chem. Int Ed Engl 1999,38(11),1677
合成路线图解说明:

The cleavage of the 4-methoxybenzyl group of (XXXIII) with DDQ in dichloromethane/water gives the secondary alcohol (XXXIV), which is oxidized with pyridinium dichromate (PDC) in dichloromethane yielding the corresponding ketone (XXXV). The cyclization of (XXXV) with AcOH affords the tetracyclic compound (XXXVI), which is silylated at the carbinol group with Tes-OTf and lutidine giving the silyl ether (XXXVII). The oxidation of (XXXVII) with DMP in refluxing benzene affords the carbinol (XXXVIII), which is selectively desilylated and cyclized with TFA in dichloromethane/water giving the pentacyclic compound (XXXIX). The oxidation of the hydroxymethyl group of (XXXIX) with DMP in dichloromethane yields corresponding aldehyde (XL), which is silylated at the remaining OH group with Tbdms-OTf and lutidine in dichloromethane to afford the silyl ether (XLI). The oxidation of the aldehyde group of (XLI) with NaClO2 in tert-butanol/water gives the carboxylic acid (XLII).

合成路线图解说明:

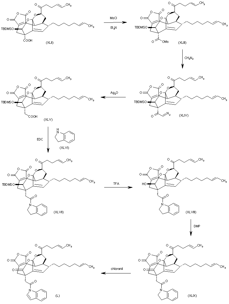
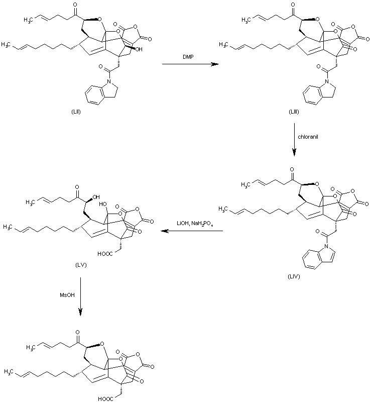
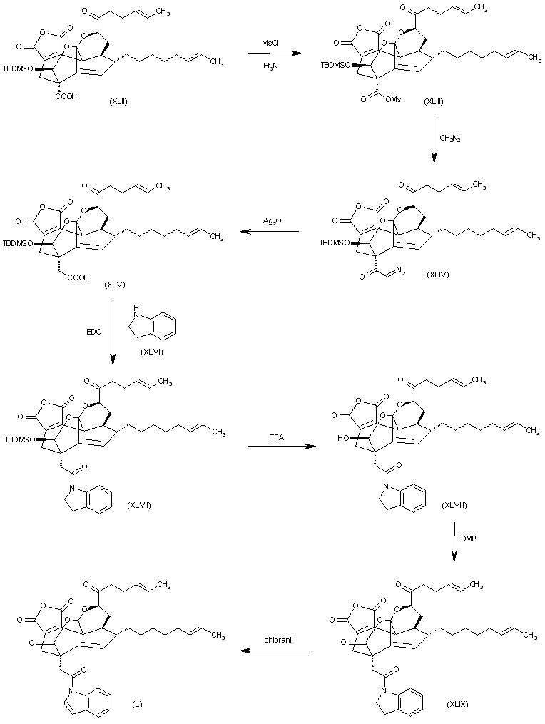
The reaction of (XLII) with methanesulfonyl chloride and Et3N in THF gives the mixed anhydride (XLIII), which is treated with diazomethane in ethyl ether/THF to yield the diazoketone (XLIV). The rearrangement of (XLIV) with Ag2O in DMF/water affords the acetic acid derivative (XLV), which is condensed with indoline (XLVI) by means of EDC and DMAP in dichloromethane to provide the acyl indoline (XLVII). The desilylation of (XLVII) with TFA/water in dichloromethane gives the secondary alcohol (XLVIII), which is oxidized with DMP in dichloromethane to yield the corresponding ketonic compound (XLIX). The dehydrogenation of the indoline group of (XLIX) with chloranil in refluxing toluene affords the corresponding indole derivative (L).

合成路线图解说明:

Finally, compound (L) is treated with LiOH and NaH2PO4 in THF/water to provide the target compound.

