【药物名称】Atrasentan, A-147627, (+)-A-127722, ABT-627, Xinlay
化学结构式(Chemical Structure):
参考文献No.34074
标题:Novel benzo-1,3-dioxolyl- and benzofuranyl substd. pyrrolidine derivs. as endothelin antagonists
作者:Winn, M.; Boyd, S.A.; Hutchins, C.W.; Tasker, A.S.; Von Geldern, T.W.; Kester, J.A.; Sorensen, B.K.; Szczepankiewicz, B.G.; Henry, K.J. Jr.; Liu, G.; Wittenberger, S.J.; King, S.A. (Abbott Laboratories Inc.)
来源:EP 0885215; WO 9730045
合成路线图解说明:

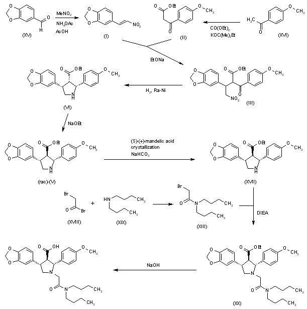
Condensation of 1,3-benzodioxole-5-carbaldehyde (XV) with nitromethane by means of ammonium acetate in HOAc gives the nitrostyrene (I), which is condensed with ethyl 2-(4-methoxybenzoyl)acetate (II) [obtained by reaction of acetophenone (XVI), diethyl carbonate and potassium tert-amyloxide] by means of NaOEt in THF to yield the 4-nitrobutyrate (III). Reductive cyclization of (III) with H2 over Raney-Ni in THF affords the (cis, cis)-pyrrolidine (VI), which is isomerized to the (trans,trans)-isomer (V) by means of NaOEt in refluxing ethanol. This racemic ester (V) is submitted to optical resolution with (S)-(+)-mandelic acid to provide the pure chiral ester (XVII). This compound is condensed with 2-bromo-N,N-dibutylacetamide (XIII) [obtained by reaction of 2-bromoacetyl bromide (XVIII) with dibutylamine (XIX) in toluene] by means of DIEA in acetonitrile to give the ethyl ester (XX), which is finally hydrolyzed with NaOH in hot ethanol.

合成路线图解说明:

Condensation of ketoester (I) with nitrovinyl benzodioxole (II) in the presence of 1,8-diazabicyclo[5.4.0]undec-7-ene gave adduct (III). Hydrogenation of the nitro group of (III) over Raney Nickel with concomitant cyclization yielded dihydropyrrole (IV). Further reduction of (IV) with sodium cyanoborohydride provided a mixture of diastereomeric pyrrolidines. Chromatographic separation removed the cis,cis isomer, affording a mixture of trans,trans and cis,trans products (V). N-Alkylation of the pyrrolidine (V) with N,N-dibutyl bromoacetamide (VI) furnished (VIIa-b). Finally, selective hydrolysis of the ester group from the trans,trans isomer produced a mixture of cis,trans ester (VIII) and the target trans,trans acid, which were readily separated by fractional extraction.

合成路线图解说明:

Condensation of piperonal (I) with nitromethane in the presence of NaOH provided nitrostyrene (II). Subsequent conjugate addition of (II) to ketoester (III) using DBU provided adduct (IV). Reduction of the nitro group of (IV), with concomitant ring closure and olefinic double bond hydrogenation formed the cyclic imine (V), which was reduced with NaBH3CN to yield the pyrrolidine (VI) as a diastereomeric mixture. The crude mixture was isomerized to a mixture of only cis,trans and trans,trans pyrrolidines (VII) by base-catalyzed equilibration with NaOEt. N-Alkylation of the pyrrolidines (VII) with N,N-dibutyl bromoacetamide (VIII) furnished (IX). Basic hydrolysis of the ester group of (IX) with either NaOH or LiOH gave rise to the target trans,trans pyrrolidine-3-carboxylic acid. The undesired cis,trans isomeric ester (X) was not hydrolyzed under these conditions, allowing its removal from the product by means of differential extraction.

