【药物名称】Ravuconazole, BMS-207147, ER-30346
化学结构式(Chemical Structure):
参考文献No.27995
标题:Azole antifungal agents, process for the preparation thereof and intermediates
作者:Naito, T.; Hata, K.; Kaku, Y.; Tsuruoka, A.; Tsukada, I.; Yanagisawa, M.; Toyosawa, T.; Nara, K. (Eisai Co., Ltd.)
来源:CA 2141731; EP 0667346; JP 1995223950; JP 1996020578; JP 1996053426; US 5648372; US 5789429; US 5792781
合成路线图解说明:

ER-30346 is synthesized by thiazole ring formation of (2R,3R)-3-(2,4-difluorophenyl)-3-hydroxy-2-methyl-4-(1H-1,2,4-triazol-1-yl)thiobutanamide (I) and 4-bromoacetylbenzonitrile (II) by means of reflux in methanol. The thioamide (I) is obtained with excellent yield from a chiral nitrile (III) by heating with diethyl dithiophosphate in aqueous medium.

合成路线图解说明:

The nitrile (III), a chiral key intermediate of this synthesis, can be obtained by two different synthetic routes as follows: Route-a: The key step of this route is ring opening reaction of the trisubstituted oxirane (VII) by cyanide anion leading to the nitrile (III). The chiral oxirane (VII) is synthesized from (R)-lactic acid derivatives as already reported. The reaction of (VII) with diethylaluminum cyanide in toluene or lithium cyanide in tetrahydrofuran gives the nitrile (III) with high yield without any epimerization reaction.

合成路线图解说明:

The nitrile (III), a chiral key intermediate of this synthesis, can be obtained by two different synthetic routes as follows: Route-b: The starting material of this route is methyl (S)-3-hydroxy-2-methylpropionate (VIII), which contains one additional carbon between the hydroxyl group and the 2-position carbon of (R)-lactate, the starting material of route-a. The hydroxyl group of (VIII) is protected by triphenylmethyl group. Then, 2,4-difluorophenyl moiety is introduced to give the ketone (X). Direct conversion of the ketone (X) to the oxirane (XIV) by dimethylsulfoxonium methylide, the same condition for compound (IV) in route-a, does not proceed. The oxirane (XIV) having desired stereochemistry is obtained via oxidation reaction. The ketone (X) is converted to the exomethylene (XI) by Wittig reaction. The stereoselective oxidation of (XI) is achieved by means of osmium tetroxide in the presence of 4-methylmorpholine N-oxide to give the diol (XII) in 58% yield after separation of its epimer by column chromatography. After methanesulfonylation of the primary alcohol of (XII), a triazole moiety is introduced and the triphenylmethyl group is deprotected. Then, the primary hydroxyl group of (XVI) is oxidized under Swern oxidation condition to give the aldehyde (XVII), which is converted to the chiral nitrile intermediate (III) by means of heating with hydroxylamine-O-sulfonic acid.

参考文献No.283692
标题:Optically active antifungal azoles. I. Synthesis and antifungal activity of (2R,3R)-2-(2,4-difluorophenyl)-3-mercapto-1-(1H-1,2,4-triazol-1-yl)-2-butanol and stereoisomers
作者:Tasaka, A.; Tamura, N.; Matsushita, Y.; Teranishi, K.; Hayashi, R.; Okonogi, K.; Itoh, K.
来源:Chem Pharm Bull 1993,41(6),1035-42
合成路线图解说明:

Alternatively, intermediate (XIII) can be obtained as follows: Heating of ethyl (S)-lactate (XIV) with morpholine affords amide (XVI), which then reacts with 3,4-dihydro-2H-pyran (A) in the presence of p-TsOH to give protected derivative (XVII). Grignard reaction between (XVII), bromo derivative (XVIII) and Mg turnings in THF yields protected ketone (XIX), which is treated with pyridinium p-toluenesulfonate (PPTS) (THP group removal) and reprotected by means of Tf2O and DIEA to give triflate derivative (XX). Conversion of (XX) into intermediate (XIII) is achieved by reaction with triazolone (VII) and NaH in THF.