合成路线图解说明:

The selective hydrolysis of (XXXV) with aqueous AcOH gives the alpha hydroxy ketone (XXXVI), which is silylated at the OH group with TBDMS-OTf and lutidine in dichloromethane yielding the silyl ether (XXXVII). The cleavage of the 4-methoxybenzyl group of (XXXVII) with DDQ in CH2Cl2/H2O gives the secondary alcohol (XXXVIII), which is oxidized with pyridinium dichromate (PDC) in dichloromethane yielding the corresponding ketone (XXXIX). The cyclization of (XXXIX) with AcOH affords the tetracyclic compound (XL), which is silylated at the carbinol group with TES-OTf and lutidine giving the silyl ether (XLI). The oxidation of (XLI) with DMP in refluxing benzene affords the carbinol (XLII), which is selectively desilylated and cyclized with TFA in CH2Cl2/H2O giving the pentacyclic compound (XLIII). The oxidation of the hydroxymethyl group of (XLIII) with DMP in CH2Cl2 yields corresponding aldehyde (XLIV).

合成路线图解说明:

The silylation at the remaining OH group of (XLIV) with TBDMS-OTf and lutidine in dichloromethane affords the silyl ether (XLV), which is oxidized at the aldehyde group with NaClO2 in tert-butanol/water giving the carboxylic acid (XLVI). The reaction of (XLVI) with methanesulfonyl chloride and Et3N in THF gives the mixed anhydride (XLVII), which is treated with diazomethane in ethyl ether/THF to yield the diazoketone (XLVIII). The rearrangement of (XLVIII) with Ag2O in DMF/water affords the acetic acid derivative (XLIX), which is condensed with indoline (L) by means of EDC and DMAP in CH2Cl2 to provide the acyl indoline (LI). The desilylation of (LI) with TFA/water in dichloromethane gives the secondary alcohol (LII).

合成路线图解说明:

The oxidation of (LII) with DMP in dichloromethane yields the corresponding ketonic compound (LIII), which is dehydrogenated at the indoline group with chloranil in refluxing toluene affording the corresponding indole derivative (LIV). Finally, compound (LIV) is treated with LiOH and NaH2PO4 in THF/water to provide the target compound.

合成路线图解说明:

The cleavage of the 4-methoxybenzyl group of (XXXIII) with DDQ in dichloromethane/water gives the secondary alcohol (XXXIV), which is oxidized with pyridinium dichromate (PDC) in dichloromethane yielding the corresponding ketone (XXXV). The cyclization of (XXXV) with AcOH affords the tetracyclic compound (XXXVI), which is silylated at the carbinol group with Tes-OTf and lutidine giving the silyl ether (XXXVII). The oxidation of (XXXVII) with DMP in refluxing benzene affords the carbinol (XXXVIII) (1), which is selectively desilylated and cyclized with TFA in dichloromethane/water giving the pentacyclic compound (XXXIX). The oxidation of the hydroxymethyl group of (XXXIX) with DMP in dichloromethane yields corresponding aldehyde (XL), which is silylated at the remaining OH group with Tbdms-OTf and lutidine in dichloromethane to afford the silyl ether (XLI). The oxidation of the aldehyde group of (XLI) with NaClO2 in tert-butanol/water gives the carboxylic acid (XLII).

合成路线图解说明:

The reaction of (XLII) with methanesulfonyl chloride and Et3N in THF gives the mixed anhydride (XLIII), which is treated with diazomethane in ethyl ether/THF to yield the diazoketone (XLIV). The rearrangement of (XLIV) with Ag2O in DMF/water affords the acetic acid derivative (XLV), which is condensed with indoline (XLVI) by means of EDC and DMAP in dichloromethane to provide the acyl indoline (XLVII). The desilylation of (XLVII) with TFA/water in dichloromethane gives the secondary alcohol (XLVIII), which is oxidized with DMP in dichloromethane to yield the corresponding ketonic compound (XLIX). The dehydrogenation of the indoline group of (XLIX) with chloranil in refluxing toluene affords the corresponding indole derivative (L).

合成路线图解说明:

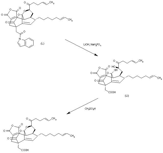
Compound (L) is treated with LiOH and NaH2PO4 in THF/water to provide the dihydroxylated acetic acid derivative (LI), which is finally cyclized to the target compound by means of methanesulfonic acid in chloroform.