合成路线图解说明:

Condensation of piperonal (I) with nitromethane in the presence of NaOH provided nitrostyrene (II) (1-3). Ketoester (IV) was prepared by treatment of n-heptanoic acid (III) with 1,1'-carbonyldiimidazole and further condensation with ethyl magnesium malonate (1). Subsequent conjugate addition of (II) to ketoester (IV) using DBU provided adduct (V). Reduction of the nitro group of (V), with concomitant ring closure formed the cyclic imine (VI), which was reduced with NaBH3CN to yield the pyrrolidine (VII) as a diastereomeric mixture. The crude mixture was isomerized to a mixture of only cis,trans and trans,trans pyrrolidines (VIII) by base-catalyzed equilibration with NaOEt. N-Alkylation of the pyrrolidines (VIII) with N,N-dibutyl bromoacetamide (IX) furnished (X). Basic hydrolysis of the ester group of (X) with either NaOH or LiOH gave rise to the target trans,trans pyrrolidine-3-carboxylic acid. The undesired cis,trans isomeric ester (XI) was not hydrolyzed under these conditions, allowing its removal from the product by means of differential extraction.

合成路线图解说明:

Condensation of piperonal (I) with nitromethane in the presence of NaOH provided nitrostyrene (II). Subsequent conjugate addition of (II) to ketoester (III) using DBU provided adduct (IV). Reduction of the nitro group of (IV), with concomitant ring closure formed the cyclic imine (V), which was reduced with NaBH3CN to yield the pyrrolidine (VI) as a diastereomeric mixture. The crude mixture was isomerized to a mixture of only cis,trans and trans,trans pyrrolidines (VII) by base-catalyzed equilibration with NaOEt. N-Alkylation of the pyrrolidines (VII) with N,N-dibutyl bromoacetamide (VIII) furnished (IX). Basic hydrolysis of the ester group of (IX) with either NaOH or LiOH gave rise to the target trans,trans pyrrolidine-3-carboxylic acid. The undesired cis,trans isomeric ester (X) was not hydrolyzed under these conditions, allowing its removal from the product by means of differential extraction.

参考文献No.40240
标题:Endothelin antagonists
作者:Jae, H.-S.; Hutchins, C.W.; Szczepankiewicz, B.G.; King, S.A.; Winn, M.; Boyd, S.A.; Henry, K.J.; Geldern, T.W.; Wittenberger, S.J.; Tasker, A.S.; Sorensen, B.K.; Kester, J.A. (Abbott Laboratories Inc.)
来源:WO 9906397
合成路线图解说明:

Condensation of 1,3-benzodioxole-5-carbaldehyde (XV) with nitromethane by means of ammonium acetate in HOAc gives the nitrostyrene (I), which is condensed with ethyl 2-(4-methoxybenzoyl)acetate (II) [obtained by reaction of acetophenone (XVI), diethyl carbonate and potassium tert-amyloxide] by means of NaOEt in THF to yield the 4-nitrobutyrate (III). Reductive cyclization of (III) with H2 over Raney-Ni in THF affords the (cis, cis)-pyrrolidine (VI), which is isomerized to the (trans,trans)-isomer (V) by means of NaOEt in refluxing ethanol. This racemic ester (V) is submitted to optical resolution with (S)-(+)-mandelic acid to provide the pure chiral ester (XVII). This compound is condensed with 2-bromo-N,N-dibutylacetamide (XIII) [obtained by reaction of 2-bromoacetyl bromide (XVIII) with dibutylamine (XIX) in toluene] by means of DIEA in acetonitrile to give the ethyl ester (XX), which is finally hydrolyzed with NaOH in hot ethanol.

