【药物名称】Gemifloxacin mesilate, LB-20304(free base), LB-20304a, SB-265805, Factive
化学结构式(Chemical Structure):
参考文献No.29067
标题:Novel quinoline carboxylic acid derivs. having 7-(4-amino-methyl-3-oxime)pyrrolidine substituents and processes for their preparation
作者:Kwak, J.H.; Jeong, Y.N.; Oh, J.I. (LG Chem Ltd.)
来源:CA 2151890; EP 0688772; JP 1996041050; US 5633262; US 5698570; US 5776944
合成路线图解说明:

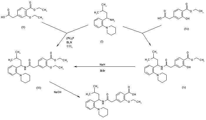
1) The condensation of 3-methyl-1-[2-(1-piperidinyl)phenyl)butylamine (I) with 2-[3-ethoxy-4-(ethoxycarbonyl)phenyl]acetic acid (II) by means of triphenylphosphine, triethylamine and CCl4 gives the corresponding amide-ester (III), which is then hydrolyzed with NaOH in ethanol/water to the racemic repaglinide. 2) The condensation of amine (I) with 2-[4-(ethoxycarbonyl)-3-hydroxyphenyl]acetic acid (IV) by means of triphenylphosphine as before yields the corresponding amide-ester (V), which is then submitted to ethoxylation with NaH and ethyl bromide in DMF to afford the racemic amide-ester (III), already obtained.

合成路线图解说明:

The addition of glycine ethyl ester (I) to 2-propenenitrile (II) by means of KOH in water gives N-(2-cyanoethyl)glycine ethyl ester (III), which is cyclized by means of di-tert-butyl dicarbonate yielding the protected pyrrolidinone (IV). The reduction of (IV) with NaBH4 in ethanol affords the pyrrolidinol (V), which is further reduced with LiAlH4 in THF and protected with di-tert-butyl dicarbonate to give the fully N-protected compound (VI). The oxidation of (VI) with pyridine/SO3 complex yields the pyrrolidinone (VII), which is treated with O-methylhydroxylamine (VIII) to afford the correponding oxime (IX). The deprotection of (IX) with acetyl chloride in cool methanol gives 4-(aminomethyl)pyrrolidin-3-one O-methyloxime (X), which is finally condensed with 7-chloro-1-cyclopropyl-6-fluoro-4-oxo-1,4-dihydro-1,8-naphthyridine-3-carboxylic acid (XI) by means of 1,8-diazabicyclo[5.4.0]undec-7-ene (DBU) in acetonitrile.

参考文献No.441112
标题:Novel fluoroquinolone antibacterial agents containing oxime-substituted (aminomethyl)pyrrolidines: Synthesis and antibacterial activity of LB20304
作者:Hong, C.Y.; Kim, Y.K.; Chang, J.H.; Kim, S.H.; Choi, H.; Nam, D.H.; Kim, Y.Z.; Kwak, J.H.
来源:J Med Chem 1997,40(22),3584-93
合成路线图解说明:

The addition of glycine ethyl ester (I) to 2-propenenitrile (II) by means of KOH in water gives N-(2-cyanoethyl)glycine ethyl ester (III), which is cyclized by means of di-tert-butyl dicarbonate yielding the protected pyrrolidinone (IV). The reduction of (IV) with NaBH4 in ethanol affords the pyrrolidinol (V), which is further reduced with LiAlH4 in THF and protected with di-tert-butyl dicarbonate to give the fully N-protected compound (VI). The oxidation of (VI) with pyridine/SO3 complex yields the pyrrolidinone (VII), which is treated with O-methylhydroxylamine (VIII) to afford the correponding oxime (IX). The deprotection of (IX) with acetyl chloride in cool methanol gives 4-(aminomethyl)pyrrolidin-3-one O-methyloxime (X), which is finally condensed with 7-chloro-1-cyclopropyl-6-fluoro-4-oxo-1,4-dihydro-1,8-naphthyridine-3-carboxylic acid (XI) by means of 1,8-diazabicyclo[5.4.0]undec-7-ene (DBU) in acetonitrile.

参考文献No.474026
标题:SB-265805/LB-20304a
作者:Graul, A.; Casta馿r, J.
来源:Drugs Fut 1998,23(11),1199-1204
合成路线图解说明:

The addition of glycine ethyl ester (I) to 2-propenenitrile (II) by means of KOH in water gives N-(2-cyanoethyl)glycine ethyl ester (III), which is cyclized by means of di-tert-butyl dicarbonate yielding the protected pyrrolidinone (IV). The reduction of (IV) with NaBH4 in ethanol affords the pyrrolidinol (V), which is further reduced with LiAlH4 in THF and protected with di-tert-butyl dicarbonate to give the fully N-protected compound (VI). The oxidation of (VI) with pyridine/SO3 complex yields the pyrrolidinone (VII), which is treated with O-methylhydroxylamine (VIII) to afford the correponding oxime (IX). The deprotection of (IX) with acetyl chloride in cool methanol gives 4-(aminomethyl)pyrrolidin-3-one O-methyloxime (X), which is finally condensed with 7-chloro-1-cyclopropyl-6-fluoro-4-oxo-1,4-dihydro-1,8-naphthyridine-3-carboxylic acid (XI) by means of 1,8-diazabicyclo[5.4.0]undec-7-ene (DBU) in acetonitrile.

Drug Information Express,Drug R&D,Chemical Database,Patent Search.
Copyright © 2006-2026 Drug Future. All rights reserved.Contact Us