合成路线图解说明:

Alternatively, derivative (XXIX) can be obtained in an analogous way as its enantiomer (XIX). Diastereoselective epoxidation of (XXIX) with trimethylsulfoxonium iodide and NaH in DMSO provides oxirane (XXX) (3). THP group removal by means of PPTS in EtOH, followed by reaction with 3,5-dinitrobenzoyl chloride (XXXI) and NaHCO3 in CH2Cl2, yields a diastereomeric mixture from which dinitrobenzoate derivative (2R,3R)-(XXXII) is obtained by recrystallization (1). Hydrolysis of (2R,3R)-(XXXII) in MeOH by treatment with aqueous NaOH gives compound (2R,3R)-(XXXIII), which is converted into ester (2R,3S)-(XXXIV) by Mitsunobu reaction with benzoic acid, Ph3P and DEAD in THF. Subsequent debenzoylation of (2R,3S)-(XXXIV) with NaOMe in MeOH affords oxiranyl ethanol derivative (2R,3R)-(XXXV), which is first converted into its triflate derivative by means of Tf2O and DIEA in CH2Cl2, and then into triazolone derivative (2S,3R)-(XXXVI) by reaction with intermediate (VII) and NaH in CH2Cl2/DMF. Finally, oxirane derivative (2S,3R)-(XXXVI) reacts with triazole (XXVI) and NaH in DMF to furnish the desired product.

合成路线图解说明:

ER-30346 is synthesized by thiazole ring formation of (2R,3R)-3-(2,4-difluorophenyl)-3-hydroxy-2-methyl-4-(1H-1,2,4-triazol-1-yl)thiobutanamide (I) and 4-bromoacetylbenzonitrile (II) by means of reflux in methanol. The thioamide (I) is obtained with excellent yield from a chiral nitrile (III) by heating with diethyl dithiophosphate in aqueous medium.

合成路线图解说明:

The nitrile (III), a chiral key intermediate of this synthesis, can be obtained by two different synthetic routes as follows: Route-a: The key step of this route is ring opening reaction of the trisubstituted oxirane (VII) by cyanide anion leading to the nitrile (III). The chiral oxirane (VII) is synthesized from (R)-lactic acid derivatives as already reported. The reaction of (VII) with diethylaluminum cyanide in toluene or lithium cyanide in tetrahydrofuran gives the nitrile (III) with high yield without any epimerization reaction.

合成路线图解说明:

The nitrile (III), a chiral key intermediate of this synthesis, can be obtained by two different synthetic routes as follows: Route-b: The starting material of this route is methyl (S)-3-hydroxy-2-methylpropionate (VIII), which contains one additional carbon between the hydroxyl group and the 2-position carbon of (R)-lactate, the starting material of route-a. The hydroxyl group of (VIII) is protected by triphenylmethyl group. Then, 2,4-difluorophenyl moiety is introduced to give the ketone (X). Direct conversion of the ketone (X) to the oxirane (XIV) by dimethylsulfoxonium methylide, the same condition for compound (IV) in route-a, does not proceed. The oxirane (XIV) having desired stereochemistry is obtained via oxidation reaction. The ketone (X) is converted to the exomethylene (XI) by Wittig reaction. The stereoselective oxidation of (XI) is achieved by means of osmium tetroxide in the presence of 4-methylmorpholine N-oxide to give the diol (XII) in 58% yield after separation of its epimer by column chromatography. After methanesulfonylation of the primary alcohol of (XII), a triazole moiety is introduced and the triphenylmethyl group is deprotected. Then, the primary hydroxyl group of (XVI) is oxidized under Swern oxidation condition to give the aldehyde (XVII), which is converted to the chiral nitrile intermediate (III) by means of heating with hydroxylamine-O-sulfonic acid.

合成路线图解说明:

The condensation of (R)-lactic acid (I) with morpholine (II) gives the corresponding morpholide (III), which is protected at the hydroxyl position with dihydropyran (IV) to yield the tetrahydropyranyl ether (V). The Grignard reaction of (V) with 2,4-difluorophenylmagnesium bromide (VI) affords the chiral 1-propanone (VII), which by a Corey's diastereoselective epoxidation with trimethylsulfoxonium iodide is converted into the oxirane (VIII). The opening of the oxirane ring of (VIII) by means of 1,2,4-triazole (IX) and NaH provides the tertiary alcohol (X), which is treated with pyridine p-toluenesulfonate to give the deprotected diol (XI) as a (2R,3R) and (2R,3S) 4:1 diastereomeric mixture, from which the desired (2R,3R)-isomer (XII) was isolated by crystallization. The reaction of (XII) with Ms-Cl and TEA, followed by cyclization with NaOMe, yields the oxirane (XIII), which is finally condensed with 7-chloroquinazolin-4(3H)-one (XIV) by means of K2CO3 in hot NMP.