合成路线图解说明:

Condensation of piperonal (I) with nitromethane in the presence of NaOH provided nitrostyrene (II). Subsequent conjugate addition of (II) to ketoester (III) using DBU provided adduct (IV). Reduction of the nitro group of (IV), with concomitant ring closure and olefinic double bond hydrogenation formed the cyclic imine (V), which was reduced with NaBH3CN to yield the pyrrolidine (VI) as a diastereomeric mixture. The crude mixture was isomerized to a mixture of only cis,trans and trans,trans pyrrolidines (VII) by base-catalyzed equilibration with NaOEt. N-Alkylation of the pyrrolidines (VII) with N,N-dibutyl bromoacetamide (VIII) furnished (IX). Basic hydrolysis of the ester group of (IX) with either NaOH or LiOH gave rise to the target trans,trans pyrrolidine-3-carboxylic acid. The undesired cis,trans isomeric ester (X) was not hydrolyzed under these conditions, allowing its removal from the product by means of differential extraction.

合成路线图解说明:

Condensation of piperonal (I) with nitromethane in the presence of NaOH provided nitrostyrene (II) (1-3). Ketoester (IV) was prepared by treatment of n-heptanoic acid (III) with 1,1'-carbonyldiimidazole and further condensation with ethyl magnesium malonate (1). Subsequent conjugate addition of (II) to ketoester (IV) using DBU provided adduct (V). Reduction of the nitro group of (V), with concomitant ring closure formed the cyclic imine (VI), which was reduced with NaBH3CN to yield the pyrrolidine (VII) as a diastereomeric mixture. The crude mixture was isomerized to a mixture of only cis,trans and trans,trans pyrrolidines (VIII) by base-catalyzed equilibration with NaOEt. N-Alkylation of the pyrrolidines (VIII) with N,N-dibutyl bromoacetamide (IX) furnished (X). Basic hydrolysis of the ester group of (X) with either NaOH or LiOH gave rise to the target trans,trans pyrrolidine-3-carboxylic acid. The undesired cis,trans isomeric ester (XI) was not hydrolyzed under these conditions, allowing its removal from the product by means of differential extraction.

合成路线图解说明:

Condensation of piperonal (I) with nitromethane in the presence of NaOH provided nitrostyrene (II). Subsequent conjugate addition of (II) to ketoester (III) using DBU provided adduct (IV). Reduction of the nitro group of (IV), with concomitant ring closure formed the cyclic imine (V), which was reduced with NaBH3CN to yield the pyrrolidine (VI) as a diastereomeric mixture. The crude mixture was isomerized to a mixture of only cis,trans and trans,trans pyrrolidines (VII) by base-catalyzed equilibration with NaOEt. N-Alkylation of the pyrrolidines (VII) with N,N-dibutyl bromoacetamide (VIII) furnished (IX). Basic hydrolysis of the ester group of (IX) with either NaOH or LiOH gave rise to the target trans,trans pyrrolidine-3-carboxylic acid. The undesired cis,trans isomeric ester (X) was not hydrolyzed under these conditions, allowing its removal from the product by means of differential extraction.

参考文献No.355265
标题:2,4-Diarylpyrrolidine-3-carboxylic acids-potent ETA selective endothelin receptor antagonists. 1. Discovery of A-127722
作者:Winn, M.; von Geldern, T.W.; Opgenorth, T.J.; Jae, H.S.; Tasker, A.S.; Boyd, S.A.; Kester, J.A.; Mantei, R.A.; Bal, R.; Sorensen, B.K.; Wu-Wong, J.R.; Chiou, W.J.; Dixon, D.B.; Novosad, E.I.; Hernandez, L.; Marsh, K.C.
来源:J Med Chem 1996,39(5),1039
合成路线图解说明:

The Michael reaction between 3,4-(methylenedioxy)-beta-nitrostyrene (I) and ethyl (4-methoxybenzoyl)acetate (II) in the presence of DBU gave adduct (III) as a mixture of isomers. Hydrogenation of this nitro ketone over Raney-Ni afforded, after spontaneous cyclization of the resulting amino ketone, the pyrroline (IV). Further reduction of the imine with NaBH3CN yielded a mixture of three pyrrolidine isomers. The desired trans-trans isomer (VI) could not be separated from the cis-trans isomer by column chromatography. However, the pure cis-cis compound (V) was isomerized to (VI) with NaOEt in refluxing EtOH. The protection of the amine as the tert-butyl carbamate with Boc2O, and saponification of the ester function provided the racemic acid (VII). Resolution of (VII) was achieved by conversion to the mixed anhydride (VIII) with pivaloyl chloride, followed by condensation with the lithium salt of (S)-4-benzyl-2-oxazolidinone (IX), and chromatographic separation of the resulting diastereomeric imides. Alternatively, racemic (VII) could be resolved by crystallization of its salt with (R)-a-methylbenzylamine. Removal of the Boc group from the appropriate isomer (X) with HCl in dioxan, followed by alkylation with N,N-dibutylbromoacetamide (XI) in the presence of i-Pr2NEt furnished the pyrrolidinylacetamide (XII). Finally, hydrolysis of the imide with lithium hydroperoxide provided the target acid.

