【药物名称】Nibentan, HE-11
化学结构式(Chemical Structure):
参考文献No.33916
标题:The method of preparation of hydrochloride 1-phenyl-1-p-nitrobenzoylamino-5-N,N-diethylaminopentane and 1-phenyl-1-amino-5-N,N-diethylaminopentane
作者:Glushkov, R.G.; Lvov, A.I.; Davidova, N.K.; Sizova, O.S.; Sanzarova, G.M.; Polakova, M.J.; Skachilova, S.J.; Zeltuchin, N.K.; Cherkasova, E.M.
来源:SU 2059612
合成路线图解说明:

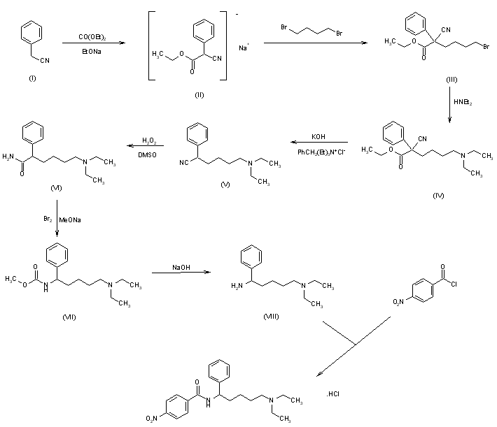
Nibentan is obtained as illustrated in Scheme 22645801a: Phenylacetonitrile (I) is condensed with diethyl carbonate by means of sodium ethylate in toluene to give sodium (ethoxycarbonyl)cyanophenylmethanate (II). Subsequent alkylation of (II) with 1,4-dibromobutane provides 5-bromo-1-(ethoxycarbonyl)-1-cyano-1-phenylpentane (III). Treatment of (III) with diethylamine gives 1-(ethoxycarbonyl)-1-cyano-5-(diethylamino)-1-phenylpentane (IV), which is decarboxylated with aqueous KOH in the presence of triethylbenzylammonium chloride to 1-cyano-5-(diethylamino)-1-phenylpentane (V). The reaction of (V) with H2O2 in dimethylsulfoxide gives 1-carbamoyl-5-(diethylamino)-1-phenylpentane (VI), which is rearranged to 1-(methoxycarbonylamino)-5-(diethylamino)-1-phenylpentane (VII) according to Hoffman reaction by means of bromine and sodium methylate in methanol. Hydrolysis of (VII) with NaOH in ethanol provides amine (VIII). Subsequent coupling of (VIII) with 4-nitrobenzoyl chloride in acetonitrile yields nibentan.

参考文献No.390416
标题:Nibentan
作者:Glushkov, R.G, Mashkovski, M.C.; Yuzhakov, S.D.
来源:Drugs Fut 1997,22(1),30
合成路线图解说明:

Nibentan is obtained as illustrated in Scheme 22645801a: Phenylacetonitrile (I) is condensed with diethyl carbonate by means of sodium ethylate in toluene to give sodium (ethoxycarbonyl)cyanophenylmethanate (II). Subsequent alkylation of (II) with 1,4-dibromobutane provides 5-bromo-1-(ethoxycarbonyl)-1-cyano-1-phenylpentane (III). Treatment of (III) with diethylamine gives 1-(ethoxycarbonyl)-1-cyano-5-(diethylamino)-1-phenylpentane (IV), which is decarboxylated with aqueous KOH in the presence of triethylbenzylammonium chloride to 1-cyano-5-(diethylamino)-1-phenylpentane (V). The reaction of (V) with H2O2 in dimethylsulfoxide gives 1-carbamoyl-5-(diethylamino)-1-phenylpentane (VI), which is rearranged to 1-(methoxycarbonylamino)-5-(diethylamino)-1-phenylpentane (VII) according to Hoffman reaction by means of bromine and sodium methylate in methanol. Hydrolysis of (VII) with NaOH in ethanol provides amine (VIII). Subsequent coupling of (VIII) with 4-nitrobenzoyl chloride in acetonitrile yields nibentan.

参考文献No.573008
标题:Synthesis and antifibrillatory activity of nibentan and its analogues
作者:Mashkovskiy, M.D.; Yurhakov, S.D.; Davydova, N.K.; Sizova, O.S.; Vinogradova, S.M.; L'vov, A.I.; Glushov, R.G.; Yuzhakov, S.D.; Mashkovskiy MD.
来源:Eur J Med Chem 2000,35(2),205
合成路线图解说明:

Nibentan is obtained as illustrated in Scheme 22645801a: Phenylacetonitrile (I) is condensed with diethyl carbonate by means of sodium ethylate in toluene to give sodium (ethoxycarbonyl)cyanophenylmethanate (II). Subsequent alkylation of (II) with 1,4-dibromobutane provides 5-bromo-1-(ethoxycarbonyl)-1-cyano-1-phenylpentane (III). Treatment of (III) with diethylamine gives 1-(ethoxycarbonyl)-1-cyano-5-(diethylamino)-1-phenylpentane (IV), which is decarboxylated with aqueous KOH in the presence of triethylbenzylammonium chloride to 1-cyano-5-(diethylamino)-1-phenylpentane (V). The reaction of (V) with H2O2 in dimethylsulfoxide gives 1-carbamoyl-5-(diethylamino)-1-phenylpentane (VI), which is rearranged to 1-(methoxycarbonylamino)-5-(diethylamino)-1-phenylpentane (VII) according to Hoffman reaction by means of bromine and sodium methylate in methanol. Hydrolysis of (VII) with NaOH in ethanol provides amine (VIII). Subsequent coupling of (VIII) with 4-nitrobenzoyl chloride in acetonitrile yields nibentan.

合成路线图解说明:

The condensation of 4-nitrophenylacetonitrile (I) with diethyl carbonate by means of sodium ethylate in toluene gave the intermediate arylcyanoacetate sodium salt (II) that was further alkylated with 1,4-dibromobutane (III) to yield the bromobutyl derivative (IV). Subsequent treatment of bromide (IV) with diethylamine provided amine (V). Decarbethoxylation of the cyanoester group of (V) to give (VI) was carried out using aqueous KOH in the presence of benzyltriethylammonium chloride. Partial hydrolysis of the nitrile group of (VI) by means of potassium hydroperoxide in DMSO afforded amide (VII). This was subjected to Hoffman rearrangement by means of Br2 and NaOEt to produce carbamate (VIII), which was subsequently hydrolyzed to amine (IX) with KOH. This was finally coupled with benzoyl chloride to furnish the title benzamide.

Drug Information Express,Drug R&D,Chemical Database,Patent Search.
Copyright © 2006-2026 Drug Future. All rights reserved.Contact Us