参考文献No.333681
标题:ER-30346
作者:Naito, T.; Hata, K.; Tsuruoka, A.
来源:Drugs Fut 1996,21(1),20
合成路线图解说明:

ER-30346 is synthesized by thiazole ring formation of (2R,3R)-3-(2,4-difluorophenyl)-3-hydroxy-2-methyl-4-(1H-1,2,4-triazol-1-yl)thiobutanamide (I) and 4-bromoacetylbenzonitrile (II) by means of reflux in methanol. The thioamide (I) is obtained with excellent yield from a chiral nitrile (III) by heating with diethyl dithiophosphate in aqueous medium.

合成路线图解说明:

The nitrile (III), a chiral key intermediate of this synthesis, can be obtained by two different synthetic routes as follows: Route-a: The key step of this route is ring opening reaction of the trisubstituted oxirane (VII) by cyanide anion leading to the nitrile (III). The chiral oxirane (VII) is synthesized from (R)-lactic acid derivatives as already reported. The reaction of (VII) with diethylaluminum cyanide in toluene or lithium cyanide in tetrahydrofuran gives the nitrile (III) with high yield without any epimerization reaction.

合成路线图解说明:

The nitrile (III), a chiral key intermediate of this synthesis, can be obtained by two different synthetic routes as follows: Route-b: The starting material of this route is methyl (S)-3-hydroxy-2-methylpropionate (VIII), which contains one additional carbon between the hydroxyl group and the 2-position carbon of (R)-lactate, the starting material of route-a. The hydroxyl group of (VIII) is protected by triphenylmethyl group. Then, 2,4-difluorophenyl moiety is introduced to give the ketone (X). Direct conversion of the ketone (X) to the oxirane (XIV) by dimethylsulfoxonium methylide, the same condition for compound (IV) in route-a, does not proceed. The oxirane (XIV) having desired stereochemistry is obtained via oxidation reaction. The ketone (X) is converted to the exomethylene (XI) by Wittig reaction. The stereoselective oxidation of (XI) is achieved by means of osmium tetroxide in the presence of 4-methylmorpholine N-oxide to give the diol (XII) in 58% yield after separation of its epimer by column chromatography. After methanesulfonylation of the primary alcohol of (XII), a triazole moiety is introduced and the triphenylmethyl group is deprotected. Then, the primary hydroxyl group of (XVI) is oxidized under Swern oxidation condition to give the aldehyde (XVII), which is converted to the chiral nitrile intermediate (III) by means of heating with hydroxylamine-O-sulfonic acid.

参考文献No.474463
标题:A novel route for chiral synthesis of the triazole antifungal ER-30346
作者:Kaku, Y.; et al.
来源:Chem Pharm Bull 1998,46(7),1125
合成路线图解说明:

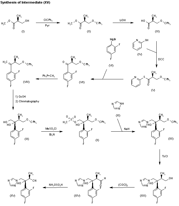
The synthesis of (2S,3S)-3-(2,4-difluorophenyl)-3-hydroxy-2-methyl-4-(1,2,4-triazol-1-yl)butyronitrile (XV), a key intermediate the synthesis of ER-30346 has been described: The tritylation of 3-hydroxy-2(S)-methylpropionic acid methyl ester (I) with trityl chloride in hot pyridine gives the trityl ether (II), which is hydrolyzed with LiOH in H2O/THF/methanol yielding the free acid (III). The esterification of (III) with 2-mercaptopyridine (IV) by means of dicyclohexylcarbodiimide (DCC) in dichloromethane gives the thioester (V), which is treated with 2,4-difluorophenylmagnesium bromide (VI) in THF yielding the propiophenone (VII), which by treatment with methyltriphenylphosphonium bromide/NaH in THF is converted into the methylene derivative (VIII). The oxidation of (VIII) with OsO4 and N-methylmorpholine oxide in acetone affords, after column chromatography, the chiral diol (IX), which is monomesylated with mesyl chloride/triethylamine in dichlormethane giving the monoester (X). The reaction of (X) with 1,2,4-triazol (XI) and NaH in DMF yields (2R,3S)-2-(2,4-difluorophenyl)-3-methyl-1-(1,2,4-triazol-1-yl)-4-(triphenylmethoxy)-2-butanol (XII), which is detritylated with p-toluenesulfonic acid in methanol affording the diol (XIII). The oxidation of (XIII) with oxalyl chloride/DMSO in dichloromethane gives the aldehyde (XIV), which is finally treated with hydroxylamine-O-sulfonic acid in water yielding the desired bytyronitrile intermediate (XV) already referenced.

