【药物名称】LAS-333
化学结构式(Chemical Structure):
参考文献No.27392
标题:Heterocyclic cpds.
作者:Swahn, B.-M. (AstraZeneca plc)
来源:EP 0736032; JP 1997506895; US 5710139; WO 9517410
合成路线图解说明:

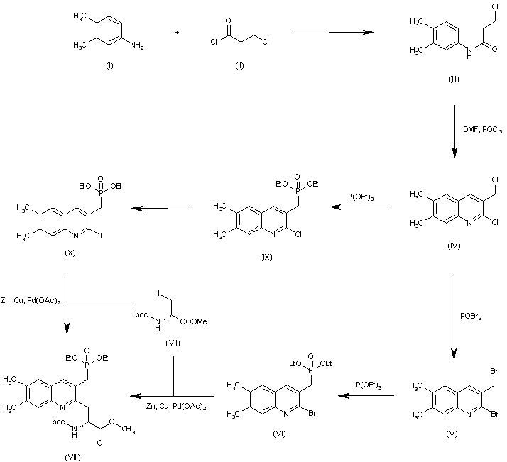
The acylation of 3,4-dimethylaniline (I) with 3-chloropropionyl chloride (II) in toluene gives the expected anilide (III), which is cyclized with DMF by means of POCl3 yielding 2-chloro-3-(chloromethyl)-6,7-dimethylquinoline (IV). The reaction of (IV) with POBr3 at 100 C affords the corresponding dibromo derivative (V), which is condensed with triethyl phosphite in toluene to give the phosphonic ester (VI). The condensation of (VI) with N-(tert-butoxycarbonyl)-3-iodo-D-alanine methyl ester (VII) by means of Zn-Cu, Pd(OAc)2, tri(2-furyl)phosphine and DMA in hot toluene yields the esterified target compound (VIII), which is finally hydrolyzed with 6N HCl. Alternatively, the dichloro derivative (IV) can also be condensed with triethyl phosphite giving the phosphonate (IX), which is treated with NaI and p-toluenesulfonic acid in refluxing 2-butanone to yield the corresponding 2-iodo derivative (X). Finally, this compound is condensed with D-alanine (VII) as before to afford the previously described intermediate (VIII).

参考文献No.567756
标题:New heteroaryl-spaced phosphono alpha-amino acids are competitive NMDA antagonists with analgesic activity
作者:Molin, H.; Pelcman, B.; Besidski, Y.; Swahn, B.-M.; Berge, O.-G.; Sandberg, M.P.; Claesson, A.
来源:Bioorg Med Chem Lett 1996,6(14),1635
合成路线图解说明:

The acylation of 3,4-dimethylaniline (I) with 3-chloropropionyl chloride (II) in toluene gives the expected anilide (III), which is cyclized with DMF by means of POCl3 yielding 2-chloro-3-(chloromethyl)-6,7-dimethylquinoline (IV). The reaction of (IV) with POBr3 at 100 C affords the corresponding dibromo derivative (V), which is condensed with triethyl phosphite in toluene to give the phosphonic ester (VI). The condensation of (VI) with N-(tert-butoxycarbonyl)-3-iodo-D-alanine methyl ester (VII) by means of Zn-Cu, Pd(OAc)2, tri(2-furyl)phosphine and DMA in hot toluene yields the esterified target compound (VIII), which is finally hydrolyzed with 6N HCl. Alternatively, the dichloro derivative (IV) can also be condensed with triethyl phosphite giving the phosphonate (IX), which is treated with NaI and p-toluenesulfonic acid in refluxing 2-butanone to yield the corresponding 2-iodo derivative (X). Finally, this compound is condensed with D-alanine (VII) as before to afford the previously described intermediate (VIII).

Drug Information Express,Drug R&D,Chemical Database,Patent Search.
Copyright © 2006-2026 Drug Future. All rights reserved.Contact Us