合成路线图解说明:

The selective hydrolysis of (XXXV) with aqueous AcOH gives the alpha hydroxy ketone (XXXVI), which is silylated at the OH group with TBDMS-OTf and lutidine in dichloromethane yielding the silyl ether (XXXVII). The cleavage of the 4-methoxybenzyl group of (XXXVII) with DDQ in dichloromethane/water gives the secondary alcohol (XXXVIII), which is oxidized with pyridinium dichromate (PDC) in dichloromethane yielding the corresponding ketone (XXXIX). The cyclization of (XXXIX) with AcOH affords the tetracyclic compound (XL), which is silylated at the carbinol group with TES-OTf and lutidine giving the silyl ether (XLI). The oxidation of (XLI) with DMP in refluxing benzene affords the carbinol (XLII), which is selectively desilylated and cyclized with TFA in dichloromethane/water giving the pentacyclic compound (XLIII). The oxidation of the hydroxymethyl group of (XLIII) with DMP in dichloromethane yields corresponding aldehyde (XLIV).

合成路线图解说明:

The silylation at the remaining OH group of (XLIV) with TBDMS-OTf and lutidine in dichloromethane affords the silyl ether (XLV), which is oxidized at the aldehyde group with NaClO2 in tert-butanol/water giving the carboxylic acid (XLVI). The reaction of (XLVI) with methanesulfonyl chloride and Et3N in THF gives the mixed anhydride (XLVII), which is treated with diazomethane in ethyl ether/THF to yield the diazoketone (XLVIII). The rearrangement of (XLVIII) with Ag2O in DMF/water affords the acetic acid derivative (XLIX), which is condensed with indoline (L) by means of EDC and DMAP in dichloromethane to provide the acyl indoline (LI). The desilylation of (LI) with TFA/water in dichloromethane gives the secondary alcohol (LII).

合成路线图解说明:

The oxidation of (LII) with DMP in dichloromethane yields the corresponding ketonic compound (LIII), which is dehydrogenated at the indoline group with chloranil in refluxing toluene affording the corresponding indole derivative (LIV). Compound (LIV) is treated with LiOH and NaH2PO4 in THF/water to provide the dihydroxylated acetic acid derivative (LV), which is finally cyclized to the target compound by means of methanesulfonic acid in chloroform.

参考文献No.582945
标题:The absolute configuration and asymmetric total synthesis of the CP molecules (CP-263,114 and CP-225,917, Phomoidrides B and A)
作者:Nicolaou, K.C.; et al.
来源:Angew Chem. Int Ed Engl 2000,39(10),1829
合成路线图解说明:

The condensation of (S)-glycidol (XVI) with trimethylsilylacetylene (XVII) by means of tert-butyllithium in THF, followed by quenching with TBDMS triflate gives the protected acetylenic diol (XVIII), which is iodinated with K2CO3, Cp2ZnCl and I2 yielding the vinyl iodide (XIX). The condensation of (XIX) with the intermediate aldehyde (XV) in THF, followed by oxidation with DMP affords the chiral ketone (XX), which is submitted to a diastereoselective cyclization catalyzed by dichloroaluminum phenoxide (XXI) in toluene to furnish the polycyclic ketone (XXII) as a 5.7:1 diastereomeric mixture. The desilylation of this mixture with TBAF in THF allowed the separation of the mayor diastereomeric diol (XXIII) by flash chromatography. The oxidation of (XXIII) with NaIO4 affords the corresponding aldehyde (XXIV), which is condensed with the lithium 1,3-dithiane (XXV) in THF to give the secondary alcohol (XXVI). The silylation of this alcohol with TES-OTf and NaH in THF yields the silyl ether (XXVII), which is treated with Ph-NTf2 and KHMDS in THF to afford the enol ether (XXVIII).

合成路线图解说明:

