【药物名称】CGS-30440
化学结构式(Chemical Structure):
参考文献No.374935
标题:Mercaptoacyl dipeptides as orally active dual inhibitors of angiotensin-converting enzyme and neutral endopeptidase
作者:Fink, C.A.; Carlson, J.E.; McTaggart, P.A.; Qiao, Y.; Webb, R.; Chatelain, R.; Jeng, A.Y.; Trapani, A.J.
来源:J Med Chem 1996,39(16),3158
合成路线图解说明:

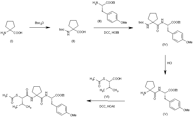
The N-protection of 1-aminocyclopentane-1-carboxylic acid (I) with Boc2O and NaOH in dioxane gives the carbamate (II), which is condensed with 4-O-methyl-L-tyrosine ethyl ester (III) by means of DCC and HOBt yielding the protected dipeptide (IV). The reaction of (IV) with HCl in dichloromethane affords the free dipeptide (V), which is finally condensed with 2(S)-(acetylsulfanyl)-3-methylbutyric acid (VI) by means of DCC, N-hydroxy-7-azabenzotriazole (HOAt) and triethylamine in dichloromethane.

参考文献No.567276
标题:Efficient large scale preparation of neutral endopeptidase/angiotensin-converting enzyme dual inhibitor CGS30440
作者:Johnson, E.P.; et al.
来源:Org Process Res Dev 1998,2(4),238
合成路线图解说明:

The N-protection of 1-aminocyclopentane-1-carboxylic acid (I) with Boc2O and NaOH in dioxane gives the carbamate (II), which is condensed with 4-O-methyl-L-tyrosine ethyl ester (III) by means of DCC and HOBt yielding the protected dipeptide (IV). The reaction of (IV) with HCl in dichloromethane affords the free dipeptide (V), which is finally condensed with 2(S)-(acetylsulfanyl)-3-methylbutyric acid (VI) by means of DCC, N-hydroxy-7-azabenzotriazole (HOAt) and triethylamine in dichloromethane.

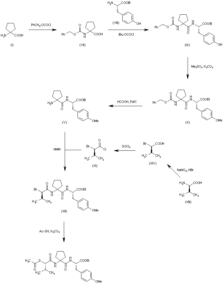
合成路线图解说明:

The N-protection of 1-aminocyclopentane-1-carboxylic acid (I) with PhCH2-OCOCl and NaOH in tert-butyl methyl ether gives the carbamate (VII), which is condensed with L-tyrosine ethyl ester (VIII) by means isobutyl chloroformate and triethylamine in THF yielding the protected dipeptide (IX). The methylation of (IX) with dimethyl sulfate and K2CO3 in ethyl acetate affords the protected 4-O-methyl dipeptide (X). The deprotection of (X) with HCO2H and Pd/C in ethyl acetate affords the previously reported free dipeptide (V), which is condensed with 2(R)-bromo-3-methylbutyryl chloride (XI) by means of NMM in toluene giving the acylated dipeptide (XII). Finally, this compound is treated with thioacetic acid and K2CO3 in ethyl acetate. The intermediate 2(R)-bromo-3-methylbutyryl chloride (XI) has been obtained by reaction of D-valine (XIII) with NaNO2 and HBr giving the 2(R)-bromo-3-methylbutyric acid (XIV), which is then treated with SOCl2 and DMF to afford the target intermediate (XI).

Drug Information Express,Drug R&D,Chemical Database,Patent Search.
Copyright © 2006-2026 Drug Future. All rights reserved.Contact Us