合成路线图解说明:

Cyclization of 5-(2-nitrovinyl)-1,3-benzodioxole (I) with ethyl 2-(4-methoxybenzoyl)acetate (II) by means of DBU in THF gives the 4-nitrobutyrate (III), which is reduced with H2 over Ni in ethanol to the corresponding amine, which undergoes immediate cyclization to give the pyrroline carboxylate (IV). Reduction of pyrroline (IV) with NaCNBH3 in THF affords the expected pyrrolidine as a mixture of the (trans,trans)-(V), (cis,cis)-(VI) and (cis,trans)-(VII) isomers. Using chromatography on silica gel, only the (cis,cis)-isomer (VI) is separated and completely isomerized to the (trans,trans)-isomer (V) by treatment with NaOEt in refluxing ethanol. Pure (trans,trans)-isomer (V) or the remaining mixture of (trans,trans)-(V) and (cis,trans)-(VII) is N-protected with Boc2O in dichloromethane to provide a mixture of carbamates. Then hydrolysis of the esters is performed with NaOH in ethanol/water at room temperature, and under these conditions only the (trans,trans)-isomer hydrolyzes, giving the racemic (trans,trans)-acid (VIII). Unreacted (cis,trans)-ester (VII) is easily removed by conventional methods. Condensation of the racemic acid (VIII) with the lithium salt of the chiral oxazolidinone (IX) by means of pivaloyl chloride yields the corresponding amide as a diastereomeric mixture of (X) and (XI) that are separated by chromatography. The desired isomer (XI) is deprotected with HCl in dioxane to afford the chiral pyrrolidine (XII), which is condensed with 2-bromo-N,N-dibutylacetamide (XIII) by means of diisopropylamine in acetonitrile to give the adduct (XIV). Finally, the chiral auxiliary of (XIV) is eliminated by means of LiOOH (LiOH + H2O2) in water.

合成路线图解说明:

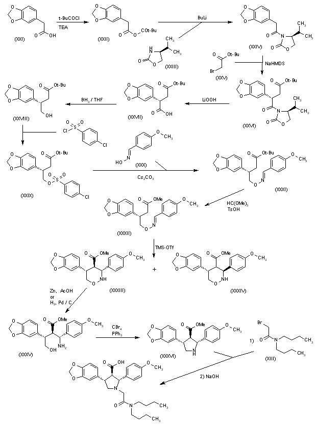
Reaction of 2-(1,3-dioxol-5-yl)acetic acid (XXI) with pivaloyl chloride and TEA gives the corresponding anhydride (XXII), which is condensed with the chiral oxazolidinone (XXIII) by means of n-BuLi in THF to yield the amide (XXIV). Condensation of (XXIV) with 2-bromoacetic acid tert-butyl ester (XXV) by means of NaHMDS in THF affords the adduct (XXVI). Elimination of the chiral auxiliary of (XXVI) by means of LiOOH in THF/water provides the chiral succinic acid hemiester (XXVII) (93% ee), which is selectively reduced with BH3璗HF complex to give the 4-hydroxysuccinate (XXVIII). Reaction of succinate (XXVIII) with 4-chlorophenylsulfonyl chloride, TEA and DMAP in dichloromethane yields the sulfonate (XXIX), which is condensed with 4-methoxybenzaldoxime (XXX) by means of Cs2CO3 in hot acetonitrile to afford the oxime ether (XXXI). Transesterification of the tert-butyl ester of (XXXI) with trimethyl orthoformate and p-toluenesulfonic acid in hot methanol provides the methyl ester (XXXII), which is cyclized by means of trimethylsilyl triflate and tributylamine in dichloroethane to afford a 9:1 diastereomeric mixture of perhydro-1,2-oxazines (XXXIII) and (XXXIV) which is easily separated. The reductive N-O-bond cleavage of the major oxazine diastereomer (XXXIII) by means of Zn/HOAc or H2 over Pd/C gives the trisubstituted 4-aminobutanol (XXXV), which is cyclized by means of CBr4, PPh3 and TEA to yield chiral pyrrolidine (XXXVI) (4). Finally, pyrrolidine (XXXVI) is alkylated with N,N-dibutyl-2-bromoacetamide (XIII) followed by ester hydrolysis as before.

