【药物名称】DMP-777, L-694458
化学结构式(Chemical Structure):
参考文献No.23581
标题:New substd. azetidinones as antiinflammatory and antidegenerative agents
作者:Doherty, J.B.; Finke, P.E.; Dorn, C.P.; Maccoss, M.; Durette, P.L.; Mills, S.G.; Shah, S.K.; Lanza, T.J.; Sahoo, S.P.; Hagmann, W.K.; Hale, J.J. (Merck & Co., Inc.)
来源:EP 0595557; JP 1994263723; US 5591737; US 5747485; WO 9410142
合成路线图解说明:

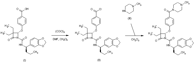
The title compound has been prepared by treatment of carboxylic acid (I) with oxalyl chloride, followed by condensation of the resulting acid chloride (II) with N-methylpiperazine (III).

参考文献No.55828
标题:Process for preparing substd. azetidinones
作者:Amato, J.S.; Cvetovich, R.; Hartner, F.W. (Merck & Co., Inc.)
来源:WO 9716448
合成路线图解说明:

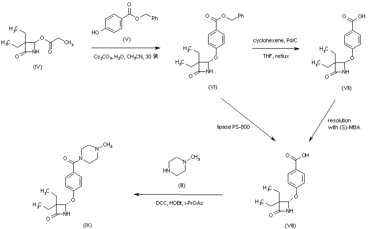
In a different procedure, displacement of the propionate group of azetidinone (IV) by benzyl 4-hydroxybenzoate (V) in the presence of Cs2CO3 afforded the racemic adduct (VI). Subsequent transfer hydrogenolysis of (VI) with cyclohexene and Pd/C provided the carboxylic acid (VII), which was resolved employing (S)-alpha-methylbenzylamine. Alternatively, a kinetic enzymatic resolution of the benzyl ester (VI) was developed. Treatment of ester (VI) with lipase PS-800 provided the desired (S)-acid (VIII), while leaving the unchanged (R)-benzyl ester. Coupling of acid (VIII) with N-methylpiperazine (III) in the presence of DCC and HOBt furnished the corresponding amide (IX).

合成路线图解说明:

The required (S)-alpha-propylpiperonyl alcohol (XV) was prepared by two alternative routes. Asymmetric addition of di-n-propyl zinc to piperonal (X) in the presence of titanium isopropoxide and the chiral bis-triflamide (XI) yielded the (S)-alcohol (XV) in high enantiomeric excess. Alternatively, ketone (XIII) was reduced with the oxazaborolidine-borane complex (XIV) to give (XV). Treatment of the (S)-alcohol (XV) with DPPA in the presence of DBU produced the (R)-azide (XVI). This was then reduced with LiAlH4 to yield amine (XVII) with some loss of optical purity. Optical enrichment was achieved by crystallization as the D-pyroglutamic acid salt. The (R)-amine (XVII) was converted to isocyanate (XVIII) by treatment with phosgene. Finally, coupling between isocyanate (XVIII) and azetidinone (IX) in the presence of DBU in acetonitrile led to the title compound.

参考文献No.55829
标题:An efficient process for the preparation of a human leukocyte elastase inhibitor
作者:Li, H.-Y.; Fortunak, J.M.; Storace, L.; Sheeran, P.J.; Anzalone, L. (DuPont Pharmaceuticals Co.)
来源:WO 0012474
合成路线图解说明:

In a different procedure, displacement of the propionate group of azetidinone (IV) by benzyl 4-hydroxybenzoate (V) in the presence of Cs2CO3 afforded the racemic adduct (VI). Subsequent transfer hydrogenolysis of (VI) with cyclohexene and Pd/C provided the carboxylic acid (VII), which was resolved employing (S)-alpha-methylbenzylamine. Alternatively, a kinetic enzymatic resolution of the benzyl ester (VI) was developed. Treatment of ester (VI) with lipase PS-800 provided the desired (S)-acid (VIII), while leaving the unchanged (R)-benzyl ester. Coupling of acid (VIII) with N-methylpiperazine (III) in the presence of DCC and HOBt furnished the corresponding amide (IX).

合成路线图解说明:

