【药物名称】Reglitazar, PNU-182716, JTT-501
化学结构式(Chemical Structure):
参考文献No.27423
标题:Isoxazolidinedione deriv. and use thereof
作者:Shinkai, H. (Japan Tobacco Inc.)
来源:EP 0684242; JP 1996517913; US 5728720; US 6057343; WO 9518125
合成路线图解说明:

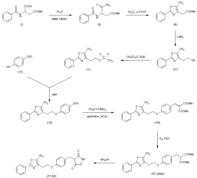
Acetylation of N-benzoylaspartic acid beta-methyl ester (I) with acetic anhydride and subsequent decarboxylation gave the 3-benzoylamino-4-oxovalerate (II). The methyl oxazolylacetate (III) was prepared by cyclization of 4-oxovalerate (II) in the presence of Ac2O. Ester (III) was then reduced to alcohol (IV) with LiBH4 and further converted to mesylate (V) with methanesulfonyl chloride and Et3N. Coupling between mesylate (V) and 4-hydroxybenzaldehyde (VI) gave ether (VII). Knoevenagel condensation of (VII) with dimethyl malonate using piperidine acetate produced the benzylidene malonate (VIII). Finally, catalytic hydrogenation with Pd/C furnished JTP-20993. The title compound (JTT-501) is obtained by reaction of JTP-20993 with NH2OH.

参考文献No.545999
标题:The isoxazolidine-3,5-dione hypoglycemic agent JTT-501 and other nonthiazolidinedione insulin sensitizers
作者:Shinkai, H.
来源:Drugs Fut 1999,24(8),893
合成路线图解说明:

Acetylation of N-benzoylaspartic acid beta-methyl ester (I) with acetic anhydride and subsequent decarboxylation gave the 3-benzoylamino-4-oxovalerate (II). The methyl oxazolylacetate (III) was prepared by cyclization of 4-oxovalerate (II) in the presence of Ac2O. Ester (III) was then reduced to alcohol (IV) with LiBH4 and further converted to mesylate (V) with methanesulfonyl chloride and Et3N. Coupling between mesylate (V) and 4-hydroxybenzaldehyde (VI) gave ether (VII). Knoevenagel condensation of (VII) with dimethyl malonate using piperidine acetate produced the benzylidene malonate (VIII). Finally, catalytic hydrogenation with Pd/C furnished JTP-20993. The title compound (JTT-501) is obtained by reaction of JTP-20993 with NH2OH.

合成路线图解说明:

Acetylation of N-benzoylaspartic acid beta-methyl ester (I) with acetic anhydride and subsequent decarboxylation gave the 3-benzoylamino-4-oxovalerate (II). The methyl oxazolylacetate (III) was prepared by cyclization of 4-oxovalerate (II) in the presence of Ac2O. Ester (III) was then reduced to alcohol (IV) with LiBH4 and further converted to mesylate (V) with methanesulfonyl chloride and Et3N. Coupling between mesylate (V) and 4-hydroxybenzaldehyde (VI) gave ether (VII). Knoevenagel condensation of (VII) with dimethyl malonate using piperidine acetate produced the benzylidene malonate (VIII). Finally, catalytic hydrogenation with Pd/C furnished the title compound.

Drug Information Express,Drug R&D,Chemical Database,Patent Search.
Copyright © 2006-2026 Drug Future. All rights reserved.Contact Us