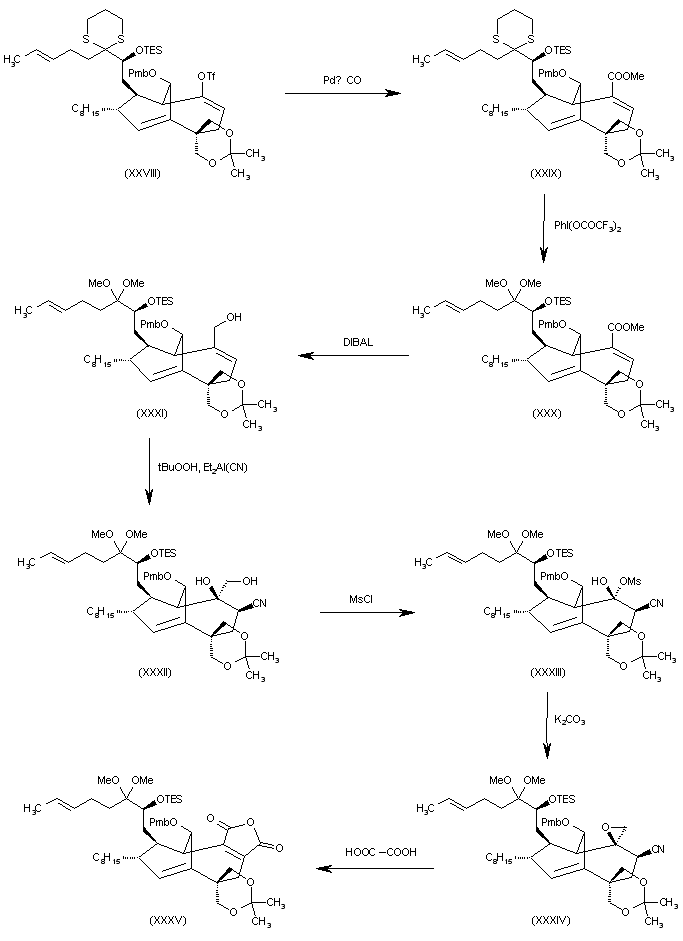
The reaction of (XXVIII) with Pd and CO in MeOH gives the methyl ester (XXIX), which is treated with PhI(OCOCF3)2 and MeOH to afford the gem-dimethoxy compound (XXX). The reduction of the ester group of (XXX) with DIBAL in toluene gives the carbinol (XXXI), which is treated with tert-butyl hydroperoxide and Et2Al-CN in toluene to yield the dihydroxycarbonitrile (XXXII). The sulfonation of the primary OH group of (XXXII) with MsCl affords the mesylate (XXXIII), which is treated with K2CO3 in MeOH providing the intermediate epoxide (XXXIV). The reaction of (XXXIV) with oxalic acid in EtOH/H2O affords the maleic anhydride derivative (XXXV).

合成路线图解说明:

The selective hydrolysis of (XXXV) with aqueous AcOH gives the alpha hydroxy ketone (XXXVI), which is silylated at the OH group with TBDMS-OTf and lutidine in dichloromethane yielding the silyl ether (XXXVII). The cleavage of the 4-methoxybenzyl group of (XXXVII) with DDQ in CH2Cl2/H2O gives the secondary alcohol (XXXVIII), which is oxidized with pyridinium dichromate (PDC) in dichloromethane yielding the corresponding ketone (XXXIX). The cyclization of (XXXIX) with AcOH affords the tetracyclic compound (XL), which is silylated at the carbinol group with TES-OTf and lutidine giving the silyl ether (XLI). The oxidation of (XLI) with DMP in refluxing benzene affords the carbinol (XLII), which is selectively desilylated and cyclized with TFA in CH2Cl2/H2O giving the pentacyclic compound (XLIII). The oxidation of the hydroxymethyl group of (XLIII) with DMP in CH2Cl2 yields corresponding aldehyde (XLIV).

合成路线图解说明:

The silylation at the remaining OH group of (XLIV) with TBDMS-OTf and lutidine in dichloromethane affords the silyl ether (XLV), which is oxidized at the aldehyde group with NaClO2 in tert-butanol/water giving the carboxylic acid (XLVI). The reaction of (XLVI) with methanesulfonyl chloride and Et3N in THF gives the mixed anhydride (XLVII), which is treated with diazomethane in ethyl ether/THF to yield the diazoketone (XLVIII). The rearrangement of (XLVIII) with Ag2O in DMF/water affords the acetic acid derivative (XLIX), which is condensed with indoline (L) by means of EDC and DMAP in CH2Cl2 to provide the acyl indoline (LI). The desilylation of (LI) with TFA/water in dichloromethane gives the secondary alcohol (LII).

合成路线图解说明:

The oxidation of (LII) with DMP in dichloromethane yields the corresponding ketonic compound (LIII), which is dehydrogenated at the indoline group with chloranil in refluxing toluene affording the corresponding indole derivative (LIV). Finally, compound (LIV) is treated with LiOH and NaH2PO4 in THF/water to provide the target compound.