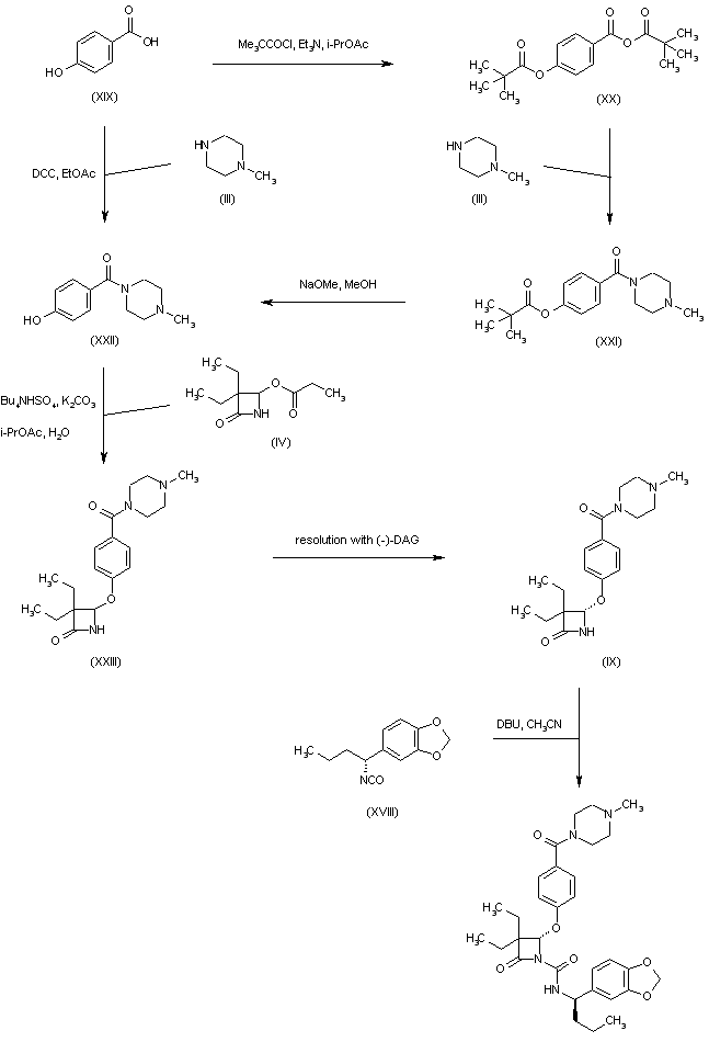
In a further procedure, 4-hydroxybenzoic acid (XIX) was converted to amide (XXII) via formation of the mixed anhydride-ester (XX) with pivaloyl chloride, followed by coupling with N-methylpiperazine (III) and alcoholysis of the resultant amide-ester (XXI) or, alternatively, by direct coupling of acid (XIX) with piperazine (III) in the presence of DCC. The propionate group of azetidinone (IV) was then displaced by the 4-hydroxybenzamide (XXII) to give the racemic adduct (XXIII). Resolution of (XXIII) by means of (-)-diisopropylidene ketogulonic acid (DAG) provided the desired enantiomer (IX), which was finally converted into the title compound by condensation with isocyanate (XVIII) in the presence of DBU in acetonitrile.

参考文献No.393955
标题:An asymmetric synthesis of L-694,458, a human leukocyte elastase inhibitor, via novel enzyme resolution of beta-lactam esters
作者:Cvetovich, R.J.; Chartrain, M.; Hartner, F.W.Jr.; Roberge, C.; Amato, J.S.; Grabowski, E.J.
来源:J Org Chem 1996,61(19),6575
合成路线图解说明:

In a different procedure, displacement of the propionate group of azetidinone (IV) by benzyl 4-hydroxybenzoate (V) in the presence of Cs2CO3 afforded the racemic adduct (VI). Subsequent transfer hydrogenolysis of (VI) with cyclohexene and Pd/C provided the carboxylic acid (VII), which was resolved employing (S)-alpha-methylbenzylamine. Alternatively, a kinetic enzymatic resolution of the benzyl ester (VI) was developed. Treatment of ester (VI) with lipase PS-800 provided the desired (S)-acid (VIII), while leaving the unchanged (R)-benzyl ester. Coupling of acid (VIII) with N-methylpiperazine (III) in the presence of DCC and HOBt furnished the corresponding amide (IX).

合成路线图解说明:

The required (S)-alpha-propylpiperonyl alcohol (XV) was prepared by two alternative routes. Asymmetric addition of di-n-propyl zinc to piperonal (X) in the presence of titanium isopropoxide and the chiral bis-triflamide (XI) yielded the (S)-alcohol (XV) in high enantiomeric excess. Alternatively, ketone (XIII) was reduced with the oxazaborolidine-borane complex (XIV) to give (XV). Treatment of the (S)-alcohol (XV) with DPPA in the presence of DBU produced the (R)-azide (XVI). This was then reduced with LiAlH4 to yield amine (XVII) with some loss of optical purity. Optical enrichment was achieved by crystallization as the D-pyroglutamic acid salt. The (R)-amine (XVII) was converted to isocyanate (XVIII) by treatment with phosgene. Finally, coupling between isocyanate (XVIII) and azetidinone (IX) in the presence of DBU in acetonitrile led to the title compound.

参考文献No.659673
标题:An efficient large-scale process for the human leukocyte elastase inhibitor, DMP 777
作者:Storace, L.; et al.
来源:Org Process Res Dev 2002,6(1),54
合成路线图解说明:

In a further procedure, 4-hydroxybenzoic acid (XIX) was converted to amide (XXII) via formation of the mixed anhydride-ester (XX) with pivaloyl chloride, followed by coupling with N-methylpiperazine (III) and alcoholysis of the resultant amide-ester (XXI) or, alternatively, by direct coupling of acid (XIX) with piperazine (III) in the presence of DCC. The propionate group of azetidinone (IV) was then displaced by the 4-hydroxybenzamide (XXII) to give the racemic adduct (XXIII). Resolution of (XXIII) by means of (-)-diisopropylidene ketogulonic acid (DAG) provided the desired enantiomer (IX), which was finally converted into the title compound by condensation with isocyanate (XVIII) in the presence of DBU in acetonitrile.

