【药物名称】Semapimod hydrochloride, AXD-455, CNI-1493
化学结构式(Chemical Structure):
参考文献No.52584
标题:Guanylhydrazones for treating inflammatory conditions
作者:Cerami, A.; Ulrich, P.; Tracey, K.J.; Bianchi, M. (Picower Institute for Medical Research)
来源:EP 0746312; EP 1160240; US 5599984; WO 9519767
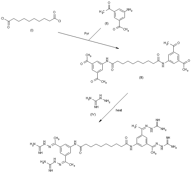
合成路线图解说明:

The reaction of decanedioyl dichloride (I) with 3,5-diacetylaniline (II) by means of pyridine in dichloromethane gives the corresponding diamide (III), which is condensed with aminoguanidine (IV) in refluxing aqueous ethanol to afford the target tetrakis amidinohydrazone.

Drug Information Express,Drug R&D,Chemical Database,Patent Search.
Copyright © 2006-2026 Drug Future. All rights reserved.Contact Us