参考文献No.638963
标题:Atrasentan
作者:Leeson, P.; Casta馿r, R.M.; Sorbera, L.A.; Casta馿r, J.
来源:Drugs Fut 2001,26(10),939
合成路线图解说明:

Cyclization of 5-(2-nitrovinyl)-1,3-benzodioxole (I) with ethyl 2-(4-methoxybenzoyl)acetate (II) by means of DBU in THF gives the 4-nitrobutyrate (III), which is reduced with H2 over Ni in ethanol to the corresponding amine, which undergoes immediate cyclization to give the pyrroline carboxylate (IV). Reduction of pyrroline (IV) with NaCNBH3 in THF affords the expected pyrrolidine as a mixture of the (trans,trans)-(V), (cis,cis)-(VI) and (cis,trans)-(VII) isomers. Using chromatography on silica gel, only the (cis,cis)-isomer (VI) is separated and completely isomerized to the (trans,trans)-isomer (V) by treatment with NaOEt in refluxing ethanol. Pure (trans,trans)-isomer (V) or the remaining mixture of (trans,trans)-(V) and (cis,trans)-(VII) is N-protected with Boc2O in dichloromethane to provide a mixture of carbamates. Then hydrolysis of the esters is performed with NaOH in ethanol/water at room temperature, and under these conditions only the (trans,trans)-isomer hydrolyzes, giving the racemic (trans,trans)-acid (VIII). Unreacted (cis,trans)-ester (VII) is easily removed by conventional methods. Condensation of the racemic acid (VIII) with the lithium salt of the chiral oxazolidinone (IX) by means of pivaloyl chloride yields the corresponding amide as a diastereomeric mixture of (X) and (XI) that are separated by chromatography. The desired isomer (XI) is deprotected with HCl in dioxane to afford the chiral pyrrolidine (XII), which is condensed with 2-bromo-N,N-dibutylacetamide (XIII) by means of diisopropylamine in acetonitrile to give the adduct (XIV). Finally, the chiral auxiliary of (XIV) is eliminated by means of LiOOH (LiOH + H2O2) in water.

合成路线图解说明:

Condensation of 1,3-benzodioxole-5-carbaldehyde (XV) with nitromethane by means of ammonium acetate in HOAc gives the nitrostyrene (I), which is condensed with ethyl 2-(4-methoxybenzoyl)acetate (II) [obtained by reaction of acetophenone (XVI), diethyl carbonate and potassium tert-amyloxide] by means of NaOEt in THF to yield the 4-nitrobutyrate (III). Reductive cyclization of (III) with H2 over Raney-Ni in THF affords the (cis, cis)-pyrrolidine (VI), which is isomerized to the (trans,trans)-isomer (V) by means of NaOEt in refluxing ethanol. This racemic ester (V) is submitted to optical resolution with (S)-(+)-mandelic acid to provide the pure chiral ester (XVII). This compound is condensed with 2-bromo-N,N-dibutylacetamide (XIII) [obtained by reaction of 2-bromoacetyl bromide (XVIII) with dibutylamine (XIX) in toluene] by means of DIEA in acetonitrile to give the ethyl ester (XX), which is finally hydrolyzed with NaOH in hot ethanol.