合成路线图解说明:

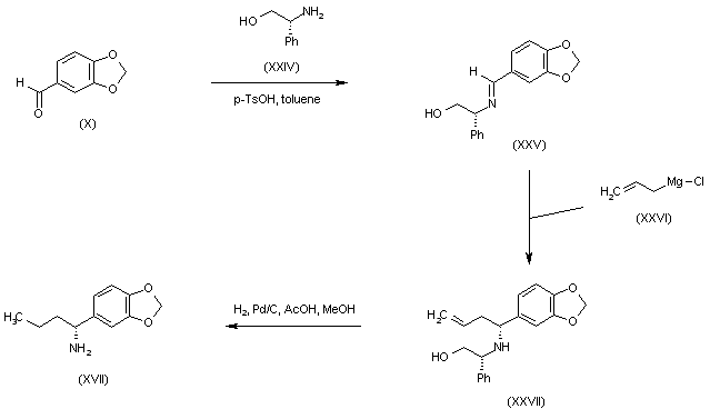
Preparation of the intermediate chiral amine (XVII) was reported by a number of synthetic strategies. Piperonal (X) was condensed with D-phenylglycinol (XXIV) to give imine (XXV). Diastereoselective addition of allylmagnesium chloride (XXVI) to imine (XXV) afforded amine (XXVII). Simultaneous hydrogenation of the double bond and hydrogenolysis of the chiral auxiliary of (XXVII) furnished the desired amine (XVII).

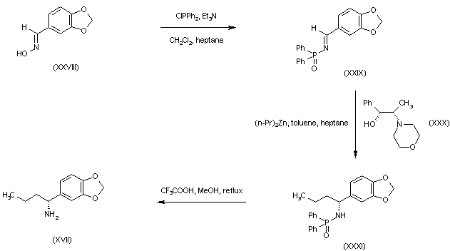
合成路线图解说明:

Piperonal oxime (XXVIII) was converted to phosphinylimine (XXIX) upon treatment with chlorodiphenylphosphine. Addition of dipropyl zinc to (XXIX) in the presence of the morpholine derivative of (1R,2S)-norephedrine (XXX) afforded the phosphinamide (XXXI) in high enantiomeric excess. Then, acid hydrolysis of the phosphinamide function of (XXXI) yielded the target amine (XVII).

合成路线图解说明:

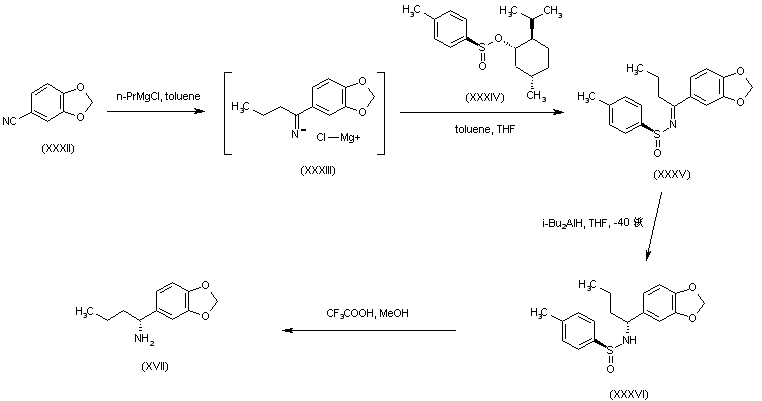
Addition of n-propylmagnesium chloride to piperonylonitrile (XXXII), followed by sulfinylation of the intermediate (XXXIII) with menthyl p-toluenesulfinate (XXXIV), furnished the sulfinyl imine (XXXV). Diastereoselective reduction of imine (XXXV) with DIBAL gave the desired sulfinamide (XXXVI). Amine (XVII) was then obtained by mild acidic hydrolysis of sulfinamide (XXXVI).

合成路线图解说明:

The preferred synthetic route began with the Friedel-Crafts acylation of benzodioxol (XXXVII) by means of butyric anhydride and BF3. The resultant butyrophenone (XIII) was then condensed with (R)-1-phenylethylamine (XXXVII), using TiCl4 as the dehydrating reagent, to afford the E-imine (XXXIX) as the major isomer. Catalytic hydrogenation of imine (XXXIX) in the presence of Raney-Ni furnished the desired amine (XL). The chiral auxiliary was then removed by hydrogenolysis over Pd/C to yield amine (XVII).

Drug Information Express,Drug R&D,Chemical Database,Patent Search.
Copyright © 2006-2026 Drug Future. All rights reserved.Contact Us