【药物名称】Z-335
化学结构式(Chemical Structure):
参考文献No.488731
标题:Synthesis and thromboxane A2 antagonistic activity of indane derivatives
作者:Shinozaki, K.; Sato, H.; Iwakuma, T.; Sato, R.; Kurimoto, T.; Yoshida, K.
来源:Bioorg Med Chem Lett 1999,9(3),401
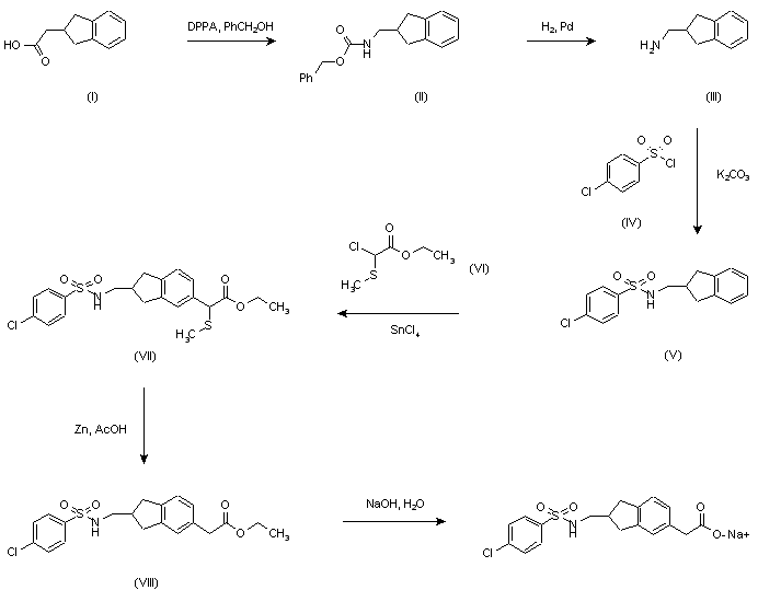
合成路线图解说明:

Curtius rearrangement of indanylacetic acid (I) using diphenylphosphoryl azide (DPPA) in the presence of benzyl alcohol afforded benzyl carbamate (II). Hydrogenolytic deprotection of (II) in the presence of palladium catalyst then provided amine (III), which was condensed with 4-chlorobenzenesulfonyl chloride (IV) to give sulfonamide (V). Subsequent Friedel Crafts reaction of (V) with ethyl a-chloro-a-(methylsulfanyl)acetate (VI) and SnCl4 furnished sulfide (VII), from which the methylthio group was removed by reductive treatment with Zn dust in AcOH yielding (VIII). Finally, alkaline hydrolysis of the indanylacetic ester (VIII) provided the title carboxylic acid, isolated as the corresponding sodium salt.

Drug Information Express,Drug R&D,Chemical Database,Patent Search.
Copyright © 2006-2026 Drug Future. All rights reserved.Contact Us