【药物名称】Sch-69956 [(-)-(S)-isomer], Sch-69955 [(+)-(R)-isomer], Sch-54429
化学结构式(Chemical Structure):
参考文献No.16168
标题:Novel nojirimycin derivs.
作者:Lesur, B.; Ducep, J.-B.; Danzin, C. (Merrell Pharmaceuticals, Inc.)
来源:EP 0453692; EP 0454580; JP 1993086072; US 5252587; US 5536732
合成路线图解说明:

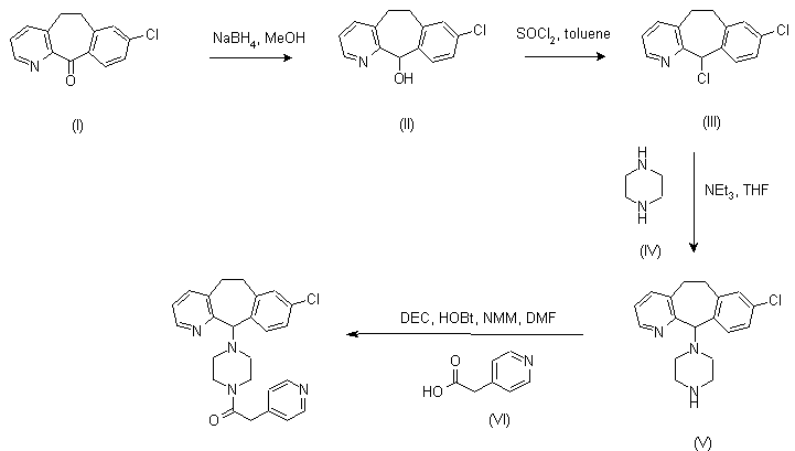
Ketone (I) was reduced with sodium borohydride in methanol to alcohol (II), which was then converted into chloride (III) on treatment with thionyl chloride in cooled toluene. Alkylation of piperazine (IV) with chloride (III) in the presence of triethylamine gave V. Finally, piperazine (V) was condensed with 4-pyridylacetic acid (VI) in the presence of 1-(3-dimethylaminopropyl)-3-ethylcarbodiimide hydrochloride (DEC), 1-hydroxybenzotriazole (HOBt), and N-methylmorpholine in DMF to afford the target amide.

合成路线图解说明:

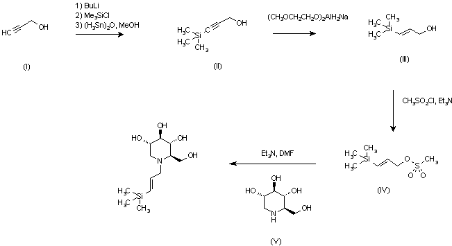
Treatment of propargyl alcohol (I) with two equivalents of butyllithium in THF, followed by chlorotrimethylsilane, and then with methanol and a catalytic amount of distannoxane, gave 3-(trimethylsilyl)-2-propyn-1-ol (II). Partial reduction of acetylenic triple bond with sodium bis(2-methoxyethoxy)aluminum hydride afforded the expected (E)-olefin (III), which on treatment with methanesulfonyl chloride and triethylamine in dichloromethane provided mesylate (IV). Finally, alkylation of 1-deoxynojirimycin (V) with mesylate (IV) in the presence of triethylamine gave the title compound.

参考文献No.403307
标题:New deoxynojirimycin derivatives as potent inhibitors of intestinal alpha-glucohydrolases
作者:Lesur, B.; et al.
来源:Bioorg Med Chem Lett 1997,7(3),355-360
合成路线图解说明:

Ketone (I) was reduced with sodium borohydride in methanol to alcohol (II), which was then converted into chloride (III) on treatment with thionyl chloride in cooled toluene. Alkylation of piperazine (IV) with chloride (III) in the presence of triethylamine gave V. Finally, piperazine (V) was condensed with 4-pyridylacetic acid (VI) in the presence of 1-(3-dimethylaminopropyl)-3-ethylcarbodiimide hydrochloride (DEC), 1-hydroxybenzotriazole (HOBt), and N-methylmorpholine in DMF to afford the target amide.

合成路线图解说明:

Treatment of propargyl alcohol (I) with two equivalents of butyllithium in THF, followed by chlorotrimethylsilane, and then with methanol and a catalytic amount of distannoxane, gave 3-(trimethylsilyl)-2-propyn-1-ol (II). Partial reduction of acetylenic triple bond with sodium bis(2-methoxyethoxy)aluminum hydride afforded the expected (E)-olefin (III), which on treatment with methanesulfonyl chloride and triethylamine in dichloromethane provided mesylate (IV). Finally, alkylation of 1-deoxynojirimycin (V) with mesylate (IV) in the presence of triethylamine gave the title compound.

Drug Information Express,Drug R&D,Chemical Database,Patent Search.
Copyright © 2006-2026 Drug Future. All rights reserved.Contact Us