【药物名称】RGD-891
化学结构式(Chemical Structure):
参考文献No.26891
标题:Antithrombotic azacycloalkylalkanoyl peptides and pseudopeptides
作者:Klein, S.I.; Molino, B.F. (Aventis Pharma SA)
来源:EP 0812205; JP 1997507213; US 5866685; WO 9510295
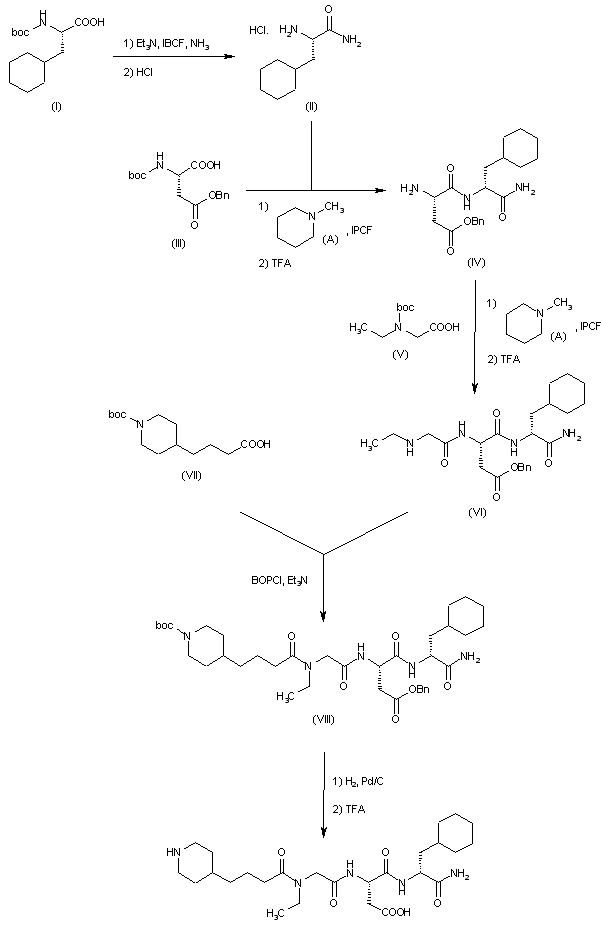
合成路线图解说明:

Treatment of N-Boc-beta cyclohexylalanine (I) in THF with Et3N, isobutyl chloroformate (IBCF) and NH3/MeOH, followed by reaction with HCl gas, yields beta-cyclohexyl alaninamide hydrochloride (II). Amino acid (II) is then converted into dipeptide (IV) by first coupling with protected L-aspartic acid (III) by means of isopropyl chloroformate (IPCF) and N-methyl piperidine (A) in CH2Cl2, followed by Boc removal with TFA in CH2Cl2. Condensation of (IV) with Boc-protected N-ethylglycine (V) and successive Boc removal are performed under the same conditions as for the synthesis of (IV) to furnish tripeptide (VI). Then (VI) is coupled to carboxylic acid (VII) by means BOPCl and Et3N in CH2Cl2 to afford intermediate (VIII). Finally the target compound is obtained by debenzylation of (VIII) with H2 over Pd/C in MeOH/AcOH, followed by Boc removal with TFA in CH2Cl2.

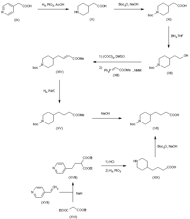
合成路线图解说明:

Intermediate (VII) can be obtained by following two different pathways: 1. Hydrogenation of 4-pyridine acetic acid (IX) over PtO2 in AcOH affords piperidinyl derivative (X), which is then protected with Boc2O and NaOH in THF to yield (XI). Reduction of the CO2H group of (XI) with BH3.THF in THF gives alcohol (XII), which is then subjected to Swern oxidation with oxalyl chloride and DMSO in CH2Cl2, followed by reaction with Wittig reagent (XIII) and N-methyl morpholine (NMM), to provide crotonate (XIV). Hydrogenation of (XIV) over Pd/C in MeOH furnishes methyl butyrate (XV), which is finally hydrolyzed with NaOH in MeOH. 2. Alternatively, intermediate (VII) can be obtained by reaction of diethyl malonate (XVI) with 4-vinylpyridine and NaH in EtOH to afford derivative (XVIII), which is hydrolyzed and decarboxylated with HCl/H2O and then hydrogenated over PtO2 to provide piperidine derivative (XIX). Finally, (XIX) is protected by reaction with Boc2O and NaOH in THF.

参考文献No.535122
标题:Design of a new class of orally active fibrinogen receptor antagonists
作者:Klein, S.I.; Molino, B.F.; Czekaj, M.; Gardner, C.J.; Chu, V.; Brown, K.; Sabatino, R.D.; Bostwick, J.S.; Kasiewski, C.; Bentley, R.; Windisch, V.; Perrone, M.H.; Dunwiddie, C.T.; Leadley, R.J.
来源:J Med Chem 1998,41(14),2492
合成路线图解说明:

Treatment of N-Boc-beta cyclohexylalanine (I) in THF with Et3N, isobutyl chloroformate (IBCF) and NH3/MeOH, followed by reaction with HCl gas, yields beta-cyclohexyl alaninamide hydrochloride (II). Amino acid (II) is then converted into dipeptide (IV) by first coupling with protected L-aspartic acid (III) by means of isopropyl chloroformate (IPCF) and N-methyl piperidine (A) in CH2Cl2, followed by Boc removal with TFA in CH2Cl2. Condensation of (IV) with Boc-protected N-ethylglycine (V) and successive Boc removal are performed under the same conditions as for the synthesis of (IV) to furnish tripeptide (VI). Then (VI) is coupled to carboxylic acid (VII) by means BOPCl and Et3N in CH2Cl2 to afford intermediate (VIII). Finally the target compound is obtained by debenzylation of (VIII) with H2 over Pd/C in MeOH/AcOH, followed by Boc removal with TFA in CH2Cl2.

合成路线图解说明:

Intermediate (VII) can be obtained by following two different pathways: 1. Hydrogenation of 4-pyridine acetic acid (IX) over PtO2 in AcOH affords piperidinyl derivative (X), which is then protected with Boc2O and NaOH in THF to yield (XI). Reduction of the CO2H group of (XI) with BH3.THF in THF gives alcohol (XII), which is then subjected to Swern oxidation with oxalyl chloride and DMSO in CH2Cl2, followed by reaction with Wittig reagent (XIII) and N-methyl morpholine (NMM), to provide crotonate (XIV). Hydrogenation of (XIV) over Pd/C in MeOH furnishes methyl butyrate (XV), which is finally hydrolyzed with NaOH in MeOH. 2. Alternatively, intermediate (VII) can be obtained by reaction of diethyl malonate (XVI) with 4-vinylpyridine and NaH in EtOH to afford derivative (XVIII), which is hydrolyzed and decarboxylated with HCl/H2O and then hydrogenated over PtO2 to provide piperidine derivative (XIX). Finally, (XIX) is protected by reaction with Boc2O and NaOH in THF.

Drug Information Express,Drug R&D,Chemical Database,Patent Search.
Copyright © 2006-2026 Drug Future. All rights reserved.Contact Us