合成路线图解说明:

The condensation of (S)-glycidol (XVI) with trimethylsilylacetylene (XVII) by means of tert-butyllithium in THF, followed by quenching with TBDMS triflate gives the protected acetylenic diol (XVIII), which is iodinated with K2CO3, Cp2ZnCl and I2 yielding the vinyl iodide (XIX). The condensation of (XIX) with the intermediate aldehyde (XV) in THF, followed by oxidation with DMP affords the chiral ketone (XX), which is submitted to a diastereoselective cyclization catalyzed by dichloroaluminum phenoxide (XXI) in toluene to furnish the polycyclic ketone (XXII) as a 5.7:1 diastereomeric mixture. The desilylation of this mixture with TBAF in THF allowed the separation of the mayor diastereomeric diol (XXIII) by flash chromatography. The oxidation of (XXIII) with NaIO4 affords the corresponding aldehyde (XXIV), which is condensed with the lithium 1,3-dithiane (XXV) in THF to give the secondary alcohol (XXVI). The silylation of this alcohol with TES-OTf and NaH in THF yields the silyl ether (XXVII), which is treated with Ph-NTf2 and KHMDS in THF to afford the enol ether (XXVIII).

合成路线图解说明:

The reaction of (XXVIII) with Pd and CO in MeOH gives the methyl ester (XXIX), which is treated with PhI(OCOCF3)2 and MeOH to afford the gem-dimethoxy compound (XXX). The reduction of the ester group of (XXX) with DIBAL in toluene gives the carbinol (XXXI), which is treated with tert-butyl hydroperoxide and Et2Al(CN) in toluene to yield the dihydroxycarbonitrile (XXXII). The sulfonation of the primary OH group of (XXXII) with MsCl affords mesylate (XXXIII), which is treated with K2CO3 in MeOH providing intermediate epoxide (XXXIV). The reaction of (XXXIV) with oxalic acid affords the maleic anhydride derivative (XXXV).

合成路线图解说明:

The selective hydrolysis of (XXXV) with aqueous AcOH gives the alpha hydroxy ketone (XXXVI), which is silylated at the OH group with TBDMS-OTf and lutidine in dichloromethane yielding the silyl ether (XXXVII). The cleavage of the 4-methoxybenzyl group of (XXXVII) with DDQ in dichloromethane/water gives the secondary alcohol (XXXVIII), which is oxidized with pyridinium dichromate (PDC) in dichloromethane yielding the corresponding ketone (XXXIX). The cyclization of (XXXIX) with AcOH affords the tetracyclic compound (XL), which is silylated at the carbinol group with TES-OTf and lutidine giving the silyl ether (XLI). The oxidation of (XLI) with DMP in refluxing benzene affords the carbinol (XLII), which is selectively desilylated and cyclized with TFA in dichloromethane/water giving the pentacyclic compound (XLIII). The oxidation of the hydroxymethyl group of (XLIII) with DMP in dichloromethane yields corresponding aldehyde (XLIV).

合成路线图解说明:

The silylation at the remaining OH group of (XLIV) with TBDMS-OTf and lutidine in dichloromethane affords the silyl ether (XLV), which is oxidized at the aldehyde group with NaClO2 in tert-butanol/water giving the carboxylic acid (XLVI). The reaction of (XLVI) with methanesulfonyl chloride and Et3N in THF gives the mixed anhydride (XLVII), which is treated with diazomethane in ethyl ether/THF to yield the diazoketone (XLVIII). The rearrangement of (XLVIII) with Ag2O in DMF/water affords the acetic acid derivative (XLIX), which is condensed with indoline (L) by means of EDC and DMAP in dichloromethane to provide the acyl indoline (LI). The desilylation of (LI) with TFA/water in dichloromethane gives the secondary alcohol (LII).

合成路线图解说明:

The oxidation of (LII) with DMP in dichloromethane yields the corresponding ketonic compound (LIII), which is dehydrogenated at the indoline group with chloranil in refluxing toluene affording the corresponding indole derivative (LIV). Compound (LIV) is treated with LiOH and NaH2PO4 in THF/water to provide the dihydroxylated acetic acid derivative (LV), which is finally cyclized to the target compound by means of methanesulfonic acid in chloroform.

Drug Information Express,Drug R&D,Chemical Database,Patent Search.
Copyright © 2006-2026 Drug Future. All rights reserved.Contact Us