参考文献No.604930
标题:Triazole antifungals. III. Stereocontrolled synthesis of an optically active triazolylmethyloxirane precursor to antifungal oxazolodine derivatives
作者:Konos, T.; Miyaoka, T.; Tajima, Y.; Oida, S.
来源:Chem Pharm Bull 1991,39(9),2241
合成路线图解说明:

ER-30346 is synthesized by thiazole ring formation of (2R,3R)-3-(2,4-difluorophenyl)-3-hydroxy-2-methyl-4-(1H-1,2,4-triazol-1-yl)thiobutanamide (I) and 4-bromoacetylbenzonitrile (II) by means of reflux in methanol. The thioamide (I) is obtained with excellent yield from a chiral nitrile (III) by heating with diethyl dithiophosphate in aqueous medium.

合成路线图解说明:

The nitrile (III), a chiral key intermediate of this synthesis, can be obtained by two different synthetic routes as follows: Route-a: The key step of this route is ring opening reaction of the trisubstituted oxirane (VII) by cyanide anion leading to the nitrile (III). The chiral oxirane (VII) is synthesized from (R)-lactic acid derivatives as already reported. The reaction of (VII) with diethylaluminum cyanide in toluene or lithium cyanide in tetrahydrofuran gives the nitrile (III) with high yield without any epimerization reaction.

合成路线图解说明:

The nitrile (III), a chiral key intermediate of this synthesis, can be obtained by two different synthetic routes as follows: Route-b: The starting material of this route is methyl (S)-3-hydroxy-2-methylpropionate (VIII), which contains one additional carbon between the hydroxyl group and the 2-position carbon of (R)-lactate, the starting material of route-a. The hydroxyl group of (VIII) is protected by triphenylmethyl group. Then, 2,4-difluorophenyl moiety is introduced to give the ketone (X). Direct conversion of the ketone (X) to the oxirane (XIV) by dimethylsulfoxonium methylide, the same condition for compound (IV) in route-a, does not proceed. The oxirane (XIV) having desired stereochemistry is obtained via oxidation reaction. The ketone (X) is converted to the exomethylene (XI) by Wittig reaction. The stereoselective oxidation of (XI) is achieved by means of osmium tetroxide in the presence of 4-methylmorpholine N-oxide to give the diol (XII) in 58% yield after separation of its epimer by column chromatography. After methanesulfonylation of the primary alcohol of (XII), a triazole moiety is introduced and the triphenylmethyl group is deprotected. Then, the primary hydroxyl group of (XVI) is oxidized under Swern oxidation condition to give the aldehyde (XVII), which is converted to the chiral nitrile intermediate (III) by means of heating with hydroxylamine-O-sulfonic acid.

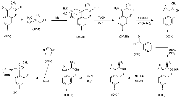
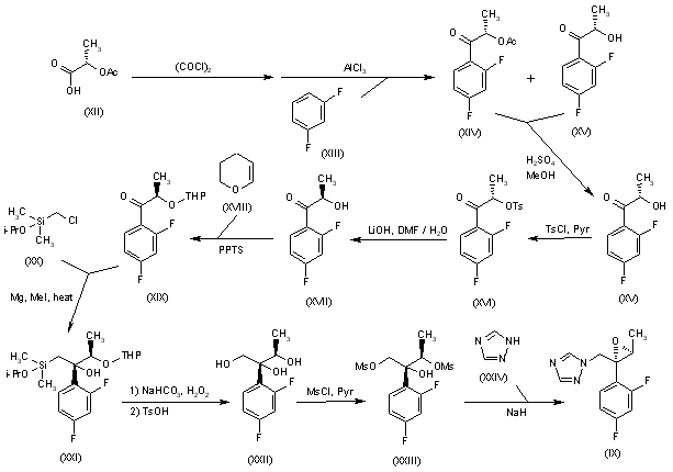
合成路线图解说明:

The known chiral epoxide (IX) can be synthesized by several different ways shown in the following: 1) 2(S)-Acetoxypropionic acid (XII) is treated first with oxalyl chloride in DMF/CH2Cl2, and then the resultant acyl chloride is submitted to a Friedel-Crafts reaction with 1,3-difluorobenzene (XIII) by means of AlCl3 to provide a 1:1 mixture of a(S)-acetoxypropiophenone (XIV) and a(S)-hydroxy-propiophenone (XV). This mixture is treated with H2SO4 in MeOH to give the pure alcohol (XV). Tosylation of alcohol (XV) with p-toluenesulfonyl chloride in pyridine furnishes tosylate (XVI), which is converted into a(R)-hydroxypropiophenone (XVII) by an SN2 displacement reaction with LiOH in DMF/H2O. Reaction of the hydroxy group of (XVII) with 2,3-dihydropyran (XVIII) and pyridi-nium p-toluenesulfonate (PPTS) in CH2Cl2 gives the protected compound (XIX), which is converted into the silyl alcohol (XXI) by a Grignard reaction with (chloro-methyl)dimethylisopropoxysilane (XX) in the presence of Mg and a small amount of MeI. Oxidative desilylation of (XXI) by means of NaHCO3 and H2O2 in THF/MeOH, followed by hydrolysis with TsOH in MeOH, affords the triol (XXII), which is then mesylated with methanesulfonyl chloride in pyridine to provide the dimesylate (XXIII). Finally, nucleofilic substitution of one mesylate group of (XXIII) with 1H-1,2,4-triazole (XXIV) by means of NaH in DMF with concomitant epoxide formation affords the desired intermediate (IX).