合成路线图解说明:

Reaction of 2-(1,3-dioxol-5-yl)acetic acid (XXI) with pivaloyl chloride and TEA gives the corresponding anhydride (XXII), which is condensed with the chiral oxazolidinone (XXIII) by means of n-BuLi in THF to yield the amide (XXIV). Condensation of (XXIV) with 2-bromoacetic acid tert-butyl ester (XXV) by means of NaHMDS in THF affords the adduct (XXVI). Elimination of the chiral auxiliary of (XXVI) by means of LiOOH in THF/water provides the chiral succinic acid hemiester (XXVII) (93% ee), which is selectively reduced with BH3璗HF complex to give the 4-hydroxysuccinate (XXVIII). Reaction of succinate (XXVIII) with 4-chlorophenylsulfonyl chloride, TEA and DMAP in dichloromethane yields the sulfonate (XXIX), which is condensed with 4-methoxybenzaldoxime (XXX) by means of Cs2CO3 in hot acetonitrile to afford the oxime ether (XXXI). Transesterification of the tert-butyl ester of (XXXI) with trimethyl orthoformate and p-toluenesulfonic acid in hot methanol provides the methyl ester (XXXII), which is cyclized by means of trimethylsilyl triflate and tributylamine in dichloroethane to afford a 9:1 diastereomeric mixture of perhydro-1,2-oxazines (XXXIII) and (XXXIV) which is easily separated. The reductive N-O-bond cleavage of the major oxazine diastereomer (XXXIII) by means of Zn/HOAc or H2 over Pd/C gives the trisubstituted 4-aminobutanol (XXXV), which is cyclized by means of CBr4, PPh3 and TEA to yield chiral pyrrolidine (XXXVI) (4). Finally, pyrrolidine (XXXVI) is alkylated with N,N-dibutyl-2-bromoacetamide (XIII) followed by ester hydrolysis as before.

参考文献No.639066
标题:Preparation of endothelin antagonist ABT-627
作者:McLaughlin, M.A.; Wittenberger, S.J.
来源:Tetrahedron Lett 1999,407175
合成路线图解说明:

Reaction of 2-(1,3-dioxol-5-yl)acetic acid (XXI) with pivaloyl chloride and TEA gives the corresponding anhydride (XXII), which is condensed with the chiral oxazolidinone (XXIII) by means of n-BuLi in THF to yield the amide (XXIV). Condensation of (XXIV) with 2-bromoacetic acid tert-butyl ester (XXV) by means of NaHMDS in THF affords the adduct (XXVI). Elimination of the chiral auxiliary of (XXVI) by means of LiOOH in THF/water provides the chiral succinic acid hemiester (XXVII) (93% ee), which is selectively reduced with BH3璗HF complex to give the 4-hydroxysuccinate (XXVIII). Reaction of succinate (XXVIII) with 4-chlorophenylsulfonyl chloride, TEA and DMAP in dichloromethane yields the sulfonate (XXIX), which is condensed with 4-methoxybenzaldoxime (XXX) by means of Cs2CO3 in hot acetonitrile to afford the oxime ether (XXXI). Transesterification of the tert-butyl ester of (XXXI) with trimethyl orthoformate and p-toluenesulfonic acid in hot methanol provides the methyl ester (XXXII), which is cyclized by means of trimethylsilyl triflate and tributylamine in dichloroethane to afford a 9:1 diastereomeric mixture of perhydro-1,2-oxazines (XXXIII) and (XXXIV) which is easily separated. The reductive N-O-bond cleavage of the major oxazine diastereomer (XXXIII) by means of Zn/HOAc or H2 over Pd/C gives the trisubstituted 4-aminobutanol (XXXV), which is cyclized by means of CBr4, PPh3 and TEA to yield chiral pyrrolidine (XXXVI) (4). Finally, pyrrolidine (XXXVI) is alkylated with N,N-dibutyl-2-bromoacetamide (XIII) followed by ester hydrolysis as before.

Drug Information Express,Drug R&D,Chemical Database,Patent Search.
Copyright © 2006-2026 Drug Future. All rights reserved.Contact Us