【药物名称】L-164710
化学结构式(Chemical Structure):
参考文献No.412310
标题:Non-peptide ligands of the human C5a receptor: Structure-activity relationship of a series of tetrahydroimidazopyridines
作者:Kim, D.; et al.
来源:213th ACS Natl Meet (April 13-17, San Francisco) 1997,Abst MEDI 088
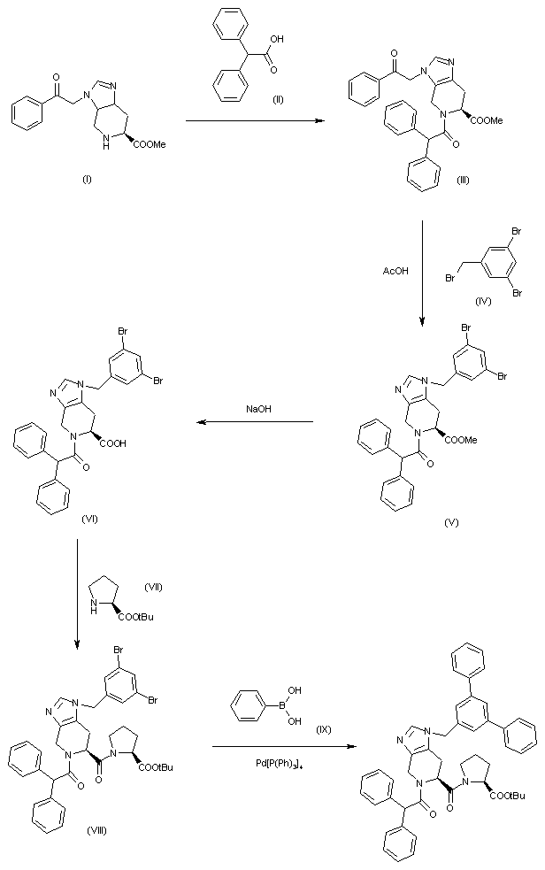
合成路线图解说明:

The reaction of 3-phenacyl-4,5,6,7-tetrahydro-3H-imidazo[4,5-c]pyridine-6(S)-carboxylic acid methyl ester (I) with 2,2-diphenylacetic acid (II) gives 5-(2,2-diphenylacetyl)-3-phenacyl-4,5,6,7-tetrahydro-3H-imidazo[4,5-c]pyridine-6(S)-carboxylic acid methyl ester (III), which is condensed with 3,5-dibromobenzyl bromide (IV) in acetic acid yielding the corresponding 1-(3,5-dibromobenzyl) derivative (V). The hydrolysis of the ester group of (V) with NaOH affords the expected free acid (VI), which is condensed with L-proline tert-butyl ester (VII) giving the corresponding N-substituted L-proline ester (VIII). Finall this compound is coupled with phenylboronic acid (IX), catalized with palladium tetrakis(triphenylphosphine) complex.

Drug Information Express,Drug R&D,Chemical Database,Patent Search.
Copyright © 2006-2026 Drug Future. All rights reserved.Contact Us