合成路线图解说明:

2) Propiophenone derivative (XXV) - prepared according to a procedure similar to that described for compound (XIX) - is subjected to a Grignard reaction with (chloromethyl)trimethylsilane (XXVI) and Mg in ether to give the silyl alcohol (XXVII), which by treatment with p-toluenesulfonic acid in MeOH undergoes b-elimination and deprotection to yield the allylic alcohol (XXVIII). Epoxidation of (XXVIII) with tert-butyl hydroperoxide and catalytic oxyvanadium acetylacetonate gives the epoxy-alcohol (XXIX), which is subjected to a Mitsunobu reaction with benzoic acid (XXX) by means of DEAD and PPh3 in THF to provide benzoate (XXXI). Solvolysis of compound (XXXI) in MeOH with catalytic NaOMe yields the epoxyalcohol (XXXII), which is mesylated with methanesulfonyl chloride and triethylamine in CH2Cl2 to afford the protected alcohol (XXXIII). Finally, treatment of compound (XXXIII) with 1H-1,2,4-triazole (XXIV) and NaH in DMF affords the desired intermediate (IX).

参考文献No.801222
标题:Stereoselective synthesis of antifungal agent threo-2-(2,4-difluorophenyl)-3-methylsulfonyl-1-(1H-1,2,4-triazol-1-yl)-2-butanol (SM-8668)
作者:Saji, I.; Tamoto, K.; Tanaka, Y.; Fujimoto, K.; Ohashi, N.
来源:Bull Chem Soc Jpn 1994,671427-33
合成路线图解说明:

ER-30346 is synthesized by thiazole ring formation of (2R,3R)-3-(2,4-difluorophenyl)-3-hydroxy-2-methyl-4-(1H-1,2,4-triazol-1-yl)thiobutanamide (I) and 4-bromoacetylbenzonitrile (II) by means of reflux in methanol. The thioamide (I) is obtained with excellent yield from a chiral nitrile (III) by heating with diethyl dithiophosphate in aqueous medium.

合成路线图解说明:

The nitrile (III), a chiral key intermediate of this synthesis, can be obtained by two different synthetic routes as follows: Route-a: The key step of this route is ring opening reaction of the trisubstituted oxirane (VII) by cyanide anion leading to the nitrile (III). The chiral oxirane (VII) is synthesized from (R)-lactic acid derivatives as already reported. The reaction of (VII) with diethylaluminum cyanide in toluene or lithium cyanide in tetrahydrofuran gives the nitrile (III) with high yield without any epimerization reaction.

合成路线图解说明:

The nitrile (III), a chiral key intermediate of this synthesis, can be obtained by two different synthetic routes as follows: Route-b: The starting material of this route is methyl (S)-3-hydroxy-2-methylpropionate (VIII), which contains one additional carbon between the hydroxyl group and the 2-position carbon of (R)-lactate, the starting material of route-a. The hydroxyl group of (VIII) is protected by triphenylmethyl group. Then, 2,4-difluorophenyl moiety is introduced to give the ketone (X). Direct conversion of the ketone (X) to the oxirane (XIV) by dimethylsulfoxonium methylide, the same condition for compound (IV) in route-a, does not proceed. The oxirane (XIV) having desired stereochemistry is obtained via oxidation reaction. The ketone (X) is converted to the exomethylene (XI) by Wittig reaction. The stereoselective oxidation of (XI) is achieved by means of osmium tetroxide in the presence of 4-methylmorpholine N-oxide to give the diol (XII) in 58% yield after separation of its epimer by column chromatography. After methanesulfonylation of the primary alcohol of (XII), a triazole moiety is introduced and the triphenylmethyl group is deprotected. Then, the primary hydroxyl group of (XVI) is oxidized under Swern oxidation condition to give the aldehyde (XVII), which is converted to the chiral nitrile intermediate (III) by means of heating with hydroxylamine-O-sulfonic acid.

Drug Information Express,Drug R&D,Chemical Database,Patent Search.
Copyright © 2006-2026 Drug Future. All rights reserved.Contact Us